
抗体芯片在病毒学研究中的应用
杂志名称:
Journal of Infection(2023 IF:28.2)
文献题目:
Comparison between human infections caused by highly and low pathogenic H7N9 avian influenza viruses in Wave Five: clinical and virological findings
第一作者:
Yang Yang
通讯作者:
Gao George F 等
作者单位:
深圳市病原体与免疫深圳市重点实验室
广东省新发传染病诊治重点实验室,传染病国家重点学科
南方科技大学附属第二医院深圳市第三人民医院中国科学院流感研究与预警中心微生物研究所
中国科学院病原微生物学与免疫学重点实验室,传染病诊疗协同创新中心
发表时间:
2019年
文献全文下载地址:
暂无免费下载资源,若需原文可私信索取
本实验所用产品:
品名:Human Cytokine Array G5
货号:AAH-CYT-G5(人80个细胞因子半定量抗体芯片)
详情:https://www.raybiotech.com/human-cytokine-array-g5-aah-cyt-g5
因子列表:
芯片类型:
研究目的
新出现的高致病性(HP) H7N9禽流感病毒与(LP)低致病性H7N9病毒相比,人感染禽流感病毒的病死率和耐药流行率更高,文章对第五波期间新出现的HP-H7N9和LP-H7N9进行分析,以帮助临床快速准确地对禽流感病人进行病毒感染株型确定及治疗。
思路&结果
1、测定12个病人的H7N9病毒分型
HP-H7N9和LP-H7N9感染在年龄、发病至住院天数、共存慢性疾病和住院期间并发症发生率方面无显著差异,但在分离的病毒PB2片段中存在氨基酸突变。

数据库分析结果,H7N9病毒PB2片段的E627K和D701N突变与小鼠和白鼬的传播有关,K526R突变与增强与K627和N701功能的有关。
2、12个病人的临床检测
LP-组的白细胞减少和血小板减少比较明显,其余指标差别都不大。

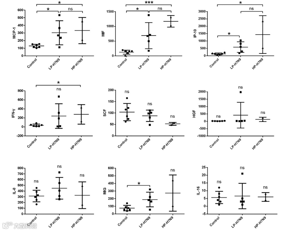
3、AAH-CYT-G5测定病人血清的细胞因子和趋化因子
细胞因子与疾病严重程度相关:与健康对照组相比,LP组和HP组的MIF、MCP-1和IP-10等抗病毒感染等细胞因子均显著升高。

4、利用血气分析仪计算并分析病人的缺氧与肺损伤程度
H7N9患者入院后有严重肺部疾病,并具有ARDS疾病的特征。两组患者PaO2/FiO2动态模式相似,说明两种病毒引起的疾病严重程度相似。

5、病人病毒载量分析
H7N9病毒PB2片段的E627K和D701N突变与小鼠和白鼬的传播有关,K526R突变与增强与K627和N701功能的有关。

讨论 & 结论
Discussion & Conclusion
实验结果表明:HP-H7N9和LP-H7N9感染的人群在临床表征,蛋白水平上在患者入院时差异都不大,所以需要经过感染病毒测序区别感染的株型,从而进行相应的治疗。
Tips:
① 这篇文章中研究者用了RayBio AAH-CYT-G5(人类80个因子)芯片检测了三组人群,在满足统计学的情况下测9个样本,试剂盒总计2W左右,最迟1个月出结果。
② 如果老师选择做WB检测流感病毒免疫相关的蛋白,购买所有抗体需花费16个W,做完80个因子的WB要花的时间为,昂~报说!反正做完WB流感病毒说不定已经变异好几代了!
③ 综上,选择抗体芯片作为研究工具,可以快速、省时、省力、省资金地出研究数据发高分文章!
④ 其他热门研究专题小芯片推荐,私信或致电020-29891010详询:
⑤ 目前活动期间,针对120个因子以内的夹心法芯片有特殊优惠,以以上文章为例,可以节省约1.4w。点击链接,了解更多优惠活动…

▼ RayBio®抗体芯片近期部分学术引用
| Year | Journal | 2023 IF | Article Title |
| 2017 | Nature Communications | 16.6 | Application of bio-orthogonal proteome labeling to cell transplantation and heterochronic parabiosis |
| 2017 | Nature Immunology | 30.5 | Direct control of regulatory T cells by keratinocytes |
| 2017 | Nature | 64.8 | Cytoplasmic chromatin triggers inflammation in senescence and cancer |
| 2017 | Nature Medicines | 82.9 | Dickkopf-1 promotes hematopoietic regeneration via direct and niche-mediated mechanisms |
| 2018 | Acta Biomaterialia | 9.7 | Manipulation of the response of human endothelial colony-forming cells by focal adhesion assembly using gradient nanopattern plates |
| 2018 | Journal for Immuno Therapy of Cancer | 10.9 | Randomized phase II trial of autologous dendritic cell vaccines versus autologous tumor cell vaccines in metastatic melanoma 5-year follow up and additional analyses |
| 2018 | Arthritis & Rheumatology | 13.3 | Myogenic Progenitor Cells Exhibit Type I Interferon–Driven Proangiogenic Properties and Molecular Signature During Juvenile Dermatomyositis |
| 2018 | Hepatology | 13.5 | Identification and Therapeutic Intervention of Coactivated Anaplastic Lymphoma Kinase, Fibroblast Growth Factor Receptor 2, and Ephrin Type-A Receptor 5 Kinases in Hepatocellular Carcinoma |
| 2018 | Hepatology | 13.5 | Sphingosine kinase 1 promotes liver fibrosis by preventing miR-19b-3p-mediated inhibition of CCR2 |
| 2018 | Cell Host & Microbe | 30.3 | Listeria Adhesion Protein Induces Intestinal Epithelial Barrier Dysfunction for Bacterial Translocation |
| 2018 | Cell | 64.5 | CD10+ GPR77+ cancer-associated fibroblasts promote cancer formation and chemoresistance by sustaining cancer stemness |
| 2019 | Theranostics | 12.4 | Monoclonal Antibody againstCXCL1 (HL2401) as a Novel Agent in Suppressing IL6 Expression and Tumoral Growth |
| 2019 | Neurology | 9.9 | Changes in cerebralautoregulation and blood biomarkers after remote ischemic preconditioning |
| 2019 | Nature Communications | 16.6 | Altered respiratory virome and serum cytokine profile associated with recurrent respiratory tract infections in children |
| 2019 | Nature Communications | 16.6 | Microenvironmental IL1β promotes breast cancer metastatic colonisation in the bone via activation of Wnt signalling |
| 2019 | Nature Cell Biology | 21.3 | NAD+ metabolism governs the proinflammatory senescence-associated secretome |
| 2019 | Nature Medicine | 82.9 | Stress–glucocorticoid–TSC22D3 axis compromises therapy-induced antitumor immunity |
| 2019 | Cell Research | 44.1 | Sodium oligomannate therapeutically remodels gutmicrobiota and suppresses gut bacterial amino acids-shaped neuroinflammation toinhibit Alzheimer’s disease progression |
| 2019 | Cell | 64.5 | Regional activation of myosin II in cancer cells drives tumor progression via a secretory cross-talk with the immune microenvironment |
| 2020 | Theranostics | 12.4 | Targeting the STING pathway in tumor-associated macrophages regulates innate immune sensing of gastric cancer cells |
| 2020 | Theranostics | 12.4 | Plasma protein-based signature predicts distant metastasis and inductionchemotherapy benefit in Nasopharyngeal Carcinoma |
| 2020 | Molecular Therapy | 12.4 | HLSC-Derived Extracellular Vesicles Attenuate Liver Fibrosis and Inflammation in a Murine Model of Non-alcoholic Steatohepatitis |
| 2020 | Acta Pharmaceutica Sinica B | 14.5 | Chrysin serves as a novel inhibitor of DGKa/FAK interaction to suppress the malignancy of esophageal squamous cellcarcinoma (ESCC) |
| 2020 | Journal of Extracellular Vesicles | 16 | Small extracellular vesicles derived from human mesenchymal stromal cells prevent group 2 innatelymphoid cell-dominant allergic airway inflammation through delivery ofmiR-146a-5p |
| 2020 | Nature Communications | 16.6 | Distinct effects of generalanesthetics on lung metastasis mediated by IL-6/JAK/STAT3 pathway in mouse models |
| 2020 | Molecular Cell | 16.6 | Ectosomal PKM2 Promotes HCC by Inducing Macrophage Differentiation and Remodeling the Tumor Microenvironment |
| 2020 | Immunity | 32.4 | Excessive polyamine generation in keratinocytes promotes self-RNA sensing by dendritic cells in psoriasis |
| 2021 | Pharmacological Research | 9.3 | Affiliated Hospital of Integrated Traditional Chinese and WesternMedicine, Nanjing University of Chinese Medicine |
| 2021 | Theranostics | 12.4 | Intravenous transplantationof olfactory ensheathing cells reduces neuroinflammation after spinal cordinjury via interleukin-1 receptor antagonist |
| 2021 | Theranostics | 12.4 | Tumor suppressor DRD2 facilitates M1 macrophages and restricts NF-κB signaling to trigger pyroptosis in breast cancer |
| 2021 | Hepatology | 13.5 | Group-2 Innate LymphoidCells Promote Hepatocellular Carcinoma Progression via CXCL2-Neutrophil Induced Immunosuppression |
| 2021 | Nature Cell Biology | 21.3 | m6A-independent genome-wide METTL3 and METTL14 redistribution drives the senescence-associated secretory phenotype |
| 2021 | Signal Transduction and Targeted Therapy | 39.3 | Mutant KRAS triggers functional reprogramming of tumor-associated macrophages in colorectal cancer |
| 2021 | Cancer Cell | 50.3 | Three subtypes of lung cancer fibroblasts define distinct therapeutic paradigms |
| 2022 | Journal for ImmunoTherapy of Cancer | 10.9 | Longitudinal plasma proteomic profiling of patients with non-small cell lung cancer undergoing immune checkpoint blockade |
| 2022 | PNAS | 11.1 | Plasma metabolome and cytokine profile reveal glycylproline modulating antibody fading in convalescent COVID-19 patients |
| 2022 | Advanced Science | 15.1 | Mouse Modeling Dissecting Macrophage–BreastCancer Communication Uncovered Roles of PYK2 in Macrophage Recruitment andBreast Tumorigenesis |
| 2022 | Nature Microbiology | 28.3 | Multi-omics analyses of airway host–microbe interactions in chronic obstructive pulmonary disease identify potential therapeutic interventions |
| 2023 | Nature Metabolism | 20.8 | TREM2hi resident macrophages protect the septic heart by maintaining cardiomyocyte homeostasis |
| 2023 | Journal of Hematology & Oncology | 28.5 | LCN2 secreted by tissue-infiltrating neutrophils induces the ferroptosis and wasting of adipose and muscle tissues in lung cancer cachexia |
| 2023 | Cancer cell | 50.3 | Tissue factor is a critical regulator of radiation therapy-induced glioblastoma remodeling |
【泪部资料】蛋白芯片案例集锦 | 肿瘤/癌症专题(一)科研重器15篇
【泪部资料】案例集锦 | 蛋白芯片与抗体芯片在生物医学研究和转化医学中的应用(一)







