导语
传统生物质热解技术受限于缓慢的外加热,面临合成气产率低、碳材料性能差、焦油多等瓶颈。华中科技大学杨海平、姚永刚教授团队在《Chemical Engineering Journal》发表颠覆性研究,提出电驱动瞬态高温热解新策略。该技术通过焦耳加热,在数秒内将生物质加热至超2000°C,实现了富氢合成气与高性能功能碳材料的高效负碳联产。研究不仅定向合成了电导率高达159 S/cm的石墨烯添加剂和6C倍率下容量245 mAh/g的硬碳负极,更通过生命周期评估证实其具有显著的负碳排放潜力,为生物质高值化利用与绿电消纳提供了变革性的一体化解决方案。

🔍 研究核心亮点
效率颠覆:与传统热解需数十分钟、温度较低相比,电驱动热解数秒内即可突破2000°C,氢气效率高达51.6%,合成气质量(H₂/CO≈1:1)显著提升。
性能卓越:通过参数调控,可定向合成高导电石墨烯(电导率159 S/cm) 与优异倍率性能的硬碳负极(6C下容量245 mAh/g),性能媲美甚至超越部分专用材料。
机制清晰:超快升温与极高温度深度促进挥发分二次裂解与碳原子重组,是同时提升气体产率与碳材料石墨化有序度的关键机制。
经济环保:技术经济分析显示,联产碳材料成本较传统工艺降低18%-52%;生命周期评估证实其具有负碳潜力,每千克石墨烯产品对应-1.57 kg CO₂当量。
普适性强:工艺对五种典型生物质均适用,原料适应性强,可与我国丰富的可再生能源及农林废弃物分布形成完美互补。
📊 图文精解
图1:工艺原理与对标优势
示意图揭示,生物质经导电预处理后电阻率骤降,可实现直接焦耳加热。与传统热解漫长的温度爬升过程相比,电热解在秒级内实现瞬态超高温(>2000°C),这是其产物拥有更高石墨化度和氢气产率的根本原因。

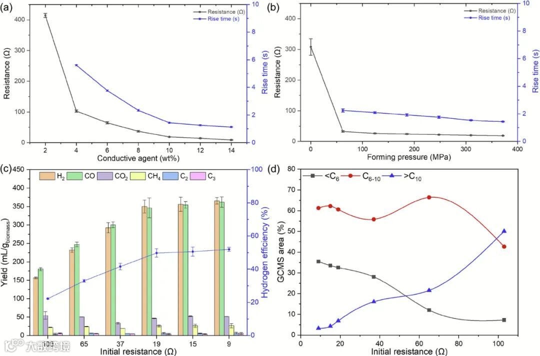
图2:导电预处理的关键作用
数据表明,通过调控导电炭黑掺杂与成型压力,可有效降低原料初始电阻。更低的初始电阻直接触发了更快速、更剧烈的焦耳热效应,导致H₂与CO产率翻倍,并促使生物油中的重质组分深度裂解为轻质气体。

图3:工艺参数的精准调控
电流强度与通电时间是调控反应温度与产物分布的“总开关”。提高电流(6A→22A)可使温度从800°C跃升至2600°C,显著提升气体产率。热解核心反应在5秒内即可完成,彰显了该工艺的超高效率。

图4:碳产物的结构演变之谜
多尺度表征(TEM, XRD, XPS, Raman)清晰揭示了碳结构的演变路径:随电流升高与时间延长,碳从无序态经湍层结构最终发展为高结晶石墨层。电流强度是驱动缺陷消除、实现高度石墨化的最关键因素(22A时拉曼IG/ID比达4.16)。

图5:面向应用的定向合成
研究展示了精准的“工艺-结构-性能”调控能力:采用高电流短时间(22A, 3.5s) 可合成具有弯曲多层结构的高导电石墨烯;采用低电流长时间(10A, 20s) 则可合成具有适宜层间距的硬碳负极,二者均展现出面向实际应用的优异性能。

图6:可持续性评估与原料普适性
分析显示,该工艺巧妙结合了廉价生物质与绿电,在经济性上具有明显优势。环境评估结果证实了其负碳属性,为“碳中和”提供了切实的技术路径。对五种不同生物质的成功适用性测试,证明了该技术的广泛推广潜力。

💎 总结与展望
本研究不仅报道了一种高效的生物质转化新工艺,更展示了一种通过极端快速热过程同时优化气、固产物的普适性思路。其核心价值在于,利用电驱动的瞬态超高温,同步破解了合成气质量、碳材料性能与过程经济环境效益的多重难题,实现了从“废弃生物质”到“高值气体+功能材料”的颠覆性升级。未来,面向连续化放大、产物机制的更精准调控以及在更广泛储能与催化领域的应用探索,将成为推动该技术从实验室走向产业化的关键。
文献信息:
Yichen Dong, Jiawen Zeng, Wenkai Xu, Shan Cao, Tong Han, Yingquan Chen, Yonggang Yao, Haiping Yang. Carbon-negative synthesis of hydrogen-rich syngas and functional carbon materials via electrified transient high-temperature biomass pyrolysis. Chemical Engineering Journal, Volume 527, 2026, 171888.
https://doi.org/10.1016/j.cej.2025.171888
欢迎关注我们的公众号或访问官方网站:
https://www.zhongkejingyan.com.cn/
如果您对上述创新研究所用设备感兴趣,欢迎联系张老师:13121391941

