创新催化剂设计:青岛大学张晓燕、张立学教授与福州大学陈俊锋教授团队创新性地采用电纺丝技术与热冲击技术,将钌纳米颗粒均匀负载于导电性卓越的钛碳化物纳米纤维(TiC)上,成功开发出新型催化剂Ru@TiC。
电子相互作用优化:该催化剂借助金属-载体之间的电子相互作用(EMSI),优化了钌位点的氢气脱附动力学,并引发氢气溢出效应,大幅提升了氢气生成效率。
卓越性能表现:实验表明,Ru@TiC催化剂在碱性海水中仅需65毫伏过电位即可达到100毫安每平方厘米电流密度,且在500毫安每平方厘米电流密度下稳定运行超250小时。基于Ru@TiC的阴离子交换膜电解槽在碱性海水中连续运行超500小时,性能几乎无衰减。
图1:催化剂的结构特征
合成与表征:通过电纺丝技术和热冲击工艺合成Ru@TiC,XRD图谱确认TiC的成功合成及钌纳米颗粒的低含量;SEM图像展示纳米纤维的均匀分布;HAADF-STEM和HR-TEM图像揭示钌纳米颗粒在TiC纳米纤维上的均匀分散及尺寸;SAED图谱和元素分布图进一步确认结构特征。

图2:电子结构与相互作用
光谱分析:拉曼光谱显示Ru@TiC保留TiC结构且具有高碳化程度;XPS分析表明电子从TiC转移到钌纳米颗粒;XAS进一步证实钌的价态变化及TiC与钌纳米颗粒之间的电子相互作用。

图3:催化性能
电化学测试:极化曲线显示Ru@TiC在10 mA cm⁻²时过电位低;塔菲尔曲线表明其反应动力学快;质量活性分析显示其高效催化性能;多电流步进测试和耐久性测试显示其良好的电导率、稳定性和耐久性。

图4:海水电解性能
海水环境测试:线性扫描伏安曲线显示Ru@TiC在碱性海水中催化性能优异;塔菲尔曲线表明其在高盐浓度溶液中反应动力学快;长期稳定性测试显示其在海水电解中的出色稳定性。

图5:调控机制
理论计算:电荷密度差分布显示电子转移;Bader电荷分析量化电荷转移;态密度分析表明d带中心下移;吉布斯自由能图说明能量障碍低,揭示催化性能提升原因。

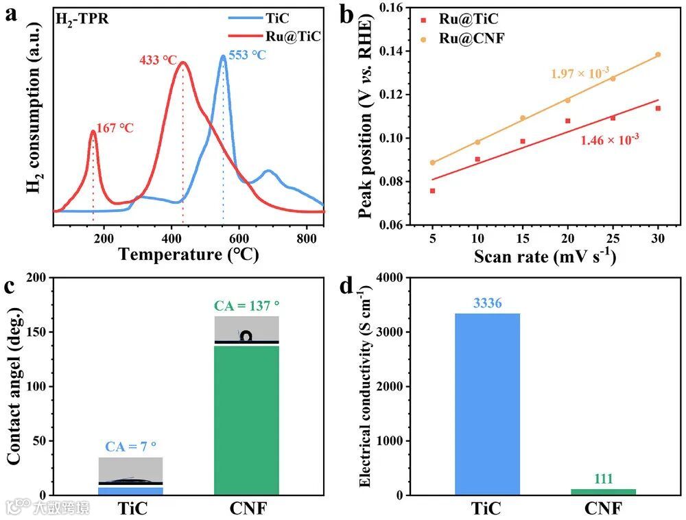
图6:性能提升机制
实验探究:H2-TPR曲线显示氢气溢流效应;氢气脱附动力学测试表明Ru@TiC具有更快的脱附动力学;水接触角测试显示TiC的超亲水性;电导率测试显示TiC的高电导率,这些因素共同提升催化性能。

总结与展望
本研究通过结合电纺丝技术和热冲击技术,成功开发出Ru@TiC这一高效稳定的析氢反应电催化剂。DFT计算表明,TiC载体能够诱导电荷从TiC转移到钌纳米颗粒,优化了氢气脱附过程。实验揭示了电子金属-载体相互作用(EMSI)可能触发氢气溢流效应,显著提升氢气生成性能。Ru@TiC催化剂在碱性海水电解条件下展现出卓越的HER活性和稳定性,为复杂海水电解环境下的高效能源转换提供了新思路。
未来,研究团队可进一步优化催化剂结构和组成,探索高性能非贵金属催化剂,拓展其在复杂环境下的应用范围。同时,深圳中科精研在催化材料领域持续深耕,其产品在催化剂载体、助剂等方面具有独特优势。例如,其高性能载体材料能够显著提升催化剂的分散性和稳定性,类似于本研究中TiC载体对钌纳米颗粒的作用;其助剂产品可有效优化催化反应过程,提高催化剂的活性和选择性,为推动可持续能源技术的发展提供有力支持。
深圳中科精研科技有限公司专注于超快高温焦耳热冲击技术与智能化实验室解决方案。公司以超快高温焦耳热冲击技术、材料创新AI技术、实验室自动化技术为核心,成功研发了一系列先进实验装置,包括超快高温焦耳加热装置、超快脉冲电闪蒸焦耳加热装置、等离子焦耳热装置、高通量全自动焦耳加热装置、高温&高真空烧结炉、焦耳热催化装置。这些装置解决了传统管式炉、马弗炉升温速度慢,升温时间长,炉管易损,精准控温差等问题,为材料领域的科研工作者在高温试验过程中,提供了强有力的支持。
欢迎关注我们的公众号或访问官方网站:
https://www.zhongkejingyan.com.cn/
如果您对设备有兴趣,欢迎联系张老师:13121391941

