导语
绿氢降本之路,卡在电解水“心脏”的一对矛盾上:既要高性能,又得低成本。传统贵金属催化剂(IrO₂/RuO₂)是性能天花板,却也是成本大山。现在,北京化工大学朱威、庄仲滨团队用一招 “碳热冲击” ,仅耗时秒级,就合成出一种可能打破僵局的全新材料——五元高熵硫化物(NiFeCoCrZr)S。这项发表于《化学通讯》的研究显示,这种非贵金属催化剂在碱性析氧反应中表现堪称“残暴”:过电位低至227 mV(@10 mA/cm²),将商用IrO₂远甩身后;更惊人的是,它在100 mA/cm²的大电流下稳定运行300小时,性能几乎不衰减。组装成阴离子交换膜电解槽后,仅需1.737 V电压即可驱动1 A/cm²的工业级产氢电流。这意味着,用廉价金属“拼”出的高熵材料,性能已全面碾压贵金属,为颠覆性降低电解槽成本扫清了关键材料障碍。

核心看点
性能屠榜:在10 mA/cm²和100 mA/cm²电流密度下,过电位分别为 227 mV 和 271 mV,显著优于商用IrO₂及一系列参比催化剂。
稳如磐石:在 100 mA/cm² 的高电流密度下持续运行 300小时,电位衰减率仅为 94 µV/h,展示了工业级应用所需的超强耐久性。
合成神速:采用 碳热冲击法,利用瞬时超高温与急速冷却(~10⁵ K/s),将五种金属元素“冻结”成均匀固溶体,秒级完成传统方法难以实现的高熵相合成。
器件验证成功:基于该催化剂的AEMWE电解槽,在 1.737 V 低电压下即实现 1 A/cm² 的高电流密度,并稳定运行50小时,性能全面超越IrO₂基准。
图文快解
图1:秒级合成与均匀高熵结构
示意图揭示了 “碳热冲击法” 的奥秘:脉冲焦耳热产生瞬时超高温,使金属前驱体瞬间液化、均匀混合,随后被急速冷却(~10⁵ K/s)“冻结”,从而强制形成单相固溶体,完美规避了慢速工艺中的元素偏析难题。电镜图像显示,尺寸均一(约13.6 nm)的纳米颗粒均匀分散在碳载体上。原子级分辨的图像与元素面扫结果铁证如山:Ni、Fe、Co、Cr、Zr、S六种元素在单个颗粒内实现了原子级的均匀分布,形成真正的高熵固溶体。

图2:碾压级的电催化性能与电解槽表现
线性扫描伏安曲线如同一份“性能成绩单”,清晰显示该高熵硫化物在所有对比样品中一骑绝尘。长达300小时的计时电位测试曲线近乎一条直线,直观证明了其无与伦比的稳定性。将催化剂制备成膜电极并组装为AEMWE电解槽后,极化曲线显示其仅需1.737 V电压即可达到1 A/cm²的电流密度,这一指标极具商业化竞争力,并在长时间运行中保持稳定。

图3:锆(Zr)元素的“神来之笔”——电子结构调控
X射线光电子能谱分析揭示了性能飞跃的微观秘密。关键元素 Zr的引入,引发了Ni、Fe、Co、Cr、S之间显著的电子重排。这种“鸡尾酒效应”优化了活性位点(尤其是Ni、Fe)的电子状态,使其对反应中间体的吸附能力“恰到好处”,从而大幅提升了本征催化活性。反应后催化剂中高活性Ni³⁺物种的增加,进一步证实了Zr的促进作用。

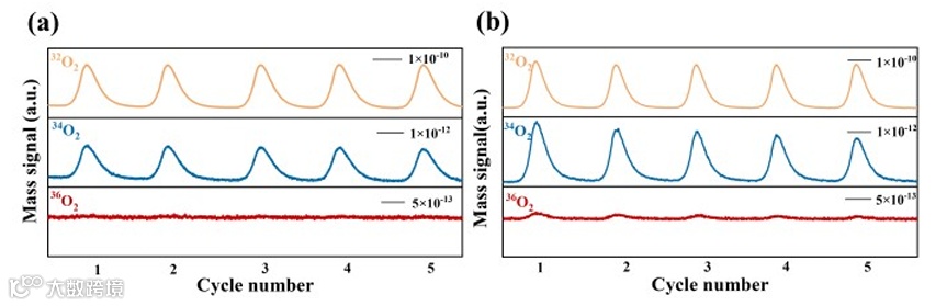
图4:同位素追踪揭示独特的双路径反应机制
利用敏感的¹⁸O同位素标记结合差分电化学质谱,研究人员像“侦探”一样追踪氧原子的来源。发现该高熵硫化物催化的析氧反应,同时包含表面吸附质演化机制和晶格氧氧化机制。这种双路径协同的独特机制,是其具备超快反应动力学和超高稳定性的内在原因,为理性设计更优催化剂提供了关键理论指导。

突破性意义与未来
本工作不仅成功制造出一种性能可替代贵金属的高熵硫化物催化剂,更展示了一套高效的材料研发“组合拳”:“高熵设计” 提供近乎无限的组分调控空间以优化活性;“超快合成” 则将实验室探索的周期从“天/小时”缩短至“秒”,极大地加速了材料筛选。这项研究证明,通过巧妙的多元素协同,完全可能用地球上丰富的廉价金属,创造出超越稀有贵金属的性能。这为下一代低成本、高性能电解水制氢装备的国产化,打下了坚实的材料学基础。未来,借此“高速合成+高通量筛选”平台,有望快速发现更多颠覆性的催化材料,加速绿氢时代的真正到来。
文献信息
YuXin Zhu, Yiling Feng, Xingdong Wang, et al. Wei Zhu, Zhongbin Zhuang. High-Entropy Sulfides as Oxygen Evolution Catalyst for Anion Exchange Membrane Water Electrolyzer. Chem. Commun., 2026.
https://doi.org/10.1039/D5CC06273J
欢迎关注我们的公众号或访问官方网站:
https://www.zhongkejingyan.com.cn/
如果您对上述创新研究所用设备感兴趣,欢迎联系张老师:13121391941

