
铭泰集团(Mitime Group)--财富世界500强吉利集团的下属二级非汽车产业集团。主要投资领域为高等教育、体育、文化旅游、健康服务等。
5月20-21日,2017速度中国第二站比赛在成都国际赛车场顺利落幕。新赛季,速度中国的比赛融入了很多新鲜元素!在注重“赛事+娱乐”的基础上,主办方更多的是为车迷打造一个人人都能参与的赛车嘉年华。观众不仅能够坐在看台上观看赛车竞速,还能亲自坐到驾驶室里开赛车。无论男女老幼,都能全方位地接触赛车,享受赛车的乐趣。

在刚刚结束的成都站比赛中,国际汽联F4中国锦标赛/中国方程式大奖赛/超吉联赛三项高水平比赛在成都国际赛车场同场竞技。顶尖赛车手的激烈角逐吸引了千余名车迷到场观赛。6月24-25日,2017速度中国将来到首都北京,三大高水平赛事还将携手木兰菁英赛,精彩不容错过!


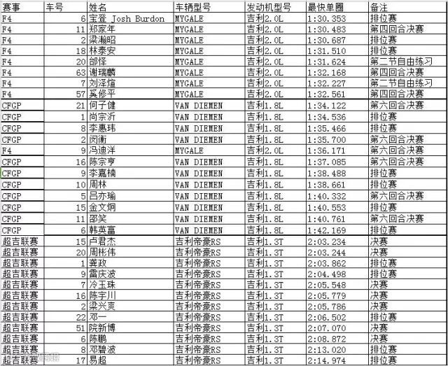
说起赛车运动,速度肯定是车迷关注的焦点。有个问题不知你们感兴趣不?就是赛车手的极限速度是多少呢?让我们来看看成都站的比赛中,各位车手的最快圈速吧!


国际汽联F4中国锦标赛
总冠名:壳牌
官方指定润滑油:壳牌喜力
官方指定发动机:吉利动力
官方指定轮胎:锦湖轮胎
官方指定功能性饮料:乐虎
官方指定专车:神州专车
官方指定用漆:杜雅车漆
官方指定对讲机:国昊通信
官方指定工具:易尔拓
官方指定物流:宝供快运
中国方程式大奖赛
总冠名:乐虎
官方指定发动机:吉利动力
官方指定润滑油:迈科润滑油
官方指定功能性饮料:乐虎
官方指定专车:神州专车
官方指定用漆:杜雅车漆
官方指定燃油催化器:Smart Life
官方指定服装:生活无限
官方指定汽车养护用品:好顺
官方指定车用摄像机:DOD
官方指定工具:易尔拓
车队赞助商:信能阳光
吉利杯超吉联赛
总冠名:吉利汽车
官方指定发动机:吉利动力
官方指定轮胎:路航轮胎

来源:MITIME铭泰赛车
CFGP0001



