心脑血管疾病是全球重大公共卫生威胁,其高发与精米精面、精炼油、促炎食品添加剂及食品过度加工紧密相关。这些因素通过引发血糖波动、炎症反应、营养失衡等机制,共同推高心脑血管疾病发病率。以下将详细剖析这些因素与疾病关联,并着重强调超加工食品的危害。
精米精面:升糖快致血管损伤
精米精面加工时去除大量膳食纤维,升糖指数高。食用后血糖迅速上升,长期易引发胰岛素抵抗和糖尿病,而糖尿病会损害血管内皮、促进动脉粥样硬化。同时,其缺乏B族维生素等营养素,长期食用导致营养失衡,影响血管功能。
部分精炼油:反式脂与氧化伤血管
部分精炼油高温加工产生反式脂肪酸,会升高“坏胆固醇”、降低“好胆固醇”,增加心血管疾病风险。高温还产生氧化产物,长期摄入引发炎症、损伤血管内皮,加速动脉硬化。
促炎食品添加剂:扰肠道增炎症
促炎食品添加剂危害大。人工甜味剂改变肠道菌群,增加炎症反应;乳化剂破坏肠道屏障,使有害物质入血引发慢性炎症;部分着色剂代谢后产生促炎物质,间接增加心脑血管疾病患病风险。
过度与超加工食品:心脑血管健康的“隐形杀手”
过度加工食品,尤其是超加工食品,对心脑血管健康危害极大。超加工食品属于Nova食品分类中加工程度最高的一类,它以加工烹饪原料和合成食品化合物为原料,含有大量添加剂,且普遍具有高糖、高脂、高盐的“三高”特征。像方便面、甜饮料等常见食品都属于超加工食品范畴。
因其美味、方便、保质期长、价格实惠,超加工食品在高收入及不少中等收入国家广泛流行,占膳食总能量的50%以上。长期食用这类食品,高盐会导致血压升高,高糖会引发血糖异常,高脂则会使血脂升高,进而加速动脉硬化的进程。而且,在加工过程中,食品的营养成分大量流失,同时添加剂不断叠加,这不仅削弱了身体自身的修复能力,还会进一步加重心脑血管疾病的负担。
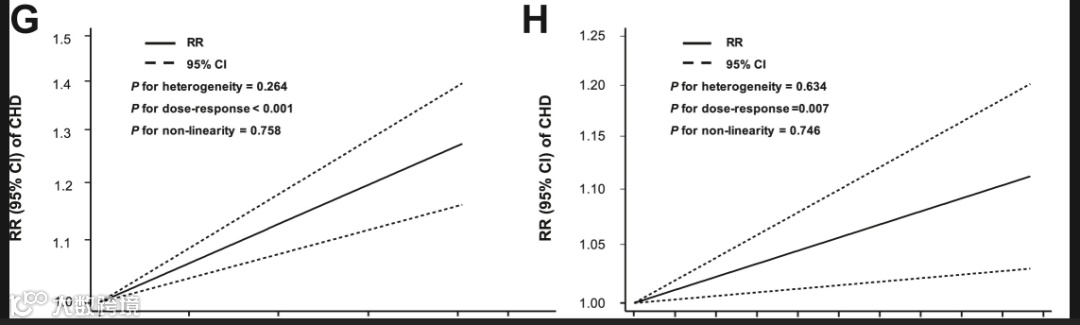
多项研究证实超加工食品的危害
相关数据显示,如今,在高收入国家以及越来越多的中等收入国家,超加工食品/加工食品已占膳食总能量的 50% 以上。
然而,越来越多的证据表明,食用超加工食品与非传染性疾病风险增加有关,构成了巨大的公共卫生挑战。
总而言之,超加工食品消费会显著加重心血管疾病负担,其消耗的能量比例、重量和份量增加,心血管事件风险随之上升。相关剂量反应荟萃分析为制定公共卫生政策、减轻超加工食品不利影响提供了理论依据。
为保护心脑血管健康,我们应重视饮食影响,减少精米精面、部分精炼油、促炎食品添加剂及超加工食品摄入,选择更健康、营养均衡的饮食方式。
相关论文链接:
https://doi.org/10.1016/j.lanepe.2023.100771
https://doi.org/10.1016/j.eclinm.2023.101840

