导语
高性能多孔碳是超级电容器的核心,但其传统制备方法耗时耗能。山西大学韩高义、朱胜团队在国内碳材料权威期刊《新型炭材料》上发表创新成果。研究采用焦耳热技术,以超过1100 K/s的惊人升温速率,在数秒内将酚醛树脂前驱体一步转化为高性能分级多孔碳。该材料在6 M KOH电解液中比电容高达476 F/g,较传统方法提升57%,组装的器件能量密度突破50 Wh/kg,为超级电容器的快速、绿色制造提供了变革性方案。

🔍 研究亮点
秒级高效制备:焦耳热技术实现1100 K/s超快升温,碳化活化过程仅需数秒,效率较传统方法提升数个量级。
电容性能飞跃:在6 M KOH中比电容达476 F/g,远超传统方法的302 F/g,性能提升显著。
卓越器件性能:组装的对称超级电容器在有机电解液中能量密度达50.8 Wh/kg,循环万次后容量保持率>93%。
机理清晰可控:超快热冲击诱导前驱体剧烈产气,自发形成分级多孔网络,利于离子快速传输。
📊 图文解析
图1:合成路径与形貌对比
研究对比了焦耳热技术(JHT) 与传统管式炉碳化(TFC)。JHT凭借毫秒级的极速升降温(图1a),促使产物形成独特的蜂窝状三维多孔网络(图1b-d);而TFC产物则多为致密块状(图1e-g)。这一形貌差异是性能分野的起点。

图2:多级孔结构与丰富表面化学
氮气吸附测试(图2a-c)表明,JHT制备的碳材料具有更高的总孔容(1.01 cm³/g)和发达的介孔/大孔,形成了利于离子快速迁移的分级通道。XPS分析(图2g-i)显示其表面含氧官能团更丰富,这不仅提升了材料亲水性,也贡献了额外的赝电容。

图3:超快造孔机理揭示
通过热重-质谱-红外联用技术,研究人员捕捉了焦耳热过程中的气体释放行为(图3a-c)。在超高温冲击下,前驱体分解与K₂CO₃活化反应在瞬间剧烈发生,产生大量气体。气体的剧烈、快速释放,正是“吹制”出蜂窝状多孔结构的物理成因。

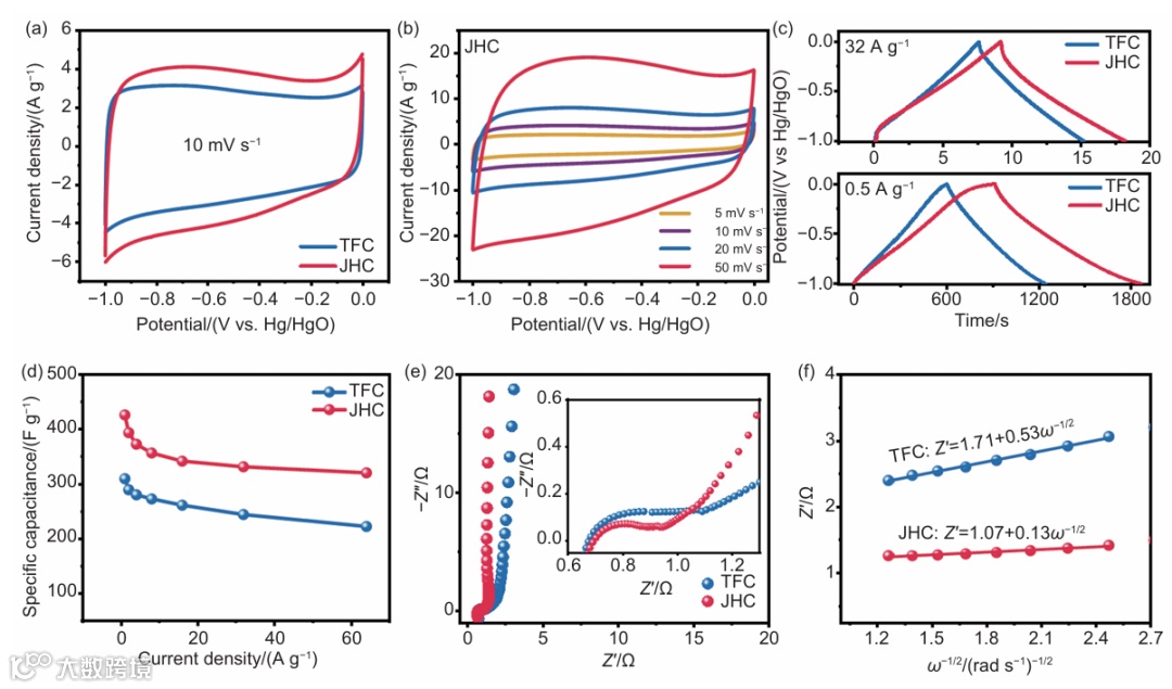
图4:卓越的本征电化学性能
在三电极测试中,JHT碳材料的循环伏安曲线面积更大(图4a),恒电流充放电时间更长(图4c),直接印证了其476 F/g的高比电容。即使电流密度从1 A/g猛增至64 A/g,其电容仍能保持75.1%(图4d),展现出优异的倍率性能。电化学阻抗谱(图4e,f)显示其电荷转移电阻更低,离子扩散更快,得益于其优化的孔道结构。

图5:全器件性能与应用验证
将材料组装成对称超级电容器,其在多种电解液中均表现优异(图5)。尤其是在TEABF₄/AN有机电解液中,器件能量密度达到50.8 Wh/kg,处于同类材料领先水平。在长达10000次的循环测试中,容量保持率超过93%,库伦效率接近100%,证明了其出色的循环稳定性,完全满足实用化要求。

⚙️ 技术支撑
超快焦耳热系统:核心设备,能够提供瞬时、超高功率的脉冲电流,实现前驱体的毫秒级热处理。
多维度结构表征平台:结合SEM、TEM、BET、XPS、拉曼光谱等,全面解析材料从形貌、孔道到表面化学的精细结构。
综合电化学评估体系:采用三电极测试、对称器件组装及长循环测试,从材料本征性能到器件应用进行系统评估。
原位热分析-谱学联用:通过TG-MS-IR实时监测热解过程,为理解快速成孔机理提供关键数据。
💎 总结与展望
本研究通过创新的焦耳热技术,成功将多孔碳的制备时间从“小时级”缩短至“秒级”,在效率上实现了颠覆性突破。所制备的分级多孔碳材料因其独特的三维连通孔道和丰富的表面化学,在比电容、倍率性能和循环寿命方面均表现卓越,其器件能量密度达到实用化高水平。这项工作不仅为超级电容器提供了一种高性能电极材料的高效、绿色制备方案,其“快速热冲击诱导自发造孔” 的思路也为其他功能多孔材料的制备提供了有益借鉴。未来,通过前驱体选择和工艺参数优化,有望进一步拓展该技术的应用边界。
文献信息
Ya-jun JIA, Zi-yue HAN, Hui-chao LIU, Yun-zhen CHANG , Sheng ZHU, Wen-jing HOU, Shu-jie LIU, Ying ZHANG, Jin-jiao ZHANG, Gao-yi HAN. The rapid preparation of porous carbon with an improved capacitance[J]. New Carbon Materials, 2025, 40(6): 1265-1278.
DOI: 10.1016/S1872-5805(25)61028-6
欢迎关注我们的公众号或访问官方网站:
https://www.zhongkejingyan.com.cn/
如果您对上述创新研究所用设备感兴趣,欢迎联系张老师:13121391941

