导语
高熵合金凭借高熵效应、晶格畸变效应等独特机制,在高温稳定性、耐腐蚀性和机械性能方面展现出突破传统合金的性能天花板,成为航空航天、能源装备等高端领域的战略性候选材料。然而,该体系仍受困于 “强度 - 塑性倒置” 这一金属材料共性难题,尤其对于具有相变诱导塑性(TRIP)效应的 Fe - Mn - Co - Cr 系双相高熵合金,传统退火工艺引发的晶粒粗化严重制约其性能突破。山东大学宋凯凯教授与中北大学闫志杰教授团队通过引入闪蒸焦耳退火技术(FJA),为解决这一难题提供了新思路。
研究亮点
山东大学宋凯凯教授与中北大学闫志杰教授团队将闪蒸焦耳退火技术(FJA)应用于 TRIP 型 Fe₅₀Mn₃₀Co₁₀Cr₁₀ 高熵合金处理,通过对比传统慢速退火(SA)与 FJA 在 973K/1173K 下的微观响应规律,揭示超快速热处理的性能增益机制。
FJA 凭借 > 100K/s 的瞬时升温与急速冷却特性,有效抑制晶粒长大并构建梯度化异质结构,使合金在 1173K 处理时实现屈服强度(267MPa→821MPa)与抗拉强度(695MPa→821MPa)的显著跃升,同时延伸率仅微降 2.4%(45.2%→42.8%)。
该强化机制源于三重耦合效应:晶粒细化强化 Hall - Petch 效应、奥氏体 / 马氏体相比例优化、以及异质结构诱导的背应力强化,为高熵合金的高效性能调控提供了新范式。
图文解析
SA973 样品微观结构
图 1 展示了 SA973 样品的微观结构。经 973K 慢速退火后,样品呈现部分再结晶特征,EBSD 表征显示平均晶粒尺寸 4.56μm,存在显著尺寸异质性,粗晶虽仅占数量分数 13.8% 却主导 68.6% 的面积分数。双相分布分析表明 FCC 相(56.3% 数量分数)与 HCP 相(43.7%)共存,其中 HCP 粗晶占比高达面积分数 92.2%。晶界特征显示低角度晶界(LAGBs)占比 49.6%,证实残余应变能的存在,与冷轧后不完全再结晶的工艺特性相符。

FJA973 样品微观结构
图 2 展示了 FJA973 样品的微观结构。闪蒸焦耳退火处理使样品获得更细化的组织结构(平均晶粒尺寸 3.73μm),其晶粒尺寸分布显示细晶数量分数提升至 83.7%。相组成分析揭示 HCP 相比例增至 53.1%,且 FCC 相细化更显著(平均 3.43μm)。值得注意的是,HCP 相中细晶占比达 80.8% 数量分数,表明超快速加热抑制了晶粒粗化。晶界特征显示高 / 低角度晶界比例趋近平衡(HAGBs 51.2%),印证 FJA 工艺对再结晶动力学的独特调控作用。

SA1173 样品微观结构
图 3 展示了 SA1173 样品的微观结构。1173K 慢速退火实现完全再结晶(HAGBs 占比 93.9%),但晶粒尺寸异质性仍然显著:细晶虽占数量分数 78.4%,粗晶却控制 66% 以上面积。相分布显示 HCP 相比例升至 56.7%,其中粗晶占 HCP 相面积 66.4%。这种粗晶主导现象归因于传统退火过程中较长的晶粒生长时间,导致强度提升潜力受限。

FJA1173 样品微观结构
图 4 展示了 FJA1173 样品的微观结构。FJA 处理在 1173K 下实现突破性结构优化:平均晶粒尺寸细化至 3.52μm,且 HCP 相比例激增至 78.5%。FCC 相显著细化(平均 2.95μm)而 HCP 相保持 3.72μm,形成独特的双相尺寸梯度。这种结构源于超短保温时间(30 秒)同步抑制晶粒生长并促进马氏体相变,为异质结构设计提供新范式。

673K 退火对照
图 5 展示了 673K 退火样品的微观结构。SA673 样品形成 95% FCC 相,而 FJA673 样品残留 25% 马氏体。这种差异源于闪焦耳退火的超短处理时间不足以克服冷轧位错对相界的钉扎效应(机械稳定化机制),证实 FJA 工艺对缺陷态的高度敏感性。

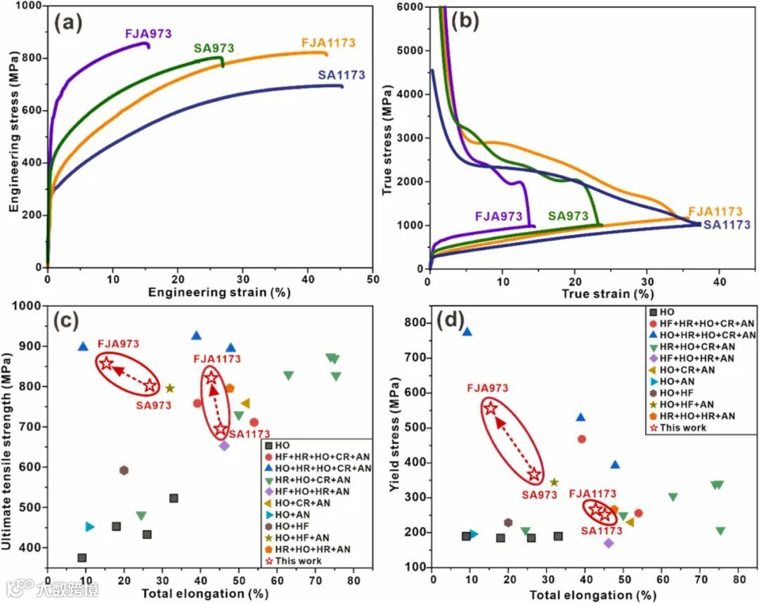
力学性能对比
图 6 展示了不同处理样品的力学性能对比。拉伸曲线显示 FJA973 样品屈服强度(556MPa)较 SA973 提升 51%,且 FJA1173 在延伸率仅降 2.4% 前提下实现抗拉强度 822MPa(较 SA1173 提升 18%)。应变硬化曲线揭示 FJA1173 在 > 10% 应变后呈现更高硬化率。与文献数据对比证实,FJA 处理的合金强度超越传统热机械工艺(如热锻 / 轧制),确立其在强塑性协同优化中的技术优势。

973K 样品变形机制
图 7 展示了 973K 样品的变形机制。断裂后显微分析显示 SA973 样品残留 4.3% FCC 相,而 FJA973 仅存 0.9%,证实 FJA 促进 TRIP 效应彻底性。KAM 图揭示粗晶区高位错密度,SEM 观测到变形孪晶,表明位错增殖与 TWIP 效应协同作用。这种多机制耦合使 FJA973 在牺牲部分延性下实现强度跃升。

1173K 样品变形机制
图 8 展示了 1173K 样品的变形机制。高马氏体含量样品变形后呈现全域高位错密度,SEM 图像中密集的变形孪晶证实 TWIP 效应主导塑性变形。这种机制使 FJA1173 在维持 42.8% 延伸率时仍实现 822MPa 超高强度,为航天耐蚀承力部件提供材料设计依据。

总结与展望
本研究表明,闪蒸焦耳退火(FJA)与固溶退火(SA)处理对 TRIP 型 Fe₅₀Mn₃₀Co₁₀Cr₁₀ 高熵合金的微观结构和力学性能具有显著差异化影响。FJA 工艺在 973K 下使屈服强度提升约 51%,并在 1173K 下同时实现高强度与良好延展性,而 SA 处理则更有利于延伸率提升。其强化机制源于 FJA 更短的加工时间诱发晶粒细化、异质相分布及高位错密度,通过抑制晶粒生长、增加残余马氏体及促进形变孪生(TWIP 效应),协同 TRIP 效应显著提升强度。
该研究不仅阐明加工条件对高熵合金强塑性协同调控的关键作用,更为开发高性能 TRIP 型高熵合金提供了创新工艺路径,未来可深入探索 FJA 参数优化及其在多组分合金体系中的普适性机制,推动先进结构材料的工程化应用。
深圳中科精研专注于研发与生产高品质的焦耳加热设备,其产品凭借高精度温度控制与快速升温降温特性,广泛应用于材料合成与改性等领域。在类似高熵合金的热处理过程中,中科精研的设备能够提供稳定且均匀的热场,确保反应条件的精确控制,从而实现材料性能的优化。无论是科研实验还是工业生产,中科精研的焦耳加热设备都能满足多样化的热处理需求,为材料科学的发展提供可靠的硬件支持,助力科研人员探索更多材料的性能与应用边界。
https://www.zhongkejingyan.com.cn/
如果您对设备有兴趣,欢迎联系张老师:13121391941

