搜索
首页
大数快讯
大数活动
服务超市
文章专题
出海平台
流量密码
出海蓝图
产业赛道
物流仓储
跨境支付
选品策略
实操手册
报告
跨企查
百科
导航
知识体系
工具箱
更多
找货源
跨境招聘
DeepSeek
首页
>
成航校 | 亲爱的老师,我想对您说……
>
成航校 | 亲爱的老师,我想对您说……
成都泛美航空旅游职业学校
2016-09-10
2
导读:出早操,检查内务,备课,批改作业,辅导后进生,和学生交心…成航校的老师们又辛苦耕耘了一年。忙忙碌碌中,有时会忘了自己的初心,忘了自己曾经为什么选择"教师"这一职业,只有当看着学生眼中渴望和期待的光芒时
亲爱的老师‥
你们是世间最柔软和最刚毅的存在。
你们只要一抬头看你,全世界的温柔都在眼里;
你们只要开口说话,空气里就四处有道理;
你们只要讲故事,云朵和流水都会有笑容和感情。
出早操,检查内务,备课,批改作业,辅导后进生,和学生交心…成航校的老师们又辛苦耕耘了一年。忙忙碌碌中,有时会忘了自己的初心,忘了自己曾经为什么选择"教师"这一职业,只有当看着学生眼中渴望和期待的光芒时,才会想起自己最初的教育梦想。
2016.9.10,
第32个教师节,我们随机抽选了14个孩子,一起来看看熊孩子们都对老师说了些什么吧。
TO
尹丽丽老师
TO
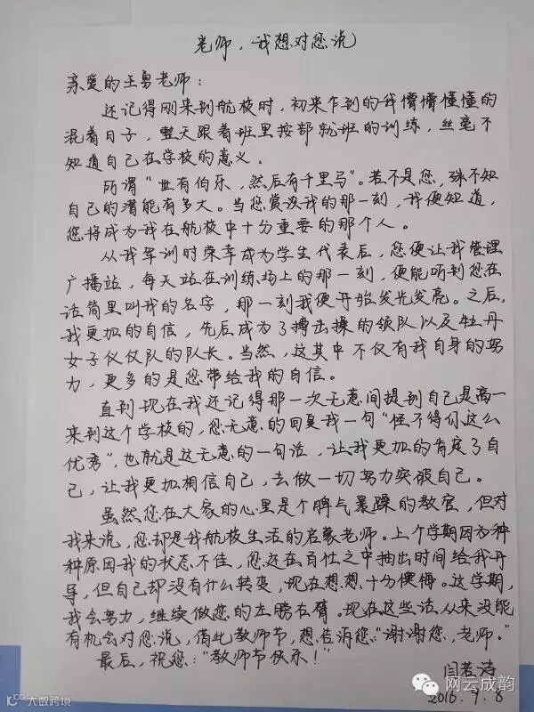
王涛老师
TO
王勇老师
TO
张力月老师
TO
李木兰老师
TO
罗锦莹老师
TO
温寅如老师
TO
吴欣格老师
TO
何健恒老师
TO
董晓老师
TO
孙兵老师
TO
肖雪老师
TO
边晓茜老师
TO
母娟老师
老师,因为您的谆谆教诲,
我们的人生才得以一次次凯旋。
老师,祝您节日快乐!
END
素材来源:微信公众号网云成韵
【声明】内容源于网络
0
0
成都泛美航空旅游职业学校
成都泛美航空旅游职业学校是经成都市教育局批准成立,与四川西南航空职业学院同属四川泛美教育集团,是西南航院附属中专。专门从事民航空中乘务、民航空中安全保卫、民航安全技术管理、飞机维修、无人机操作与维护等专业人才培养的全日制中等专业学校。
内容
8055
粉丝
0
关注
在线咨询
成都泛美航空旅游职业学校
成都泛美航空旅游职业学校是经成都市教育局批准成立,与四川西南航空职业学院同属四川泛美教育集团,是西南航院附属中专。专门从事民航空中乘务、民航空中安全保卫、民航安全技术管理、飞机维修、无人机操作与维护等专业人才培养的全日制中等专业学校。
总阅读
2.2k
粉丝
0
内容
8.1k