
该研究采用焦耳加热技术在CeO2表面引入氧空位,这些氧空位成为铜和铁原子沉积的理想位点,从而最大化了原子的利用率,并形成了高效的尿素合成活性位点。经过优化,制备的CuFe-V-CeO2催化剂在-1.5 V相对于可逆氢电极(RHE)的电位下,展现出3553 mg h−1 gcat.−1的尿素产率,超越了目前已知的电催化尿素合成催化剂的性能。
密度泛函理论(DFT)计算结果进一步揭示了该催化剂中Cu、Fe和Ce的协同效应,表明氧空位引入金属原子后,能有效降低尿素合成的能量障碍,并显著提升C-N偶联的效率。这一发现为电催化尿素合成催化剂的设计提供了新的理论依据,也为处理硝酸盐污染和能源问题提供了潜在的解决方案。
图1展示了CuFe-V-CeO2纳米棒的合成过程,包括水热法制备CeO2纳米棒,并通过焦耳加热和湿法浸渍方法引入氧空位及铜、铁原子。透射电子显微镜(TEM)和能量色散光谱(EDS)分析表明Cu、Fe、Ce和氧元素均匀分布,支持了活性位点的有效利用。
图2:X射线衍射(XRD)谱图图2通过XRD谱图表征了催化剂的晶体相,证实了CuFe-V-CeO2在不同晶面上有明确的结构特征,且无额外的可辨识峰,表明铜和铁在催化剂中为原子级分散。
图3:尿素产率和法拉第效率(FE)随电位变化的关系图3展示了CuFe-V-CeO2在不同反应电位下的尿素产率和法拉第效率(FE)。实验结果表明,在-1.5 V时尿素产率达到峰值,而法拉第效率的最大值也在该电位下获得。氧空位的引入显著增强了催化性能。
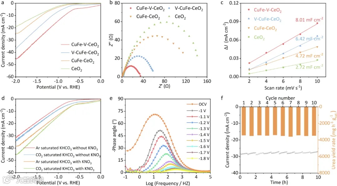
图4:CuFe-V-CeO2的电化学性能图4展示了CuFe-V-CeO2在电化学尿素合成中的卓越表现,包括最高电流密度和较低的电化学阻抗(Rct)。EIS和CV测试表明,氧空位引入增强了催化剂的电子转移能力。
图5:DFT计算分析催化机理图5通过密度泛函理论(DFT)计算深入分析了C-N偶联的基本机制。研究表明,氧空位的引入能显著降低C-N偶联的能垒,促进了催化剂的反应效率。这些理论结果为未来催化剂设计提供了重要的参考依据。
如果您对设备有兴趣,欢迎联系张老师:13121391941


