

亲,打赏一下西航君,点个赞吧

成都航空旅游职业学校,只为成就你的航空梦!
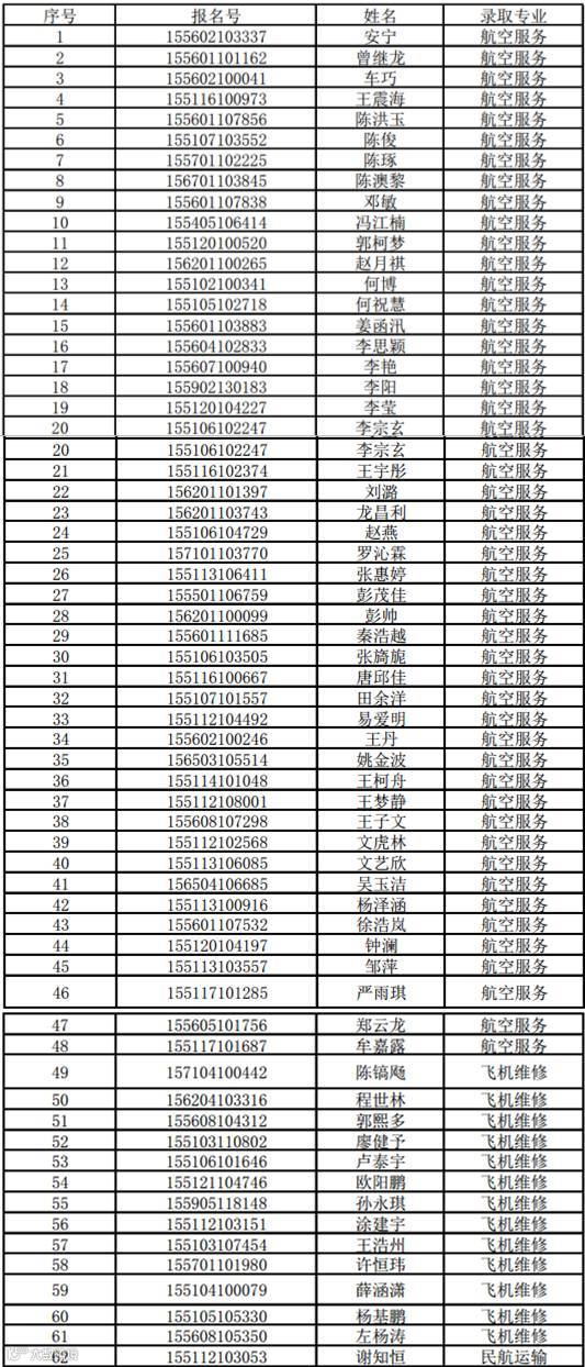
素材来源:西航招生处
编辑制作:西航云非工作室
成都航空旅游职业学校
微信号:cdhklyzyxx

长按二维码,快速关注!
报名咨询:028-85722777,028-85861555
QQ交流:800051202
学院网址:http://cdhkxx.com/

成都泛美航空旅游职业学校

亲,打赏一下西航君,点个赞吧

成都航空旅游职业学校,只为成就你的航空梦!
素材来源:西航招生处
编辑制作:西航云非工作室
成都航空旅游职业学校
微信号:cdhklyzyxx

长按二维码,快速关注!
报名咨询:028-85722777,028-85861555
QQ交流:800051202
学院网址:http://cdhkxx.com/
