氢能作为一种极具潜力的清洁能源载体,其规模化制备依赖于高效的水分解技术。然而,析氧反应(OER)由于涉及复杂的四电子转移过程,动力学缓慢且依赖贵金属催化剂(如RuO₂、IrO₂),这严重制约了其实际应用。近年来,高熵氧化物(HEO)因其多元素协同效应和可调电子结构,展现出超越传统催化剂的潜力。但传统合成方法能耗高、耗时长,难以实现精准结构调控。尽管焦耳加热技术可快速合成高熵材料,冷却过程的不可控却成为制约性能提升的瓶颈。如何实现加热与冷却的双重精准控制,成为开发高性能HEO催化剂的核心挑战。

研究亮点
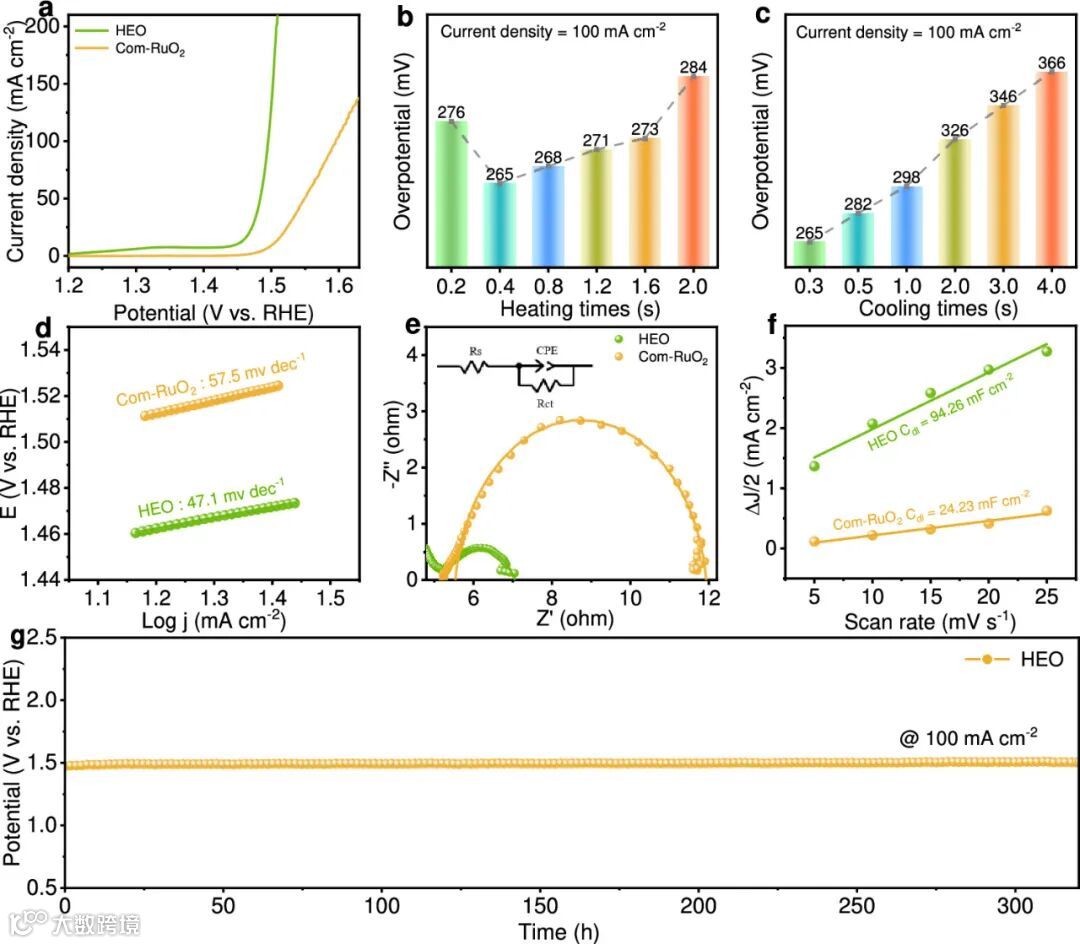
创新冷却时间调控:武汉大学高等研究院王纪科教授、翟月明教授团队通过扩展牛顿冷却定律并引入辐射传热模型,建立了石墨基底在1100-2000 K温度区间的冷却动力学方程,首次实现了冷却时间从0.3秒至4.0秒的阶梯式控制。
高效催化剂制备:结合0.4秒的瞬时加热,成功制备出具有高比表面积(69.92 m²/g)和丰富氧空位的CoFeNiMnCr HEO纳米线。该催化剂在10 mA/cm²电流密度下仅需219 mV过电位,且能在100 mA/cm²下稳定运行320小时,性能优于多数已报道催化剂。
动态重构机制揭示:原位拉曼光谱进一步揭示了HEO在反应中动态转化为金属(氧)氢氧化物的机制,证实了多元素活性位点的协同增效作用。
图文解析
焦耳加热技术中冷却时间的精准控制
石墨基底作为焦耳加热的核心传热介质,其冷却特性对高熵材料的结构调控至关重要。研究基于牛顿冷却定律,建立了冷却时间(tc)与基底质量-表面积比(m/A)的线性关系,揭示冷却速率受控于材料比表面积和辐射传热系数。当石墨基底的比表面积从30.3 cm²/g降至4.69 cm²/g,冷却时间从0.3秒延长至4.0秒,验证了理论模型的预测能力。高温条件下,辐射传热效应显著增强,导致冷却曲线非线性化。通过引入辐射冷却项,构建了修正模型,其预测值与实验数据均方根误差仅为0.35,表明该模型在宽温度范围内具有普适性。

HEO的制备与结构表征
通过水热法结合焦耳加热(0.4秒加热+0.3秒冷却),成功制备了CoFeNiMnCr高熵氧化物(HEO)纳米线。SEM分析表明,短时加热可维持纳米线形貌,而加热时间过长会导致结构坍塌为纳米颗粒。XRD结果显示,短时加热形成单一尖晶石相,而长时加热诱导CoO相分离。冷却时间调控同样显著影响相组成:0.3-0.5秒冷却保留尖晶石结构,而冷却时间过长则出现CoO相。TEM表征显示纳米线由5-10纳米颗粒组成,晶格间距证实尖晶石结构。元素分布图显示五元金属均匀分散,XPS分析揭示Co³⁺部分还原为Co²⁺,O 1s谱中531.6 eV峰证实氧空位形成,EPR信号进一步验证缺陷浓度提升。BET测试表明,优化条件下HEO比表面积达69.92 m²/g,为活性位点暴露奠定基础。




HEO的OER性能
电化学测试显示,优化合成的HEO在10 mA/cm²电流密度下过电位仅219 mV,较商用RuO₂降低53 mV。Tafel斜率和电荷转移电阻均优于对比样品,表明其动力学优势。双电层电容证实HEO活性位点密度是RuO₂的3.9倍。稳定性测试中,HEO在100 mA/cm²下连续运行320小时电位波动小于2%,展现卓越耐久性。冷却时间对性能的影响远超加热时间,凸显冷却动力学在结构-性能调控中的核心作用。

OER活性机制
原位拉曼光谱揭示了HEO的动态重构机制:在开路电位下,694 cm⁻¹和500 cm⁻¹峰对应尖晶石结构;施加电位后,490 cm⁻¹和520 cm⁻¹峰强度显著增强,表明HEO表面原位生成金属(氧)氢氧化物活性相。当电位>1.35 V时,920 cm⁻¹处出现NiOOH特征峰,证实多元素协同作用促进活性位点形成。这种表面重构行为与TEM观察到的晶格畸变及XPS检测的氧空位密切相关:缺陷结构降低了金属-氧键解离能,加速*OOH中间体的形成,从而提升本征活性。多元素协同效应进一步优化了电子结构,使HEO的OER性能超越二元/三元氧化物体系,为设计非贵金属催化剂提供了新范式。

总结与展望
本研究通过整合牛顿冷却定律与石墨基底热分析,创新性地实现了材料合成中冷却时间的精准调控,成功制备出高比表面积且富含氧空位缺陷的CoFeNiMnCr高熵氧化物(HEO)。该催化剂在析氧反应(OER)中展现出突破性性能,仅需219 mV过电位即可驱动10 mA/cm²电流密度,并在100 mA/cm²下稳定运行320小时,性能超越商用RuO₂。原位拉曼光谱揭示了HEO在OER过程中向金属(氧)氢氧化物的动态相变,证实了多元素协同效应与活性位点的形成机制。这项工作不仅为高温合成材料的冷却动力学控制提供了理论模型与实验范式,更推动了高效稳定催化剂的设计理念革新,为电解水制氢等清洁能源技术发展注入新动能。未来研究可进一步探索多元素配位调控策略,并将该冷却控制方法拓展至其他高熵体系,以解锁更丰富的催化性能调控维度。
论文信息
期刊:ACS Applied Materials & Interfaces
标题:Precise Cooling Time Control in Joule Heating for Efficient Oxygen Evolution Reaction of High-Entropy Oxides
作者:武汉大学高等研究院王纪科教授、翟月明教授等
发表时间:2025年5月19日
在探索高效催化技术的道路上,深圳中科精研科技有限公司也一直致力于创新。他们推出的超快高温焦耳加热装置,正是基于类似的超快速升温技术,能够在极短时间内实现材料的高效合成与转化。这种装置不仅操作简便,而且能够精确控制温度和时间,为科研人员提供了一个理想的实验平台,助力更多像HEO这样的高效催化剂的研发。
深圳中科精研的超快高温焦耳加热装置
技术优势:该装置采用先进的超快高温焦耳加热技术,能够在毫秒级时间内将温度迅速提升至1200°C,与武汉大学研究中使用的焦耳加热技术高度契合。这种快速升温技术能够有效避免传统加热方法中的热扩散不均匀问题,确保催化剂的微观结构和电子态在短时间内达到理想状态。
应用案例:在类似的研究中,深圳中科精研的装置已经成功应用于多种高熵材料的合成。例如,通过精确控制加热时间和温度,研究人员可以实现高比表面积和丰富缺陷结构的材料制备,显著提升催化剂的活性和稳定性。这种装置不仅适用于实验室研究,还能够为工业规模的材料生产提供技术支持。
客户反馈:许多科研团队表示,深圳中科精研的超快高温焦耳加热装置极大地提高了实验效率,缩短了研发周期。其精确的温度控制和快速升温能力,使得研究人员能够更高效地探索材料的微观结构与性能之间的关系,为开发新一代高效催化剂提供了有力支持。
深圳中科精研科技有限公司的超快高温焦耳加热装置,无疑是推动高熵材料合成技术从实验室走向工业应用的重要“加速器”。通过与前沿科研成果的紧密结合,该装置不仅为科研人员提供了强大的实验工具,更为未来的清洁能源技术发展提供了坚实的技术支撑。
欢迎关注我们的公众号或访问官方网站:
https://www.zhongkejingyan.com.cn/
如果您对设备有兴趣,欢迎联系张老师:13121391941

