
在材料科学领域,如何在极端高温下同时实现高强度和优异的隔热性能一直是科研的重点和难点。华南理工大学褚衍辉教授及其团队,与庄磊教授共同合作,成功开发出一种创新型多孔高熵陶瓷材料,打破了传统材料的技术瓶颈。这一研究成果发表在顶级期刊《Advanced Materials》上,为未来极端环境下的隔热应用提供了全新的解决方案。
多孔陶瓷材料在电极、光极学和催化剂载体等领域有着广泛的应用价值,尤其因其轻质、低导热性和优异的化学惰性,近年来在隔热材料领域备受关注。然而,在极端环境下既要具备出色的隔热性,又要拥有强大的机械承载能力,仍是一项巨大的技术挑战。常规方法增加多孔陶瓷的隔热能力,往往通过提升孔隙率实现,但这却不可避免地降低其机械强度。如何在高温下同时保持高强度与隔热性能,是多孔陶瓷应用的瓶颈。
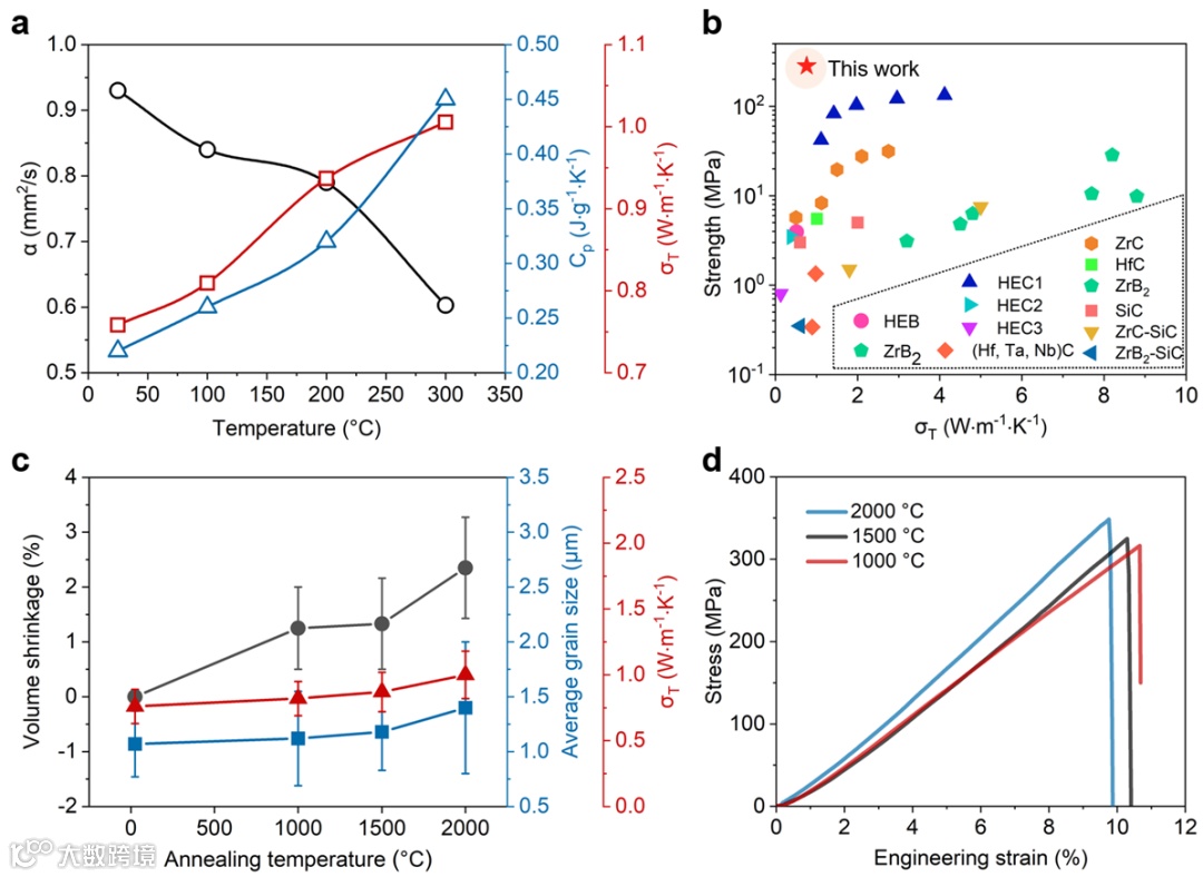
华南理工大学褚衍辉教授与庄磊教授带领的团队,成功研发出了一种具有独特多尺度结构设计的9元阳离子多孔高熵二硼化物陶瓷。这种陶瓷材料不仅在常温下展现出优异的机械强度(高达337 MPa),还具备良好的隔热性能(热导率仅为0.76 W/(m·K))。更为惊人的是,在2000°C的极端高温环境下,这种材料仍然能够保持出色的力学性能,强度达到690 MPa。这一突破性研究发表在著名期刊《Advanced Materials》上,题为“Ultrastrong and High Thermal Insulating Porous High‐Entropy Ceramics up to 2000°C”。

高熵多孔陶瓷材料的多尺度结构设计
多尺度结构设计是这种高熵陶瓷材料卓越性能的关键。团队通过超高温快速合成技术,在数十秒内完成烧结,形成了均匀分布的亚微米级孔隙,确保材料具备优异的隔热与机械性能。
高熵多孔陶瓷材料的结构表征
借助高温硼热还原技术,团队成功合成了单相9元高熵多孔陶瓷,并通过CT成像和XRD验证了其微观结构的均匀性。
元素均匀性表征
通过SEM-EDS和TEM-EDS技术,验证了所有金属元素在微米和纳米尺度上的均匀分布。
力学性能测试
该材料在高达2000°C的环境下仍能保持超高的机械强度,且在高温压缩过程中呈现出塑性变形行为,展现出优异的高温压缩强度。
热导率及高温稳定性测试
材料的热导率在50%气孔率下仅为0.76 W m−1 K−1,且在2000°C高温下的体积收缩率仅为2.4%,表现出优异的热稳定性。

通过超高温烧结技术(UHTS),该团队成功制备出兼具高强度和低热导率的多孔高熵陶瓷材料。这种材料在2000°C的极端温度下仍保持卓越性能,为未来高温隔热材料的开发提供了新的方向。这一研究成果不仅在学术领域具有突破性意义,对于推动高熵陶瓷材料在工业中的实际应用也具有重要参考价值。
中科精研相关技术解决方案
在高熵陶瓷等新型材料的研发过程中,快速、高效的高温加热设备是实现实验突破的关键。中科精研的高通量加热装置,以其卓越的性能,成为了科研院所和企业的理想选择,尤其适用于新材料的高效制备和性能优化。如需了解更多设备详情,欢迎访问我们的官方网站:
zhongkejingyan.comcn
高通量焦耳加热装置
此设备可实现大规模样品的同步加热处理,显著提升材料实验的效率。其快速升温和高精度控制使得科研人员能够在极短时间内对多种材料进行精确测试,满足复杂、多样的实验需求。
高通量全自动焦耳加热装置
通过全自动化流程和高通量设计,进一步简化了实验操作过程,特别适合需要批量实验的场景,能够有效缩短研发周期,大幅提高实验室产出。
中科精研的高通量焦耳加热技术为包括高熵陶瓷在内的各种新材料研发提供了强大的技术支持,帮助科研团队加速材料的性能优化与工业应用。
如需了解更多关于中科精研高通量加热装置的信息,或希望获得定制化的产品解决方案,请随时与我们联系。我们致力于为您提供最前沿的加热设备和专业服务,推动您的科研创新。
论文地址:
Zihao Wen, Zhongyu Tang, Yiwen Liu, Lei Zhuang, Hulei Yu, Yanhui Chu. (2024). Ultrastrong and High Thermal Insulating Porous High‐Entropy Ceramics up to 2000° C. Advanced Materials, 2311870.
doi/10.1002/adma.202311870


