
-
焦耳热技术应用:该团队将闪速焦耳加热(FJH)技术应用于木质素热解石墨化,实现了木质素向石墨碳的高效转化。 -
物理化学结构分析:全面分析了石墨碳(LFG)的物理化学结构以及气、液副产物的组成特性,探讨了木质素FJH热解石墨化动力学机理。 -
性能提升:在环氧树脂中使用LFG作为填料,显著提高了复合材料的抗弯强度和光热性能。
焦耳热热解反应器设计:作者设计了可以实现毫秒级时间控制和三态产物收集的焦耳热热解反应器,探究了不同电压下木质素的热解特性。
热解油组成分析:采用傅里叶变换离子回旋共振质谱(FT-ICR-MS)分析了木质素热解油组成,发现酚类占比达到80%,其次是不饱和碳氢化合物。
石墨碳物理化学结构:随电压升高,无定形碳向有序石墨结构转变,热稳定性显著增加。
-
图1:展示了FJH热解系统原理图和不同电压下温度随时间的变化曲线,以及热解产物产率分布和气体产物组成。
-
图2:展示了不同电压下木质素热解油的FT-ICR-MS分析结果,包括分子量分布、氧物种分布、重质组分分布和酚类组分分布。
-
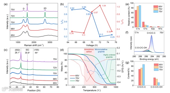
图3:展示了LFG的化学表征结果,包括拉曼光谱、ID/IG和I2D/IG随电压变化、XRD图谱、TGA和表面元素组成。
-
图4:展示了不同LFG-75V的环氧树脂复合材料的弯曲和光热性能,包括标准弯曲试样照片、弯曲应力-应变图、弯曲模量、弯曲强度和激光照射下树脂温度随时间的变化。
-
图5:展示了木质素FJH工艺的温室气体排放和成本分析,以及与已报道的其他前体FJH工艺和木质素石墨化技术的比较。
如果您对设备有兴趣,欢迎联系张老师:13121391941


