导语
面对特斯拉4680电池、宁德时代凝聚态电池对高能量密度负极的迫切需求,硅基材料因其十倍于石墨的理论容量,被视为下一代锂电的“圣杯”。然而,其产业化道路被“体积膨胀-界面不稳-导电性差”三大顽疾牢牢锁死。传统的纳米化、复合包覆等方案,如同“打补丁”,往往顾此失彼,难以在规模化制备中实现性能的协同突破。如何像“锻造铠甲”一样,为脆弱的硅基体构建一个集导电、缓冲、稳定于一体的内生增强网络,是领域内亟待攻克的核心挑战。
在此背景下,西安工业大学潘洪革教授、杨亚雄教授团队于储能材料顶级期刊 《Energy Storage Materials》 上发表了题为 “Flash joule heating Driven In-Situ Dispersoid Synthesis: Mechanical-Interfacial-Conductive Coupling Mechanisms in Silicon-Based Anodes” 的突破性研究。该工作创新性地设计了一套 “熔炼-粉碎-闪蒸”三步联用策略,其点睛之笔在于利用闪蒸焦耳加热,在1秒内于硅合金颗粒表面及近表面原位“生长”出纳米碳化硅增强相,如同为硅颗粒披上了一层兼具导电与机械强度的“纳米铠甲”。这一巧妙的“铠甲工程”使复合负极在首圈即展现出2612.97 mAh g⁻¹的超高可逆容量,并成功驱动全固态电池稳定循环。该研究不仅为硅负极提供了全新的“铠甲式”解决方案,更展示了一条极具规模化潜力的高效制备路径。
研究核心亮点
⚙️ 工艺创新,三位一体:首创 “真空熔炼引入导电骨架 + 砂磨控制颗粒形貌 + 闪蒸焦耳热原位合成SiC” 三步联用策略,系统性、一体化地解决了硅负极的导电、膨胀与界面难题。
⚡ 秒级合成,颠覆效率:核心的SiC增强相合成,采用闪蒸焦耳加热技术,在约1秒、1000°C的瞬时极端条件下完成,实现了传统数小时高温烧结无法企及的高效、节能与非平衡态结构调控。
🛡️ 结构精妙,仿生铠甲:原位生成的2-5 nm SiC纳米晶,像“焊接点”一样均匀弥散在硅基体与金属相界面,构建了连续的三维导电/应力缓冲网络,从本质上强化了电极的机械与电化学完整性。
🔋 性能卓越,全体系验证:所制备的FH-SiSnBi负极首圈可逆容量高达2612.97 mAh g⁻¹,在15 A g⁻¹超高倍率下仍保有504.62 mAh g⁻¹容量。其优异性能更在全电池与全固态电池中得到完整验证,展现出巨大的实用化前景。
图文解析
图1:合成路径确认与SiC物相的铁证
本图系统证实了“闪蒸焦耳热原位合成SiC”这一核心步骤的成功实现。合成示意图(图1a)清晰展示了从合金前驱体制备到最终闪蒸处理的全流程。XRD图谱(图1b) 中清晰出现的SiC特征衍射峰(JCPDS 29-1129),是SiC晶体形成的直接证据。FT-IR与拉曼光谱(图1c-e) 进一步捕捉到了Si-C键的振动特征信号。最具说服力的是XPS精细谱(图1f-g),在Si 2p和C 1s谱中均检测到归属于Si-C键的明确结合能峰(~101.5 eV),确凿地证明了在颗粒界面处形成了化学键合的纳米SiC相。
图2:“铠甲”结构的微观透视与元素分布
本图直观揭示了“纳米SiC铠甲”的微观形貌与空间分布。SEM与TEM图像(图2a-d) 显示,材料呈现独特的层状结构,其中尺寸为6-15 nm的硅纳米晶嵌入非晶基质中,而在界面处,清晰地分布着尺寸仅2-5 nm的SiC纳米晶(箭头指示)。SAED衍射环(图2e) 同时标定了Si和SiC的晶面,证实了两相共存。EDS元素面分布图(图2f-g) 显示,硅信号集中,而碳信号则呈现更为弥散、均匀的分布,这与SiC作为纳米分散相完美包裹、镶嵌在硅颗粒表面与界面的“铠甲”模型完全吻合。
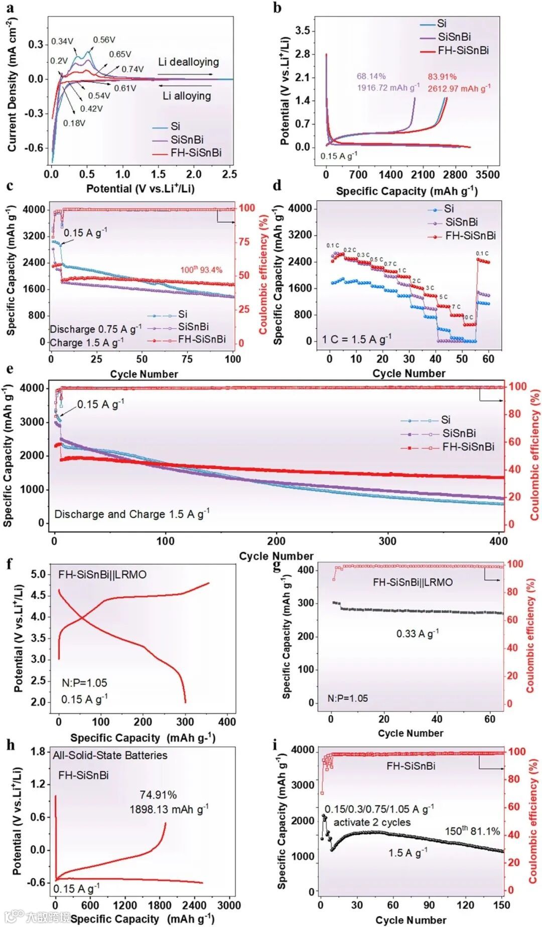
图3:全面且优异的电化学性能
本图通过多维度测试,全面展示了“SiC铠甲”带来的性能飞跃。CV曲线(图3a) 显示出硅、锡、铋多组分的可逆氧化还原峰。充放电曲线(图3b) 显示,FH-SiSnBi的首圈可逆容量高达2612.97 mAh g⁻¹,且库伦效率优异。在0.75 A g⁻¹放电/1.5 A g⁻¹充电的不对称测试中,100次循环后容量保持率高达93.4%(图3c)。其倍率性能惊人,在15 A g⁻¹ 的极高电流下仍能输出504.62 mAh g⁻¹的容量(图3d)。长循环(图3e)及与NCM811配对的全电池(图3f-g)、以及全固态电池(图3h-i)测试,均一致证实了该材料卓越的循环稳定性与实用化潜力。
图4 & 5:被SiC增强的电荷传输动力学与表面行为
优异的性能根植于被优化的内在动力学。原位EIS与分布弛豫时间(DRT)分析(图4a-d) 表明,FH-SiSnBi在循环中的电荷转移电阻更低且更稳定。GITT测试(图4e-f) 计算出其具有更高的锂离子扩散系数。PeakForce TUNA电流成像(图4g-i) 更直观地显示,其电极表面电流分布高度均匀,证明SiC构建了无缝的导电网络。
不同扫速CV分析(图5a-b) 进一步揭示,该材料的储锂机制中赝电容贡献占比高达84%,这种表面控制的行为意味着更快的反应动力学和更好的倍率性能。
图6 & 7:稳定的“有机-无机”杂化SEI与强化的机械性能
“SiC铠甲”对界面的稳定作用被深度剖析。XPS深度剖面分析(图6d-f) 显示,循环后电极表面形成了富含LiF、Li₂CO₃的SEI层,且随刻蚀深度增加,体相中Si-C键信号始终强劲,证实SiC在循环中结构稳定。TOF-SIMS(图6g) 进一步描绘出SEI的梯度结构:内层以无机LiF为主(利于离子传导),外层含有机组分(保证韧性),形成了坚固且离子通行的“理想SEI”。
AFM与纳米压痕测试(图7) 提供了关键的机械性能数据:循环后电极表面粗糙度大幅降低,且其弹性模量与硬度显著高于纯硅,直接证明了弥散SiC相有效的“弥散强化”效应,能够抑制裂纹产生与扩展。
图8:抑制体积膨胀的直观证据
本图通过循环前后电极的形貌对比,提供了最直观的“铠甲”缓冲效果证明。SEM图像(图8a-h) 清晰显示,纯硅和普通合金负极在循环后发生严重粉化、褶皱和开裂,而FH-SiSnBi仅出现细微裂纹,结构保持完好。截面分析定量表明,FH-SiSnBi的体积膨胀率仅为143%,远低于纯硅的308%和普通合金的181%。FIB-SEM三维重构进一步证实其内部裂纹数量显著减少,从微观尺度印证了SiC网络对体积应力的卓越缓冲能力。
总结与展望
本研究通过一套构思精妙的“三步法”联用策略,成功将闪蒸焦耳加热这一极端制造技术,转化为构筑高性能硅基负极“内生铠甲”的利器。其核心科学价值在于,通过瞬时、非平衡的热力学过程,在硅颗粒界面原位创生出纳米SiC增强相,从而实现了导电网络、机械缓冲与界面稳定三大功能的“三效合一”。这项工作不仅提供了一个性能出色的材料体系,更重要的是展示了一种可扩展的、系统性的材料设计与制备新范式。
展望未来,这项研究极具启发性和拓展潜力:
工艺放大与连续化:当前三步法策略具备明确的工程化接口。未来可重点探索连续真空熔炼、在线砂磨分级与卷对卷闪蒸焦耳加热的集成,迈向规模化连续生产。
铠甲结构精准调控:通过调控焦耳加热参数(电流、脉冲时间)、碳源类型等,实现对SiC纳米晶的尺寸、结晶度、分布密度乃至化学计量比的精确控制,以匹配不同应用场景(如快充型、高能量型)。
体系拓展与应用验证:将此“铠甲工程”理念拓展至其他硅基体系(如硅氧、硅碳复合材料),并推动其在厚电极(>3 mAh cm⁻²)、低温及极端快充等更严苛条件下的性能评估与器件集成。
这项研究标志着,我们或许已经找到了为脆弱的硅披上“不败铠甲”的可靠方法,为下一代高能量密度锂离子电池的真正落地,劈开了一条清晰而坚实的道路。
文献信息
Lan, D.R., Ou, P.Y., Pei, S.Q., et al. Flash joule heating Driven In-Situ Dispersoid Synthesis: Mechanical-Interfacial-Conductive Coupling Mechanisms in Silicon-Based Anodes. Energy Storage Mater. 2026, 104956. DOI: 10.1016/j.ensm.2026.104956.
欢迎关注我们的公众号或访问官方网站:
https://www.zhongkejingyan.com.cn/
如果您对上述创新研究所用设备感兴趣,欢迎联系张老师:13121391941

