甲烷是天然气的主要成分,多得是,但怎么把它变成高价值化学品(比如乙烯),一直是石油化工的硬骨头。
传统路线两条:一是直接热解,二是氧化偶联。但各有各的毛病——选择性低、容易烧成CO₂、能耗高、催化剂积碳死得快。尤其是在无氧条件下,甲烷活化本来就难,生成的乙烯还特别容易二次反应,变成苯、多环芳烃,最后糊成积碳。
高丽大学和韩国化学技术研究院最近在《Applied Catalysis B》上发了一篇,用快速脉冲焦耳热(RPJH) 把这事给解了。他们在碳纸上施加脉冲电压,毫秒级“加热-淬灭”循环,高温区一闪一熄,甲烷刚活化就被“冻”住,来不及长成积碳。
结果:C2烃选择性85.4%,甲烷转化率10.3%,电能利用效率是传统连续加热的47倍。再往下游接个Pd/CeO₂催化剂,尾气里的乙炔还能原位加氢成乙烯,总乙烯选择性提到69.9%。
这套操作,等于给甲烷转化装了个“精准爆炒”模式——火大火急,快进快出,菜不糊。
01 脉冲焦耳热:高温一闪,产物“冻”住
先看图1a-b的RPJH原理。碳纸(CP)上施加脉冲电压,毫秒级冲到Tmax(~1000°C+),然后自然冷却到Tmin,形成动态温度循环。不是一直烧,是“一闪一熄”。
图1c-d是参数优化:电压从40V升到55V,Tmax升高,甲烷转化率涨,但苯也冒出来,C2选择性在45V到顶。流速增加(停留时间缩短),转化率降,但C2产物来不及二次反应,选择性反而涨。
图1e是关键发现:共进H₂,从0%加到75%,C2选择性从53.5%飙到87.4%,苯及重质产物被狠狠压住——H₂是自由基抑制剂,把下游环化路径堵死了。
图1f显示,优化脉冲间歇时间(1.38秒),C2选择性85.4%,转化率10.3%,两不误。
02 产物怎么分:H₂把乙炔“喂”成乙烯
图2看产物分布。
图2a,H₂浓度和脉冲间歇时间对C₂H₂/C₂H₄比例影响最大。C2收率越高,这个比例越低——尤其在H₂分压高或间歇时间长的时候。说明H₂不仅抑制乙炔生成,还在降温阶段促进乙炔加氢成乙烯。
图2b,C₂H₆/C₂H₄比例和C2收率负相关。这是NOCM的典型路径:甲烷先变乙烷,高温下迅速脱氢成乙烯和乙炔。RPJH的动态温度调控,把反应往乙烯方向引。
03 三种加热模式硬刚:RPJH能效是传统47倍
图3是核心对比。
图3a的微动力学模拟:传统连续加热(CCH)等温区太长,C2产物容易进一步反应成苯;连续焦耳热(CJH)局部高温,气体停留时间短,能抑制积碳;RPJH脉冲加热,进一步把高温时间压到毫秒级。
图3b的实验数据:同样~10%转化率,RPJH的C2选择性85.4%,是CJH(61.0%)的1.4倍,是CCH(46.6%)的1.8倍。
最炸裂的是能耗:RPJH输入电功率仅9.6 W,CJH要124 W,CCH要397 W。按产物高热值(HHV)算,RPJH电能利用效率是CCH的47倍,是CJH的15倍——动态加热,省电到这个程度,不多见。
04 下游加氢:尾气自带的余热,刚好用来加氢
RPJH产物里还有乙炔,怎么办?图4是集成方案。
图4a,在碳纸下游集成Pd/CeO₂催化剂床层。RPJH尾气自带显热,让这区域维持在24-51°C——刚好是低温乙炔半加氢的最佳温度,不用额外供热。
图4b,集成后(RPJH-HYD),乙炔转化率77%,乙烯选择性从56.2%提到69.9%,涨了1.3倍。乙烷和C3-C5稍涨,但总体是正向收益。
这套“原位升级”,把RPJH的动态加热和下游催化无缝焊在一起,产物更纯、能量更省。
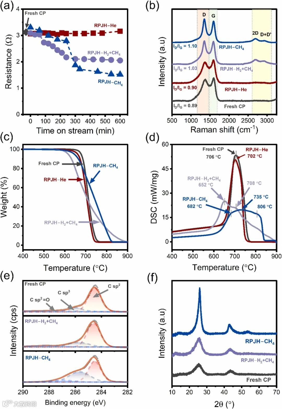
05 H₂保命:没它,碳纸5小时就废
图5-6是稳定性与机理。
图5a-f的SEM:无H₂时,碳纸表面糊了一层厚厚无定形碳,还有裂纹;67% H₂时,表面干净得多。
图5g-j的长期测试:5小时后,无H₂进料下甲烷转化率衰减比是含H₂的1.2倍,C2选择性衰减比更是3.6倍——H₂把碳纸“保”住了。
图6把机制拆开:
图6a电阻下降:无H₂时表面导电碳沉积,电阻反而降;
图6b拉曼:无H₂时I_D/I_G最高(1.10),无序碳多;
图6c-d TGA:含H₂时碳纸燃烧分两段,表面沉积碳先烧(652°C),本体后烧(707°C);无H₂时只一个峰,温度更高——形成了更有序的石墨化结构;
图6e XPS:反应后sp³/sp²比例升高,缺陷碳增多;
图6f XRD:无H₂时石墨化程度更高。
结论:H₂共进,能“清洁”反应表面,减少无定形碳沉积,保住碳纸的活性和结构。
06 这事的看点:脉冲加热,让甲烷转化从“炖”变“爆炒”
把这篇的逻辑抽出来,其实是三层设计叠在一起:
工艺层:RPJH,脉冲焦耳热,毫秒级“加热-淬灭”。高温一闪,甲烷活化;快速冷却,产物“冻”住,不给二次反应留时间。
机制层:H₂共进,既是自由基抑制剂,又是乙炔加氢的氢源。表面积碳被压住,碳纸寿命延长。
集成层:下游催化剂利用尾气余热,原位升级乙炔,无缝衔接、不耗外能。
最后落在应用上:85.4%选择性、10.3%转化率、47倍能效——这不仅是催化剂创新,是反应器设计和热管理模式的系统突破。
文献信息
Rapid pulsed Joule heating-driven non-oxidative methane to ethylene conversion
Applied Catalysis B: Environment and Energy, 2026
DOI: 10.1016/j.apcatb.2026.124567
欢迎关注我们的公众号或访问官方网站:
https://www.zhongkejingyan.com.cn/
如果您对上述创新研究所用设备感兴趣,欢迎联系张老师:13121391941

