导语
芯片越算越快,“热”却成为寿命的隐形杀手。传统碳纤维增强聚合物(CFRP)轻质高强,却天生导热差;多壁碳纳米管(MWCNTs)被寄予厚望,可其多层管壁又成了声子“减速带”。西南交通大学杨泽锋副教授团队 8 月 5 日在 Chemical Engineering Journal 的最新研究,用一束 50 ms 的电流脉冲给 MWCNTs“开拉链”,瞬时 3000 K 的焦耳热把部分管壁精准剖成石墨烯纳米带(GNRs),让 CFRP 在力学和散热上同时“开挂”。

研究亮点
毫秒级 FJH:50 ms 放电即可让 40 mg MWCNTs 局部升温至 >3000 K,绿色、无溶剂、可放大。
精准“开链”:170 V 脉冲下 GNRs 平均宽度 77 nm,保留 MWCNTs 骨架,形成 3D 杂化导热网络。
性能双破表:CFRP 弯曲强度 103.5 MPa(↑105.7%),热导率 0.56 W m⁻¹ K⁻¹(↑195%)。
实际验证:封装芯片 80 s 温度降低 20 °C,红外热像显示温度分布更均匀,直接对标电子封装需求。
图文解析
图 1 | 闪蒸焦耳热装置与“开链”示意
电容放电—铜棉增强电接触—石英腔体,样品电阻被精准锁在 0.9 Ω,150–200 V 脉冲即可编程控制解链深度。

图 2 | 形貌演变
原始 MWCNTs(直径 5–15 nm)经 170 V FJH 后宽度增至 56–88 nm;TEM 可见 GNRs 条带与未解链管段共存,直观证实“选择性开链”。

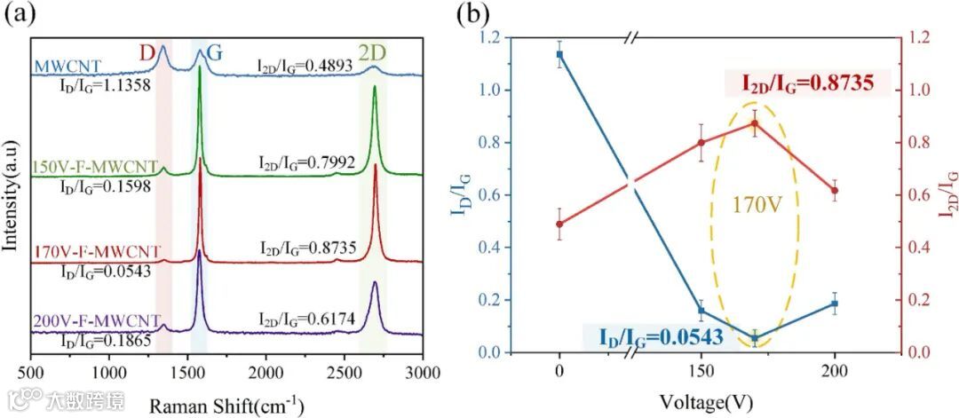
图 3 | 结构品质
拉曼 I_D/I_G 从 1.14 降至 0.05,I_2D/I_G 升至 0.87,石墨化与缺陷修复同步到位;170 V 是退火与再缺陷的平衡点。

图 4 | 表面化学
XPS 碳纯度升至 99 %,C–O 键增加,边缘活性位点暴露,为后续与树脂的化学键合埋下伏笔。

图 5 | 热稳定性
TGA 起始分解温度 +12 °C,800 °C 残碳率提高 3.7 倍;GNRs 的二维 π 共轭网络抑制了 MWCNTs 团聚与氧化。

图 6 | 力学性能
170 V 样品的 CFRP 弯曲强度首破百兆帕;G 峰位移与 2D 峰出现证实 GNRS 边缘与环氧基体形成强界面键合。

图 7 | 断裂形貌
SEM 显示纯 CFRP 纤维-树脂完全分离,而 F-MWCNTs/CFRP 断口纤维表面被树脂紧密包裹,裂纹路径由沿界面转为穿纤维,界面韧性显著增强。

图 8 | 导热网络
MWCNTs 提供轴向“高速公路”,GNRs 充当面内“立交桥”,三维连续通路将声子散射降到最小,热导率随电压单调上升,优于传统金属/玻璃纤维体系。

图 9 | 封装级散热
芯片温升测试:F-CNT/CFRP 仅需 27 s 升至 100 °C,比纯环氧缩短 66 s;80 s 时芯片表面温度低 20 °C,红外图冷色区域明显扩大,散热均匀性一目了然。

总结与展望
一次 50 ms 的电流脉冲,就完成了 MWCNTs 到 GNRs 的“外科级”剖切,同时让 CFRP 在力学与热学上实现双跃升。该方法无需强酸强碱,一步得到高取向、低缺陷的 GNRs/MWCNTs 杂化体系,为电子封装、航空航天等极端环境下的轻量化散热结构提供了可规模化的技术路线。下一步,团队将探索不同维度碳材料(0D/1D/2D)的协同设计及在固态电池热管理中的应用边界。
如果您正在寻找“毫秒级升温—瞬间退火—形貌可控”的实验平台,深圳中科精研的 Flash-Joule 系列闪蒸焦耳热系统已在国内 30 余家高校与研究所落地:从毫克级粉末到连续卷对卷薄膜,一体化脉冲电源与红外闭环温控让“实验室闪蒸”轻松走向中试。欢迎交流,一起把瞬间高温变成持续创新。
欢迎关注我们的公众号或访问官方网站:
https://www.zhongkejingyan.com.cn/
如果您对设备有兴趣,欢迎联系张老师:13121391941

