
点击蓝字 关注我们


论文链接:https://phytokeys.pensoft.net/article/111106/
PhytoKeys是一本由PENSOFT PUBLISHERS出版、开放获取的国际植物分类学期刊,主要出版、报道生物-植物科学领域的研究动态以及在该领域取得的各方面的经验和科研成果,介绍该领域有关专业的最新进展,探讨行业发展的思路和方法,旨在加速分类学、系统发育、生物地理学和植物进化方面的研究和免费信息交流,促进行业发展。该刊已被国际权威数据库SCI、SCIE收录,为该领域相关学科的发展起到了良好的推动作用,也得到了专业人员的广泛认可。
该文主要内容为中国学者在金线兰种质资源普查中发现了一种新的金线兰种质,命名为钟山金线兰(A. zhongshanensis)。该金线兰属新种的发现,对金线莲品种的选育、性状的改良提供了重要的野生资源,有望进一步开发为新的药用替代资源。




拍摄于
儒兰种质库



什么是种质资源?
种质资源与种子有什么关系?
为什么收集、保护、鉴定种质资源非常重要?
十数年如一日,儒兰公司坚持与相关高校科研团队合作
建立种质资源的意义是什么?
今天我们就来好好了解一下!



1
种质资源是什么?
什么是种质?
是种质,还是种子?
种质,是指具有生命力或者有可再生能力的一种遗传资源,包括种子、果实、还有植物的营养繁殖器官及离体培养的材料等。种子是植物的有性繁殖器官,是种质很重要的一个部分。相比种子,种质资源是一个更广义的概念。
种质资源是研究的基础,没有种质资源,不管是基础研究,还是应用研究,都无从谈起。种业的竞争归根结底是种质资源的竞争。种质资源能否有效地开发利用,对于推动基础研究、新品种选育等都是最关键的。
种质犹如科研与生产中的一把“金钥匙”,有了它,就能开启科研探索与生产运用的一扇扇大门。



2
保证金线莲药效还得从种质资源说起
金线莲种质采集困难

种质资源首先需要到野外深山老林去采集,经过鉴定后,进行收录。由于金线兰植物的高药用和食用价值,动物自疗自补,人类过度采集是资源减少的高风险因素,也是这些物种的主要威胁,特别是那些分布有限和种群规模较小的物种。所以在2021年9月7日金线兰属植物已经被列为中国国家林业和草原局及中华人民共和国农业农村部发布的《国家重点保护野生植物名录》(二级)中潜在的濒危物种。野生资源的获取将涉及法律问题,如因科研需要,必须向国家或省级主管部门申请获得批准后,方可采集。

目前儒兰公司种质资源情况及意义

金线兰属于兰科(Orchidaceae)金线兰属(Anoectochilus Blume),是一类全球约有40个已报道物种的植物,主要分布于亚洲南部和东南部至澳大利亚以及西南太平洋岛屿等。
到目前为止,中国已记录了20多种正品金线兰,这些金线兰物种以及一些兰属和其他相关属的成员因其叶子上的“金线”而著名,英文称为“Jewel Orchids”,中文俗称“金线莲”。
但近几年金线莲产业发展繁荣的背后也有隐忧,尤其是金线莲种质来源混乱。金线兰属植物形态非常相似,不容易鉴定(如下图)。注重行业前段研究如种质资源调查、鉴定等等,全国范围内相关科研团队极少!

市场上组培金线莲的外植体由于专业、鉴定方法等等原因,部分未经过准确鉴定,多种金线兰属植物(伪品)均被当作金线莲使用(我国金线兰属植物较多,福建仅金线兰A. roxburghii为正品),导致市场上出现了多种形态各异的金线莲品系,品质参差不齐,严重影响金线莲产业的健康发展。
儒兰公司组织培养的金线兰属植物超过40种(其中包括正品金线莲及一些已被收录和未被收录的品种),其中与相关科研团队合作实现了15种正品金线莲的鉴定和组织培养,包括1种金线兰属新种:钟山金线兰A. zhongshanensis和3个新记录种。这些都为后续金线兰属植物的可持续开发利用提供保证,同时也有效地保护了金线兰属植物的野生资源。
这些正品金线莲来自福建、广西、云南、广东等野生资源,经鉴定后再进行组培与扩繁,之后再比对性状、成分等,从中优选优质的金线莲种源。这也给公司未来发展奠定了坚实基础!也是儒兰金线莲产品品质的源头保证!
种质库

正品和伪品的差别

从相关科研文献,不难了解金线兰属植物的核心成分差别:
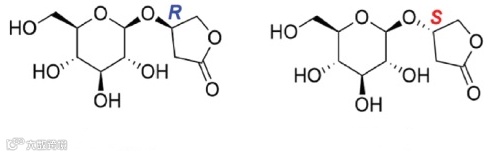
举例金线莲苷(R构型)为金线莲的主要活性成分之一,具有抗高脂血症、降血糖和抗自身免疫性肝炎等生物活性,而有一个成分为S是其差向异构体,却无上述活性。
R和S结构相似,在金线兰属植物中含量差异较大,其中金线兰(正品)中主要成分为R,而一些金线兰属植物(伪品)主要成分为S。因此其药效成分及效果将会有很大的差别。
研究结果表明,R和S可以作为特征化学标志物,用于区别金线兰(正品)与部分形态相似的金线兰属植物(伪品)。

下图为金线莲里最重要的成分之一,其中30个金线兰属植物里该成分最高和最低之间差距超过20倍!

影响金线莲药效因素很多,首先就是种质(区分正品还是伪品),之后是种源甄别、比对、筛选,优中选优之后是培育模式、培育时间、炮制方法等。
儒兰建立金线莲种质库,耗时十数年,却是为消费者提供优质的产品重要基础!
种质资源(种源)是金线莲产业的芯片!儒兰将会继续投入大量人力和物力,不随波逐流,坚持“小而美”,进一步利用种质资源库优势,为消费者提供效用更好的产品!

在人类进化史中,从第一粒携带着顽强基因的种子被驯化播种,才开始从采集走向农耕,自此以后,农桑稼穑成为最重要的日常。
近几十年的实际情况看,我国种业,艰辛!西方发达国家种业,辉煌!种业已成为农业价值链的起点、农业科技发展水平的先进代表!
一粒种子改变一个世界!终有一天,儒兰作为公司和品牌会彻底消亡,而其对野生种源的保护及此基础上培育出来的种子依然会在!



