导语
乙烯作为石化工业的核心原料,其传统生产工艺长期面临高能耗、高碳排放的技术瓶颈。特拉华大学研究团队在Chemical Engineering Journal上发表创新研究成果,通过内部焦耳加热技术实现了乙烷在1000–1150°C超高温下的毫秒级裂解,将乙烯产率提升至56%,同时降低40%的碳排放,为低碳烯烃生产提供了全新解决方案。

研究亮点
技术突破:采用内部焦耳加热实现1000–1150°C超高温操作,突破传统反应器温度限制
高效转化:乙烯产率达56%,优于工业基准水平(53%)
节能降碳:降低约23%的投资成本和40%的碳排放
快速反应:停留时间<10 ms,显著抑制副产物生成

图文解析
图1通过热力学平衡计算和动力学模拟,揭示了乙烷裂解反应路径随温度变化的规律,为优化反应条件提供了理论依据。

图2-3采用集总动力学和微观动力学模型,预测了在高温短停留时间条件下乙烷转化率和产物分布的变化趋势,明确了最佳操作窗口。


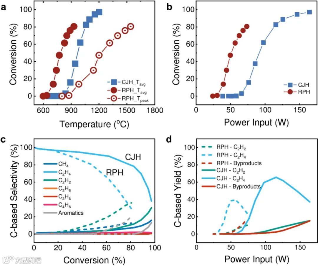
图4展示了碳纤维纸反应器实验与CFD模拟结果,验证了内部焦耳加热能够实现均匀的温度分布和高效的乙烷转化,实验数据与模拟预测高度吻合。

图5对比了本研究与现有技术的乙烯收率和选择性,证明内部焦耳加热技术在反应性能上的显著优势。

图6比较了不同加热模式的性能,表明连续焦耳加热在选择性与产率方面优于脉冲加热,可避免结焦和副反应加剧。

图7-8通过技术经济与生命周期评估,证实该工艺可大幅降低投资成本和环境影响,若采用可再生电力,更具经济竞争力与低碳效益。


技术关联
本研究采用的内部焦耳加热技术路线,其核心工艺特征与高效加热技术高度相关:
超高温控制:实现1000–1150°C的精确温度控制需要先进的加热元件设计
均匀加热:反应体系内的温度均匀性对产品选择性至关重要
能源效率:直接电加热方式需要优化的能源管理系统
这些技术需求与高温处理设备领域的研发方向一致,特别是在高效加热和温度控制方面的技术积累,为化工过程的节能优化提供了重要支撑。
总结与展望
本研究通过内部焦耳加热策略成功突破了传统乙烷裂解工艺的温度限制,实现了高温短停留时间下的高效乙烷转化。该技术不仅提高了乙烯产率,还显著降低了能耗和碳排放,为烯烃生产的绿色转型提供了新的技术路径。
未来研究可进一步探索结焦行为与加热元件的长期稳定性,推动该技术向工业化应用迈进,助力化工行业实现低碳可持续发展。
文献信息:
Arnav Mittal, Yeonsu Kwak, Weiqing Zheng, et al.
Short contact time, high temperature, internally-heated ethane crackers.
Chemical Engineering Journal, 2025, 168251.
https://doi.org/10.1016/j.cej.2025.168251
欢迎关注我们的公众号或访问官方网站:
https://www.zhongkejingyan.com.cn/
如果您对设备有兴趣,欢迎联系张老师:13121391941

