大数跨境

西北工业大学携手奥克兰大学《Nature Communications》揭示新型燃料电池催化剂奥秘

西北工业大学携手奥克兰大学《Nature Communications》揭示新型燃料电池催化剂奥秘 中科精研材料制备技术研究院
2025-02-07
1
点击蓝字|关注我们




导语



在能源转换领域,阴离子交换膜燃料电池(AEMFCs)因其高能量密度、快速启动能力和低温运行等优势,被视为未来能源技术的重要发展方向。然而,AEMFCs的阳极氢氧化反应(HOR)在碱性条件下动力学缓慢,且常用的铂(Pt)基催化剂存在活性不足和对一氧化碳(CO)中毒敏感等问题,严重制约了其商业化应用。因此,开发具有高活性、稳定性和抗CO中毒能力的新型碱性HOR催化剂,对于推动AEMFCs的发展具有重要意义。
近日,西北工业大学韩云虎教授与新西兰奥克兰大学王子运教授团队在《Nature Communications》期刊上发表了一项突破性研究成果,通过焦耳热辅助合成方法,成功开发了一种新型单原子合金催化剂——s-Ru1Pt@W1/NC。该催化剂在碱性HOR中展现出卓越的性能,为解决当前AEMFCs面临的挑战提供了新的思路。



研究亮点
  1. 创新的合成方法:研究团队采用焦耳热辅助合成技术,成功制备了负载在单原子钨(W)改性氮掺杂碳上的超细Ru1Pt单原子合金纳米颗粒(s-Ru1Pt@W1/NC)。该方法能够在短时间内实现金属原子的均匀分散和合金化。
  2. 卓越的催化性能:s-Ru1Pt@W1/NC的质量活性达到7.54 A mgPt+Ru⁻¹,远高于商业PtRu/C和Pt/C催化剂。此外,该催化剂在1000 ppm CO/H₂饱和的电解液中表现出优异的稳定性和抗CO中毒能力,即使在H₂饱和的电解液中连续运行1000小时,电流密度仅下降24.60%。
  3. 理论计算支持:通过密度泛函理论(DFT)计算,研究团队揭示了Ru和W单原子对Pt位点电子结构的协同优化作用,为催化剂的高性能提供了理论支持。
图文解读

图1:催化剂的合成流程与形貌表征

图1展示了s-Ru1Pt@W1/NC催化剂的制备过程。该过程基于焦耳热辅助合成方法,通过快速热解实现了金属原子的均匀分散和合金化。透射电子显微镜(TEM)和高角度环形暗场扫描透射电子显微镜(AC HAADF-STEM)图像显示,PtRu纳米颗粒平均粒径约为2-3 nm,且Ru和W单原子均匀分布于氮掺杂碳基底上。

图2:催化剂的表征

图2通过高角环形暗场扫描透射电子显微镜(AC HAADF-STEM)和X射线光电子能谱(XPS)对催化剂的微观结构和表面化学状态进行了表征。XPS分析揭示了Pt和Ru的价态变化,表明引入的Ru和W原子与Pt之间存在电子转移,这种电子相互作用是催化剂性能提升的重要机制。

图3:催化剂的电子结构表征

图3利用X射线吸收光谱(XAS)对催化剂的原子级结构进行了深入分析。X射线吸收近边结构(XANES)和扩展X射线吸收精细结构(EXAFS)谱图进一步揭示了Pt、Ru和W的存在形式及其局域原子配位结构,证实了Ru和W对Pt位点电子结构的协同调节作用。

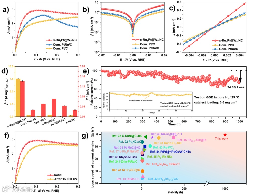
图4:催化剂的HOR催化性能

图4评估了s-Ru1Pt@W1/NC催化剂在碱性HOR中的电催化性能。结果显示,s-Ru1Pt@W1/NC具有最高的极限电流密度和动能电流密度,表现出优于其他催化剂的HOR活性。此外,该催化剂在1000小时的长期稳定性测试中表现出极低的性能衰减。

图5:DFT计算揭示协同作用

图5通过理论计算进一步揭示了s-Ru1Pt@W1/NC催化剂高性能的内在机制。DFT计算表明,引入的Ru和W原子显著调节了Pt的电子结构,优化了反应中间体的吸附能量,从而提高了催化剂的活性和抗CO中毒能力。
    总结与展望
本研究通过焦耳热辅助合成方法,成功制备了s-Ru1Pt@W1/NC催化剂,其在碱性HOR中展现出卓越的性能,特别是在稳定性和抗CO中毒能力方面表现出色。这一成果不仅为AEMFCs的阳极催化剂设计提供了新的思路,也为单原子合金催化剂的应用开辟了新的方向。
在材料科学领域,高效的制备技术是推动科研进展的关键因素之一。深圳中科精研科技有限公司推出的高通量全自动焦耳加热装置,为材料制备带来了革命性的变革。该装置具备毫秒级升温(最快升温速率可达1000℃/S-20000℃/S)、高通量处理(同时处理25个以上样品)、全自动化操作(支持24小时不间断运行)以及广泛的适用性(适用于多种材料体系),能够显著提升科研效率。
随着科研对高效制备技术的需求不断增加,深圳中科精研的高通量全自动焦耳加热装置无疑将成为科研人员的得力助手。其在材料合成中的高效性和精准性,将为更多创新性研究提供有力支持,助力科研人员在材料科学的探索之路上不断前行。



【声明】内容源于网络
0
0
中科精研材料制备技术研究院
内容 0
粉丝 0
中科精研材料制备技术研究院
总阅读0
粉丝0
内容0