关于对新余市本级2022年度超期未认证人员暂停发放待遇的公告
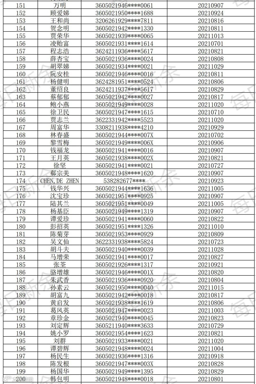
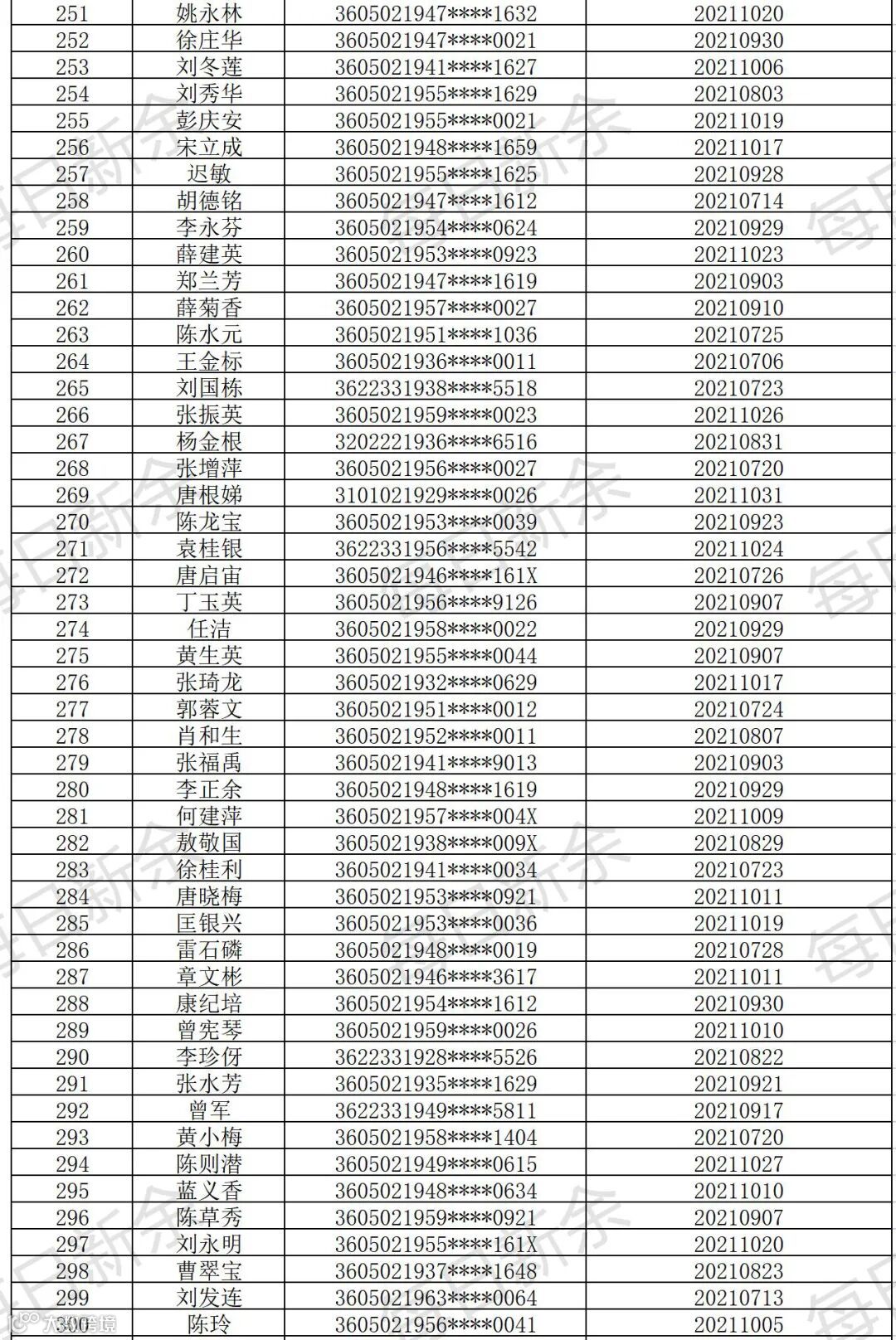
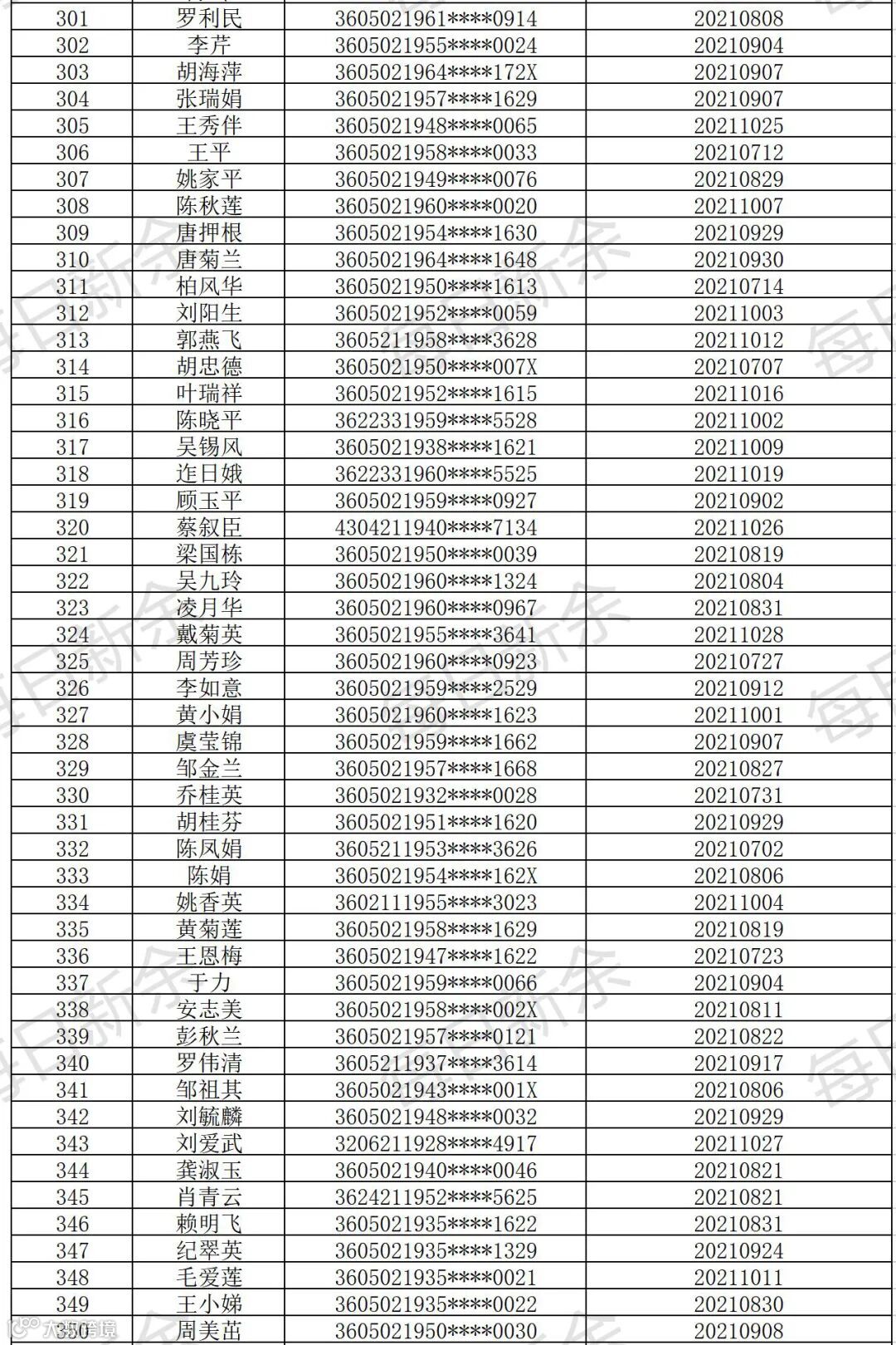
2022年11月,新余市社保中心对2021年10月起在非自然年度(365天内)认证周期内,未进行社保待遇领取资格认证的人员开展了全面筛查,并通过短信、电话方式逐一进行了提醒。截至目前,仍有504名退休人员(具体名单见附件)未进行社保待遇领取资格认证。为有效预防、杜绝冒领社保待遇行为的发生,根据《领取社会保险待遇资格确认经办规程(暂行)》(人社厅发〔2018〕107号)、《江西省推进养老保险待遇领取资格“静默认证”便民化若干措施》(赣人社字〔2021〕232号)等文件相关规定,我中心决定对上述504名退休人员自今年11月起暂停发放社会保险待遇,待其补办认证手续后恢复发放并补发暂停期间的社会保险待遇。此外,对长期未进行待遇资格认证的人员,我中心将安排稽核人员进行待遇领取情况专项稽核,对存在违规领取社保待遇的将依法追缴。
附件:新余市本级截至2022年10月超期未认证暂停发放社会保险待遇人员名单
新余市社会保险服务中心
2022年11月15日










来源:新余市人社局
●一男子为爱千里奔现来新余,开销不够偷电动车被抓......
●拘传18人,执行金额109万!新余法院重拳出击治“老赖”!
●年薪最高25万!新余这家国企正在招人!(附今日招聘信息)
微新余 |知新余
江西乐在网络科技有限公司
新媒体 | 广告发布 | 活动策划 | 小程序
商 务 合 作
电话 | 微信
15307902799

