负热膨胀的氧-氧化还原机制:研究发现,富锂正极材料在电化学激活后表现出显著的负热膨胀(NTE),其系数值可达−14.4(2)×10⁻⁶°C⁻¹,归因于热驱动的无序-有序转变。
热膨胀系数的精准调控:通过调控脱锂程度和氧-氧化还原行为,研究团队成功实现了从正热膨胀到零热膨胀(ZTE)再到负热膨胀的连续调控。
电化学修复技术:通过调整充电截止电压,研究团队实现了材料结构无序性的恢复,为缓解电压衰减提供了创新策略。
工业应用潜力:这一研究为高性能电池材料的设计提供了理论支撑,并为中科精研开发新型热稳定性和电化学性能优化方案奠定了基础。
1. 负热膨胀现象的探测
研究团队合成了六种不同结构特征的正极材料(如橄榄石、尖晶石、富锂层状结构等),通过原位温变同步辐射X射线衍射(SXRD)技术发现,富锂材料在电化学激活后均表现出负热膨胀(NTE)。例如,Li₂RuO₃在80–220°C范围内表现出显著的NTE行为(图1)。

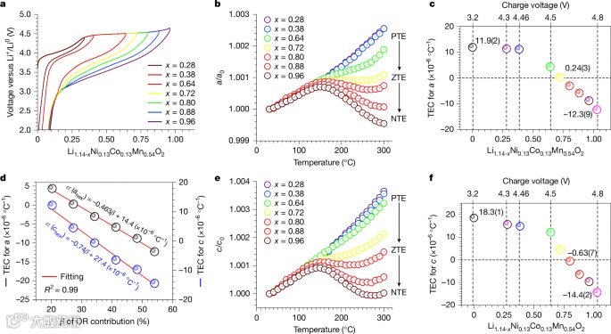
2. 氧-氧化还原行为对热膨胀的调控
通过脱锂处理(x从0到1.06),研究发现氧-氧化还原活性与热膨胀系数(TEC)呈线性关系。随着氧-氧化还原贡献度的增加,材料的TEC逐渐从正值转变为负值。例如,当x=1.06时,TEC达到−12.3×10⁻⁶°C⁻¹(图2)。

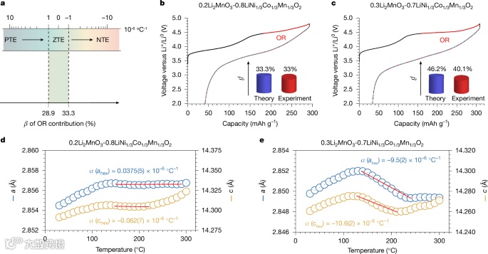
3. 通过氧还原行为设计零热膨胀(ZTE)材料
研究团队通过调控成分比例,成功设计出两种零热膨胀材料:Li₁.₀₆Ni₀.₂₂Co₀.₂₂Mn₀.₄₅O₂和Li₁.₁₁Ni₀.₁₇Co₀.₁₇Mn₀.₅₁O₂。图3展示了它们的初始充放电曲线(b、c)及温变后的晶格参数变化(d、e)。可以看到:
Li₁.₀₆Ni₀.₂₂Co₀.₂₂Mn₀.₄₅O₂在150–290°C范围内表现出ZTE特性,其TEC为αa=0.037×10⁻⁶°C⁻¹。
Li₁.₁₁Ni₀.₁₇Co₀.₁₇Mn₀.₅₁O₂则表现出显著的NTE(αa=−9.5×10⁻⁶°C⁻¹)。
这证明了调控成分比例以精准控制氧-氧化还原活性,确实可以用于定制热膨胀特性,实现ZTE材料设计(图3)。

4. 电化学修复技术
研究发现,通过降低充电截止电压,可以逆转高电压循环引起的结构无序和电压衰减。例如,将电池在2.0–4.6V范围内循环4次后,电压衰减约38.7mV;降低截止电压至4.0V后,电压几乎完全恢复(图4)。这一现象表明,适度的电化学驱动力可以实现材料结构的重新有序化。

本研究通过揭示负热膨胀与氧-氧化还原电化学的内在联系,为设计新型功能材料提供了全新思路。电化学修复技术为缓解高容量正极材料的电压衰减问题提供了实际解决方案。未来,这一研究方向有望推动高性能电池材料的开发,并在精密仪器、航空航天等领域实现广泛应用。
中科精研作为材料科学领域的创新企业,专注于高性能电池材料与热稳定性解决方案的开发。基于上述研究,中科精研的高性能电池正极材料和电化学性能优化方案可为客户提供以下价值:
热稳定性优化:通过调控氧-氧化还原行为,中科精研的材料能够显著提升电池在高温环境下的尺寸稳定性和循环寿命。
电压衰减修复:中科精研的电化学修复技术可帮助客户延长电池使用寿命,降低维护成本,特别是在高容量富锂正极材料的应用中表现突出。
定制化解决方案:结合研究中提出的无序-有序转变机制,中科精研能够为不同工业场景提供定制化的热膨胀调控方案,满足精密仪器、储能设备等领域的高精度需求。
通过将前沿科研成果转化为实际应用,中科精研正为下一代高性能材料的开发注入新动力,助力客户在激烈的市场竞争中保持技术领先优势。
欢迎关注我们的公众号或访问官方网站:
https://www.zhongkejingyan.com.cn/
如果您对设备有兴趣,欢迎联系张老师:13121391941

