学术观点
摘要
如何规范加油站规划布局,需综合行业规范与国土空间规划进行科学选址。文章以广州市为例,深入剖析陆上加油站现状存在空间分布不均衡影响服务效能、与法定控规契合度差导致实施慢等问题,充分考虑新能源汽车推广应用的影响,基于供给侧视角,结合成品油燃油量预测以及单站销售量、单站服务车辆数和单站服务范围,合理预测规划期末加油站需求总量控制,提出稳定发展、符合标准、服务引导和尊重法定规划四大原则,在延续历史并保留在建的基础上,建立指标体系科学评价新增站点选址的必要性和可实施性,从而优化构建更合理有序的规划网络整体功能,以期为其它城市同类规划提供有益参考。
01
广州市陆上加油站现状概况
加油站作为汽车时代重要的配套交通服务设施,是城市道路交通系统中的一个重要环节,它的分布合理与否影响到城市交通体系能否健康、高效地运行[1]。随着新能源汽车的推广应用,加油站规划要综合考虑适应新形式的成品油市场需求状况、加油站销售规模,道路建设情况、机动车拥有量、客货运输量、客货周转量、经济发展情况等多种因素[2]。本文以广州市为例,剖析加油站分布现状问题、预测需求总量、制定选址原则、优化网络布局,探讨陆上加油站科学规划的方法,以期构建更合理有序的规划体系,为其它城市同类规划提供有益参考。
广州市经济社会发展取得了显著成就,尤其在城市建设管理方面,空港经济区、琶洲电商总部、中新知识城、南站商务区、南沙新区等重点片区的建设,进一步优化城市空间布局;海港、空港、高铁、地铁、高快速路等重大基础设施建设,强化了中心城市功能。各重点片区和基础设施的建设拉动了城市道路网的完善和日趋成熟,促进客、货运交通的发展。
作为城市重要基础设施,广州市现状陆上加油站在营526座。从空间分布来看,平均百公里6.7座加油站,核心区主要呈面状分布,核心区以外主要呈沿高等级道路的带状分布。从整体服务能力来看,站均服务车辆仅4728辆/座,站均销量为6690 t/年,呈现数量多,密度大,销量小的特征。
上一轮规划期间,广州市区新建成并运营的陆上加油站7座(不含高速公路加油站),在建陆上加油站40座(含已批在建、迁建和未批在建、迁建的加油站),对照上一轮规划拟新增的288座,加油站建设低于预期(见图1)。
综合来看,广州市陆上加油站发展在空间分布和实施建设等方面,主要存在两大问题。
1.1 现状空间布局不均衡,对城市重点发展片区缺乏考虑
市区现有陆上加油站在地区和主要路段存在布局不合理,不均衡的问题。从级配来看,中心城区低等级加油站为主,近郊二级加油站多,远郊大型加油站多。综合来看,中心六区加油站覆盖较为全面,但单站规模较小,供油能力较弱;中心六区以外地区,单站规模和能力显著,但在布局上严重集中化,导致覆盖率偏低,竞争激烈且不利于支撑发展。
增城、从化等部分建成区和广汕公路(天源路—金坑大道段)、国道105(温泉大道—大广高速段)、新广从路(北二环高速—从城大道段)等局部路段站点间距过密,部分路段甚至超出了国道、省道每百公里不超过六对加油站的布点标准,导致加油站之间竞争过于激烈,采取降价的方式进行促销,引发恶性竞争,甚至出现亏损或无法维持经营暂停营业的情况,影响经营效益和服务水平。有些路段,如龙穴大道、省道S355(环市东路—白水寨大道段)等则过于稀疏,不能满足地区周边或道路沿线机动车加油需求。
城市重点发展新区和新建道路加油站布点不足。从上一轮规划来看,作为广州市重点建设和发展的中新知识城、南站商务区、南沙新区等重点片区加油站布点相对较少,不能满足地区未来发展的需求。一些新建成的快速路、主次干道,也未有规划新增加油站布点,与道路交通发展不相符。
1.2 与国土、城市规划衔接不足,现状历史遗留问题多,规划建设进度慢
部分现有加油站国土规划手续不完善,历史遗留问题多。随着依法治国的理念不断深入,国家、省行业主管部门年审政策逐步规范化,对于国土或规划手续不完善,存在历史遗留问题的加油站,其后续经营将受限制, 进而对全市成品油供应造成不良影响。
上一轮规划加油站布点未能与城市规划较好衔接,加油站建设难。经核查,拟新增的288个规划加油站布点与法定控规契合度较差。符合控规的新增加油站点位大部分位于城市规划新区,开发建设条件暂未成熟;而与法定控规不符的规划加油站点位,则需进行控规调整程序,程序复杂,手续繁琐、周期长,落地难,导致规划加油站建设实施迟缓。
因此,需要对加油站的数量和空间选址合理性进行更科学的论证和管控。
图1 广州市现状陆上加油站现状分布图
02
成品油零售行业面临的挑战和机遇
2.1交通需求增长机遇
1、 国家中心城市的建设,促进客货运交通流的持续增长
“十三五”时期,广州将继续强化国家中心城市功能,积极建设国际航运中心、物流中心、贸易中心,将促进广州市内各中心之间,以及广州市与周边地区之间的客货运交通流量和过境交通的增长,从而带动成品油消费的增长,为成品油行业稳定发展提供支持。
2、 重点新区的建设和发展,为加油站发展带来新的机遇
南沙新区、空港经济区、中新知识城、琶洲互联网创新集聚区依托国家、省、市的财政和政策支持,将作为“十三五”期间广州市重点开发建设的片区。而片区的发展将带动人口、运输业、道路交通等方面的快速增长,目前这些新区的加油站布局相对缺乏,市场需求和潜力巨大,为加油站建设发展带来新的机遇。
2.2新技术与承载力挑战
1、新能源、新技术的应用和推广,减少对成品油消费的依赖
随着“十三五”期间广州市产业转型逐步升级加快,新能源、新技术的发展将作为重点发展方向,其中对纯电动汽车、混合动力汽车绿色交通的推广和应用,以及传统燃油车的限牌政策影响,将进一步减少对成品油消费的依赖,并直接影响成品油行业的发展方向和整个体系的建设。
2、 能源资源、土地资源、环境压力进一步制约行业发展
“十三五”期间,广州市仍将面临着传统能源资源整体供应能力有限;新增建设用地严控,现状建成区改造成本高,难度大;生态环境问题突出,环境保护政策法规趋紧,环保意识加强等发展形势,而以传统石化能源为基础的成品油行业发展将进一步受相关因素制约。
3、 轨道交通建设、小汽车限购,机动车保有量增速放缓,影响成品油需求
由于广州市区道路交通资源有限,交通通行环境较为严峻,自2012年起,广州市实行了中小客车限购,小汽车保有量由原来快速增长的态势转变为定量控制,稳步增长的发展趋势。而成品油消费的主要对象为中小客车,其增长情况直接影响了成品油消费需求的增长情况。此外,轨道交通作为广州市重点实施建设项目,“十三五”期间,将有更多的轨道交通线路投入运营,这减少居民出行对机动车的依赖程度,影响机动车出行的需求。
03
合理确定陆上加油站需求总量
一个地区加油站的数量必须在科学的预测基础上有计划的建设[3]。供给数量远高于需求,可能会造成资源浪费和恶性竞争;供给数量远低于实际需求,则会降低服务效率,出现排队加油的困境。因此,必须由供给侧入手,结合新能源汽车推广应用情况,根据广州社会经济发展态势、综合交通规划、各类车型机动车保有量及对应的单车油耗等,合理预测成品油需求量,再结合单站销售量、单站服务车辆数、单站服务范围,确定陆上加油站需求总量。
3.1成品油燃油量预测
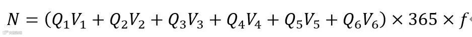
对规划期末加油站油品零售量,根据综合交通规划中区域各类车型机动车的保有量及其日均耗油需求量,得出所有机动车的日均耗油需求总量:综合交通规划预测2020年广州市机动车保有量为303万辆,结合广州市电动汽车充电基础设施建设专项规划中预测2020年新能源汽车发展规模将达到11.5万辆,预测广州市机动车保有量为291.5万辆,2020年广州市加油需求为450万t。其计算公式为:
式中:N为加油站油品零售总量;f为油品每升平均重量;V1为小客车日均耗油量(L);Q1为小客车保有量(辆);V2为出租车日均耗油量(L);Q2为出租车保有量(辆);V3为大客车日均耗油量(L);Q3为大客车保有量(辆);V4为小货车日均耗油量(L);Q4为小货车保有量(辆);V5为大货车日均耗油量(L); Q5为大货车保有量(辆);V6为摩托车日均耗油量(L);Q6为摩托车保有量(辆)。
根据既有调查资料,结合广州市现状和发展情况,,类比国内外城市的类似情况,机动车日均耗油量(见表1)。
表1 广州市目标年分类机动车日均耗油量预测
3.2陆上加油站需求预测
由于广州市成品油零售行业已进入激烈竞争期,经营主体呈现多样化的局面,油品市场活力十足,行业竞争增加,且由于广州限牌政策及新能源汽车的推广,行业利润减少,单站销量和服务能力均持续有所下降。对陆上加油站数量预测,结合车辆保有量和燃油需求,采用三种方法进行综合预测。
(1)方法一:按单站销售量确定陆上加油站规模。根据广州市加油站现状统计分析,2015年广州市在营陆上加油站平均单站油品销量6690t/年,根据行业发展规律,假定2020年平均单站销量略有下降,约6300-6500t/年,计算可得, 2020年广州市需加油站约693-715座。
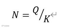
(2)方法二:按单站服务车辆确定陆上加油站规模。以城市机动车的保有量为基准,估算需配备的加油站数量,即一定数量的机动车配备一座加油站,故加油站的数量规模按下列公式推算:
式中:Q为区域机动车的保有量;K为每座加油站对应的机动车拥有量;N为加油站的数量。
现状广州市加油站平均单站服务车辆数为4725辆/座,假定2020年单站服务车略有下降为4000-4200辆/座,预计2020年广州市机动车保有量为291.5万辆,计算可得2020年广州市共需加油站694-728座。
(3)方法三:按单站服务范围。结合国土空间规划,根据服务半径,确定加油站规模。根据广州市土地利用总体规划,至2020年,广州全市建设用地面积较2015年增加520.8Km2。在保持加油站对现状和规划建成区、道路基本同等覆盖的前提下,严格执行《成品油零售企业管理技术规范》(SB/T10390-2004) “城区加油站服务半径不少于0.9km;国道、省道加油站设置:每百公里不超过六对”的相关规定,对“十三五”规划加油站数量进行测算。在建成区方面,规划期末建成区加油站数量需达到486座,较2015年增加112座;在道路方面,规划期末道路沿线加油站数量需达到220座,较2015年增加70座,合计706台。
第三种方法最为综合,既考虑了行业标准,也符合国土空间规划预期,预测结果也在第一、二种方法估算范围内。因此,通过三种计算口径校验预算,规划广州市2020年加油站规模为706座,规划增加182个点位,较上一轮规划的955座减少249座。
04
科学制定选址原则
规划选址应该从质量上保证需求落地的科学性,兼顾历史延续性、合法性、经济性和可操性四大原则。
4.1稳定发展原则
以现状加油站调查分析为基础,在保证在建的加油站(相关审批文件在有效期内)在本次规划中予以保留、延续的基础上,根据需求预测,通过对加油站总量进行控制,合理新增规划加油站布点,在满足全市“十三五”期间成品油供应需求的同时,处理好现有加油站和规划加油站之间的关系,保证加油站的平均服务水平在合理的范围内,确保加油站市场的稳定发展。
4.2符合标准原则
新建加油站的选址应符合商务部规定的基本指标标准:《成品油零售企业管理技术规范》(SB/T10390-2004)规定“城区加油站服务半径不少于0.9km,车行路程不小于1.8公里;国道、省道加油站设置:每百公里不超过六对;高速公路加油站设置:每百公里不超过两对”,以及《汽车加油加气站设计与施工规范》(GB50156-2012)、《广州市城乡规划技术规定》等国家技术规范及地方规范要求。
4.3服务引导原则
规划在符合标准的前提下,采用定性与定量相结合的分析方法,以现状加油站空间布局和供油能力分析为基础,充分考虑新能源汽车对传统汽车的冲击,结合广州市经济社会发展、道路交通建设、机动车增长需求等因素,建立现状加油站布局综合评价模型和规划加油站需求预测模型,在考虑城市发展区域差异的情况下,指导规划加油站科学布局。
整体来看,近期新能源汽车受续航里程限制,以城区日常交通为主,因此中心城区交通服务设施布局重在充电基础设施的设置,加油站基本保持现有存量,主要以改造增容等措施提升服务能力,不再新增数量;而黄埔(含广州开发区)、南沙等经济重点发展且加油站服务水平不足的地区可适当优先增加网点布局,符合“十三五”城市建设发展方向和新增人口空间分布。已经超标的快速路沿线原则不再新增站点,其余国道、省道及其它区域性干道沿线可根据供油需求和服务能力评价选择适宜路段适当增加;在有条件的加油站,鼓励增设充电基础设施,实现合址共建,节约用地,引导和规范加油站健康良性发展。
4.4尊重法定规划原则
为保证规划顺利实施,加油站新增网点的分布应充分与《广州市城市总体规划(2011-2020年)》、《广州市土地利用总体规划(2006-2020年)》、广州市控制性详细规划等法定规划相衔接,优先布局符合法定规划的加油站地块,统一收储,公开出让,提高点位的可实施性,降低行政风险。
05
优化网络规划布局思路
陆上加油站的布局目标应当是建立起与国民经济发展相适应、满足广大消费者需要、布局科学合理、竞争有序、功能完善的现代化加油站销售服务网络体系[4]。规划网络体系主要考虑现状网点基础、各交通区域加油站需求量、各区域网点计算服务半径、靠近所在区域干道等因素[5]。广州市规划182座陆上加油站中,扣除需落实有效历史审批及相关文件要求保留的加油站85座(其中,28座暂停运营但计划重启,10座计划搬迁,5座盘活运营,42座在建),剩余实际预留规划新建加油站97座。
5.1延续历史
经与区经信部门及相关企业核实,历史上取得经营批准证书,现已暂停运营但计划重启的陆上加油站有28座;计划搬迁的陆上加油站有10座;需盘活运营的陆上加油站有5座。根据相关文件要求,结合社会发展需要,上述加油站作为规划加油站予以保留。
5.2保留在建
根据《成品油市场管理办法》(商务部令〔2006〕第23号)、《广东省加油站管理办法(暂行)》(粤经贸资源〔2001〕445号)、《广州市建设工程项目优化审批流程试行方案》(穗府〔2013〕8号)等相关规范和规定,加油站建设须按程序办理发改委立项、规划点位选址意见、用地规划选址、用地预审、建设用地规划许可证、加油站规划确认等相关工程报建手续。按照相关报建手续的有效性和合法性,经多部门核对核对,至2015年底,在经信部门或国土、规划部门办理过相关审批手续,且审批文件在有效期内,但尚未取得经营批准证书的在建陆上加油站有42座。对在建站点,规划予以保留,并以地块红线形式进行控制。
5.3 科学新增
5.3.1科学评价备选点位
结合上一轮规划实施情况、广州市法定城乡规划,并充分考虑调研期间各市、区相关部门、企业对新建加油站的诉求。其中,自然资源部门的广州市控制性详细规划中有870个控规加油加气站地块可用于加油站建设;市、区科工信和规划等部门申请新建加油站点位60个,各成品油零售企业(尤其是中石化、中石油、中海油等重点企业)申请新建加油站点位145个、上一轮规划剩余未落实点位251个。
按照相关规定和规范,在扣除暂停运营、计划搬迁、盘活运营、在建、高速公路、不符合建设要求、相互之间有重复的规划点位后,本次共需对405个新建加油站备选点位全面构建备选库,进行论证评价(见图2)。
规划依据规划点位所处道路等级、900m范围内建设用地占比、点位需求水平、现状道路流量四个指标对点位进行指标量化后,采用专家打分法和层次分析法对规划点位进行指标评价,并将结果进行无量纲的标准化处理,从而量化各规划点位建设必要性和可实施性(见表2)。
图2 全面构建备选库
表2 规划点位评价体系
5.3.2测算规划单元需求
根据广州市域空间管理单元,考虑行政区划、用地性质和交通小区划分,将全市划分成173个单元,结合各区及各单元现状机动车流量、现状和规划建设用地面积、现状和规划道路公里数、现有加油站的密度和规划发展需求等,测算每个单元中新增加油站容量(见图3)。
根据前述预测,广州市域范围内至2020年可预留新增97座规划加油站。在控制总量的基础上,按照各空间单元新增加油站容量,在核减在建、暂停运营、计划搬迁、盘活运营点位后,若单元有剩余容量,则优先考虑综合评分较高的控规加油站导则地块纳入本次“十三五”规划新增点位;扣除在建和控规导则地块后,单元仍有剩余容量,则对上一轮规划新增点位和市、区相关部门,企业等申请的点位按照综合评分最高的优先纳入“十三五”规划新增点位,如此类推,对458个点位进行论证筛选,最终选取的97个新增点位落实已有控规地块共48个,其余市区部门、企业申请共49个(见图4)。
对照相关规划,该97座规划预留新建点位,有65座在天河智慧城、空港经济区、南沙明珠湾区起步区、中新广州知识城、广州南站商务区、传祺轿车生产研发基地等重点平台和重点项目内。可见,规划布点与城市发展重点方向基本适应。
图3 新增加油站空间分布计算流程
图4 规划点位论证筛选流程
06
结语
传统的加油站规划编制思路,更偏重加油站的交通属性和危险设施两种属性,缺乏从机动车实际用油需求考虑其商业属性的经济性[6]。本次规划编制首先从供给侧合理预测规划期末的站点需求总量,在科学制定稳定发展、符合标准、服务引导、尊重法定规划等选址原则的基础上,梳理具备可操作性的规划布局优化思路,从而实现刚弹结合,合用、好用的规划目标。
注:本文已发表在《交通与运输》,2020年5月.
参考文献:
[1]朱春节.上海市加油站规划布局研究[J]. 交通与运输,2016(1):260-265.
[2]崔静,常琪.我国加油站布局问题研究[J].石油化工管理干部学院学报,2007,3(9):36-39.
[3]王成龙.国有石油企业视角下的加油站布局策略[J].石油库与加油站,2008,17(12):1-4.
[4]陈红.加油站布局的构思[J]. 石油库与加油站,2001,10(5):27-31.
[5]段言志,刘明丽,屈强等.基于城市模型的加油站选址与规模研究[J]. 石油库与加油站,2011(2):38-40.
[6]面向不同空间层次需求的加油站布局规划——《深圳加油站布局规划》的探索与实践[C].生态文明视角下的城乡规划--2008中国城市规划年会论文.中国城市规划学会城市交通规划学术委员会,2008.
[7]李新海,吴越等.关于加油站安全规划建设的几点建议[J].现代城市研究,2010,(2),59-61.
[8]马小毅,丰富,陈先龙. 加油站空间布局评价方法研究——以广州市为例[J].交通与运输,2016,(6):266-270
供稿 | 卞芸芸、曹辉
编辑 | 技术咨询室

