随着中国资本市场不断开放,海外机构资金持续流入,叠加保险、社保等长线资金提高入市比例,国内A股市场的投资者结构正在发生变化,价值投资理念已经深入人心。
价值投资:以实业投资视角去投资
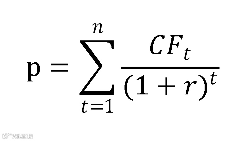
那么,如何定义价值投资呢?专业的观点认为,企业未来现金流的折现值,就是企业目前的价值,也就是我们经常说的DCF(discounted cash flow)法。
其中,P是企业价值;CFt表示t时刻的现金流;r表示预期的折现率。
投资专家通过估算未来10年、20年企业可能的自由现金流,按照一个加权的资金成本,计算企业现在价值。比如,按照5%的利息计算,一年后的100元相当于现在95.24元。
但是,企业未来现金流能够持续多久,每一期现金流情况,以及折现率的变化,都具有不确定性。所以,价值投资强调买优质的公司,这是因为优质的公司能够更好地保证公司未来实际的现金流更加稳定,匹配专业投资者的预期,甚至是超过专业投资者购买时的预期。
价值投资的指导意义在哪里呢?小红认为,对于普通投资者而言,重要的不是精准的计算企业当前的价值,而是要学习“实业投资”的思维模式。即我们买一只股票,要通过考察企业所处的行业空间和前景,考察企业的管理水平、经营能力、现金流情况、财务状况、发展前景等多个维度,综合评估企业的内在价值,来判断值不值得长期投资。
价值投资:知易行难 难在人性
价值投资的本质是拥有“实业投资”的思维模式。什么是实业投资思维?实业投资思维就是,买股票就是买公司,是赚公司长期价值成长的钱,而不是赚取别人的口袋中的钱。
资本市场是资源合理配置的场所,通过对资金流向的引导而对资源配置发挥导向性作用。资本市场存在强大的评价、选择和监督机制。效益好、有发展前途的企业可获得金融资源的倾斜,实现资源配置公平与效率优先理想状态。价值投资者的买入,是因为其股价低于内在价值;卖出,是因为股票的价格已经明显高于内在价值。
正如沃伦·巴菲特所说,股票市场根本不在我所关心的范围之内。股票市场的存在只不过是提供一个参考,看看是不是有人报出错误的买卖价格做傻事。
从另一方面来看,股票不会因为估值更高,而影响到它未来的自由现金流的分布,所以投资成本对收益率的影响很大,对同一只股票,以不同的估值买入,最后的回报率会有显著的差异。
历史数据显示,同样一个市场中,越是在整体市盈率低的时候买,投资者未来平均收益率越高。伯顿G.马尔基尔在《漫步华尔街》中写道,计算美国股市从1926年以来每个季度的市盈率,然后计算每个季度之后10年的市场总收益,一直计算到2014年,对观察结果进行十分位划分。
数据与我们的直觉是一致的。那么,为什么我们面对“便宜”的市场不敢买,面对“高估”的市场总是贪婪呢?
这就是人性!
投资中,投资者往往有难以规避的贪婪和恐惧,判断市场未来趋势更多的是依据市场短期表现,而不是基于长期价值。在牛市中,投资者风险偏好普遍上升,害怕错过赚钱机会,往往热衷于追高。在市场震荡中,投资者风险偏好降低,更趋于避险。
如何才能克服这种“人性弱点”,让自己的投资更具理性,真正践行价值投资,在恐慌中敢于投资呢?
这就需要你具有几点投资常识。
第一:股市呈周期变化。股市是经济的晴雨表,随着经济变化,股市也会呈现周期变化:复苏、繁荣、衰退、萧条,没有永远的牛市,也没有永远的熊市。上市公司的股票价格也一直波动,围绕着价值中枢上下波动,这是资本市场的普遍规律。
第二:市场底部是一个区间。股票市场参与者众多、是一个复杂多变的市场,市场的底部很难预测。市场的底部,不是一个点,而是一个区间。在这个区间投资,就是“抄底”。
第三:你需要逆势布局的勇气。巴菲特强调,当你听到布谷鸟叫的时候,春天已经过去。霍华德·马克斯说,等到投资人不再神经紧张、情绪稳定下来,那些便宜货早就被别人买光啦。面对市场调整,在底部区域依然坚持价值投资理念,敢于逆势布局,去接便宜的筹码,需要勇气和信心。
正如约翰·邓普顿在70多年的投资生涯里,一直奉行一个投资座右铭:“在别人都在沮丧地卖出时买入,在别人都在热情地买入时卖出,这样逆向投资,需要你意志极其坚强才能坚持做到,但是最终会给你带来极其丰厚的长期回报。”
这与巴菲特在2008年金融危机时发表在《纽约时报》上那篇文章中的一句话:“我投资买入股票时奉行一个简单的原则——在别人贪婪时恐惧,在别人恐惧时贪婪。”有异曲同工之妙。
2008年国际金融危机时,巴菲特抄底高盛。2008年9月23日巴菲特买高盛50亿美元永久性优先股,股息率是10%,同时获得在未来5年任意时间购买50亿美元高盛普通股的认股权证,执行价格是美股115美元。结果,11月21日,高盛股价跌到53.31美元,跌幅超过50%。当时,市场很多人认为,股神晚节不保,巴菲特错啦。但是,2020年一季度巴菲特大幅减持高盛股票的时候,高盛集团一季度股价均值为164.09元,巴菲特再次大赚一把。
2008年,巴菲特以每股8港元的价格认购比亚迪港股2.25亿股,约占当次配售后10%的股份比例,交易价格总金额约为18亿港元(约2.3亿美元)。从那以后,巴菲特再未卖出比亚迪。截至2020年末,伯克希尔•哈撒韦持有比亚迪的市值达到了58.97亿美元,12年内,巴菲特在比亚迪上的持仓市值增长近25倍。
践行逆向投资
在市场高估时卖出,在市场较为低估时买入,市场再次迎来逆向投资时刻。
WIND数据显示,7月5日,沪深300指数、中证500指数、中证1000指数、科创创业50指数、中证全指、上证全指等指数市盈率均位居近五年的50%分位数以下。
各大指数市盈率和近5年所处分位数

数据来源:WIND;截至2022年7月5日。
如果你是一位长期投资者,在震荡的市场中,基金定投也是一个不错的方式。从理论上看,基金定投能够很好的均摊震荡市中的风险,让你以更低的价格收集更多便宜的筹码。同时,基金定投以纪律性投资的形式,定期有规律地进行投资,可以抵御人性的弱点。
彼得林奇说,回忆历史,即使是跌幅最大的那次股灾,股价最终也涨回来了,而且涨得更高。所以说,市场下跌之后的底部区域,为价值投资者提供了更好的投资机会。

