本期书单:
《投资哲学》
导语
世界上有最好的投资理念吗?
阿斯沃斯·达摩达兰认为没有,世上不存在对所有投资者来说的“最好”的投资理念,只有最合适自己的。
他认为投资者必须选择一个具有内在一致性的投资理念,这个投资理念不仅符合目标市场的实际情况,而且与投资者的个性特征相匹配。换句话说,成功投资的关键因素不仅在于了解他人是如何成功的,而且在于你需要更好地了解自己。
有着清晰投资理念的投资者在进行投资选择时,行为会相对前后一致,并遵守既定的原则。
《投资哲学》正是讲述了市场比较主流的一些投资理念。
作者阿斯沃斯·达摩达兰是美国纽约大学斯特恩商学院金融学克施纳家族讲席教授,全球广受推崇的估值和财务专家,曾多次获得包括纽约大学杰出教学奖在内的各类教学奖项,并于1994年被《商业周刊》评为全美商学院杰出教师。他还为美国许多知名投资银行提供公司财务与估值培训课程。
书中对于估值的讲述,正是他的内行所在。
01
估值方式
总的来说,有三种估值方法可供选择。
第一种,根据一项资产未来创造现金流的能力来估算其内在价值。
任何资产的内在价值都是该资产预期现金流的函数,它由现金流的大小、现金流的预期增长率以及现金流的不确定性决定。
第二种,通过考察市场对相似或可比资产的定价来估算一项资产的相对价值。
当对股票进行估值时,相似或可比资产常常被界定为同一行业中的其他公司。将这些公司的市场价值转换成一些标准变量的倍数,其中广泛使用的包括利润、账面价值和收入。然后比较这些可比公司的估值以找出被错误定价的公司。
第三种,根据基于特定事件发生带来的现金流来判断一项资产的价值(期权)。
02
内在估值
整个内在价值估值几乎都建立在现值这个概念的基础上。今天的1美元比一年后的1美元更值钱的道理很简单。
我们可以从一项资产能带来的预期现金流的现值来估计该资产的价值。这样任何资产的价值都是其产生的现金流、资产寿命、现金流的预期增长率以及与现金流相关的风险的函数。
作者又把现金流分成5种类型,它们是未来单一现金流、多个期间每期相同的现金流(年金)、永续期间每期相同的现金流(永续年金)、多个期间每期增长率固定的现金流(增长年金)和永续期间每期增长率固定的现金流(永续增长年金)。
1、未来单一现金流的现值最简单。直接使用该期间的折现率进行折现获得。
例如,在折现率为15%的情况下:5年后1000万美元的现值=1000万美元/(1.15)5=497万美元
也就是说现在获得497万美元和5年后获得1000万美元价值等同。
2、年金相当于未来的现金流从一笔变成多笔,比如假设未来5年中你每年能获得500万美元,假设折现率为10%。
可以通过计算每一年的现值,然后加起来。
这是一个等比数列的求和,其首项为A/(1+r),公比为1/ (1 + r),项数为 n。利用等比数列求和公式,可以得到年金现值的公式。A为每期现金流,n为期数,r为折现率。后续就可以直接套用该公式。
3、永续年金则是在年金的基础上,时间无限拉长。那么只需把年金公式中的n换成无穷大。
也就是说每年500万美元的永续年金以10%为折现率,其现值为5000万美元(500万美元/0.10)。
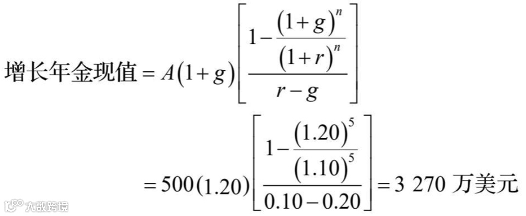
4、增长年金则是将年金每年相等的现金流变为每年以一个固定比率增长的现金流。
假设500万美元的年金在未来5年内每年增长20%。同样也可以计算每年单一的现值再加起来得到增长年金的公式。
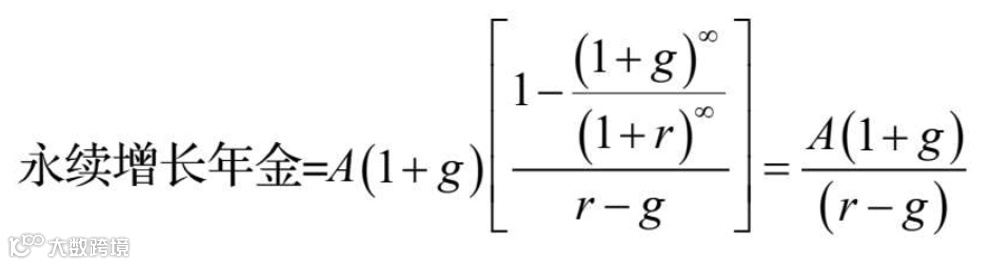
5、永续增长年金同样道理,则是把时间改成无穷大。
公式乍看起来有点复杂,但从最简单的现值开始理解,加上中学的一点等比数列求和的知识,就可以掌握。此外,对于有风险的投资,则需要进行调整以获得一个合适的折现率。
03
相对估值
相对估值中,关注点是找出与市场上类似资产的定价相比,定价偏低或偏高的资产。
为了比较市场上类似资产的价值,我们需要以某种方法对价值进行标准化。这种标准化可以是相对于资产所创造的利润,相对于资产本身的账面价值或重置价值,或相对于资产所带来的收入。也就是所谓的市盈率、市净率、市销率等等。
以下是影响这些乘数的变量,加粗的是对乘数影响最大的变量。
从估值的角度看,具有可比性的公司应拥有相似的现金流、增长潜力和风险。为了使变量影响较小,更能在同一纬度比较公司,在大多数分析中,可比公司被定义为与被分析公司处于同一行业的公司。
如果该行业有足够多的公司,那么可以用其他标准对这些公司进行筛选,比如只考虑规模相似的公司。
但经常会遇到同一行业中的公司相对较少或者同一行业中不同公司的风险、增长率和现金流差异很大的情况,会使相对估值法变得更加难以应用。
虽然将行业定义得更宽泛一些就能增加可比公司的数量,但这么做也会加大可比公司之间的差异性。由于不可能找到与被估值公司完全一样的公司,我们必须想办法控制公司之间的差异。
可以是简单地对乘数进行调整。
比如PEG就是调整后市盈率的一种使用:将市盈率除以每股盈利的预期增长率就可以得到公司经增长调整后的市盈率。同样,可以将市净率除以股权收益率,将市销率除以净利润。这些经过调整的比率可以在同一行业的不同公司之间进行比较。
书中的案例如下表,表中最后一列可以被视为经增长调整后的市盈率。意味着喝彩娱乐公司是这些公司中股价最便宜的公司,而明尼苏达州教育公司是股价最贵的公司。但是这个结论只有在这些公司风险相同的情况下才成立。
04
期权
一般来说,资产的价值就是资产预期现金流的现值,但有的资产拥有以下两个特点时的例外情况:
1)资产的价值源自其他资产的价值。
2)资产的现金流取决于某一特定事件是否发生。这样的资产被称为期权,这些资产的现金流现值会低估其真实价值。
期权分为两种类型。看涨期权赋予期权买入者以固定的价格买入标的资产的权利,而看跌期权赋予期权买入者以固定的价格卖出标的资产的权利。买入或卖出标的资产的固定价格被称为行权价。
期权的价值来自标的资产的价值。标的资产价值的上升将提高以固定价格购入该资产的期权价值,并降低以固定价格出售该资产的期权价值。反过来,提高行权价会降低看涨期权的价值而提高看跌期权的价值。
和风险增加时价值就会减少的传统资产不一样,当标的资产的波动幅度扩大时,期权的价值反而会增加。这是因为,波动不会恶化下行风险(你的损失不可能超过买入期权时支付的费用),却能使潜在的收益更高。
根据前面所述的期权两个关键特征,可以用复制组合的方式进行估值。我们可以通过标的资产的头寸和借贷组合构建一个与所评估期权具有相同现金流的投资组合,它的成本应该和期权的成本相同。那么具有相同现金流的两种资产(期权和复制组合)不能以不同的价格出售,这个被称为套利原则。
另外两项影响看涨期权和看跌期权价值的因素是无风险利率和标的资产的预期股息。看涨期权和看跌期权的购买者通常在购买时就支付了期权的费用,然后等待到期行权。承诺10年后以100万美元购买资产比现在立即购买容易得多,这是一种现值效应。因此,一般情况下,利率升高会提高看涨期权的价值(降低行权价的现值),降低看跌期权的价值(降低行权后收到的现金的现值)。资产的预期股息会降低资产的价值,因此不支付股息的股票的看涨期权,其价值会高于支付股息的股票的看涨期权。看跌期权的情况正好相反。
05
结语
书中还有对于价值投资、技术分析、套利、成长型投资、择时、指数化投资等多种投资理念的介绍。作者作为学院派的代表,并无特别青睐某种理念,书中各有侧重。
免责声明:本文所刊载内容仅供参考,不作为预测、研究、宣传材料或投资建议。本文所采用的第三方数据、信息、资料等内容来自本公众号认为可靠的来源,但本公众号并不保证和承诺这些数据、信息、资料等内容的原创性、真实性、准确性、时效性和完整性,亦不会为其承担任何责任。市场有风险,投资需谨慎。读者不应单纯依靠本资料的信息而取代自身的独立判断,应自主作出投资决策并自行承担投资风险。本公众号所刊载内容可能包含某些前瞻性陈述,前瞻性陈述具有一定不确定性。本公众号声明,无论是否出现最新信息、未来事件或其它情况,本公众号均无义务对任何前瞻性陈述进行更新或修改。
东方马拉松公司简介
深圳市东方马拉松投资管理有限公司核心团队组建于2004年,是中国本土价值投资领域较早的探索者和实践者。
经过二十年的发展,公司聚集了一批有实业工作背景和丰富投资经验的投资研究人员,形成了一套相对完整、成熟的价值投资体系。
东方马拉松投资是一家开放式、全球化、平台化战略的资产管理公司,拥有多产品、多策略和多位不同风格的投资经理。
三地办公:公司总部位于深圳,在上海设立办公地点,且公司股东在香港注册资产管理公司,持有香港证监会资产管理类第九号牌照。
公司核心投资研究团队人员具备二十年以上的专业经验,为投资者提供长期的专业投资服务。

