快,关注“曙乾金服”
一起涨姿势
A股
今日两市早盘低开,开盘后沪指5日线下方窄幅震荡,临近午盘沪指跌幅扩大,午后沪指继续下行,沪指尾盘回吐昨日盘中V型涨幅。创指跟随沪指调整多方再次失守1700点,午后跌幅扩大。盘中热点个股主要是超跌品种与近两日资金大幅流进的品种。市场整体环境偏弱,受到美联储加息利空影响,短期大盘预计还有探底,短线可关注盘中底部启动个股,操作上建议轻仓参与,等待大盘真正企稳。
大盘周线缠论结构
市场投资者对股市已经是彻底失望,但路还要继续走下去,除非你真的远离股市。从周线级别分析,大盘从2638反弹以来,虽然非常艰难,但是整体还是走一个线段反弹中枢,这个中枢的底部是3016,虽然近期大盘很弱势,但是底部支撑并没有破位。从3587杀跌以来,线段下跌还差最后一根K线没有完成,也就是说大盘回调还会打出一个新低,这个新低将试探3016附近的支撑,如果不跌破,次级别出现止跌反弹信号,就是我们低吸抄底的机会,时间节点预计在本月月底,大家拭目以待。
市场总结:多重利空将反而促成市场底的产生。第二只独角兽宁德时代300750今天是第三板,按照第一只独角兽工业富联601138开板速度,明天第二只独角兽也面临开板,当然也可能是后天打开涨停,预计市场还有一击。最好的走势就是明天宁德时代开盘就开板,市场再遭受打击,跌穿昨天的低点3034点,那么后市将慢慢走出市场底部。所以大盘调整还是会再次新低的,下方的重要支撑在3016点,如果不跌破这个位置更好,大家可以关注这个位置的支撑,一旦止跌就是低吸的机会。
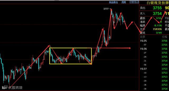
华通银120分钟走势图
白银在近期突破3730压力位后,最高反弹到3777点,从反弹力度非常强势,形态上没有出现背离的信号。由于今天晚上美联储要议息,所以行情短期承受一定压力,今晚重点关注美联储的态度是鹰派还是鸽派,从走势上看,如果是鹰派,预计白银会走弱势三买行情,走势有望再次回踩下方3710附近的支撑位,如果是鸽派,那么白银会走出强势三买,直接反弹走出新高行情。
如果美联储公布的是鹰派言论,那么必然短期会对白银构成一定的压力位,白银短期有望出现一波小幅杀跌,当然跌下去后还是低吸做多的机会;如果美联储公布的是鸽派言论,那么白银压制了那么久后必然会再次大幅拉升,向3800附近的压力发起挑战。持有多单的投资者只要仓位不重的话都可以继续持有;持有空单的投资者可以在白银回调的时候关注第一支撑位3730,第二支撑3710附近,如果回调到这些位置附近出现止跌要及时离场空单,无论是盈利还是亏损;空仓等待的投资者可以等待消息的公布,如果是鹰派就短期做空,有盈利离场再低位做多,如果是鸽派的话就现价做多。

