随着上证指数报收3351.76点,A股的2024年结束了。
在经历了三年低迷后,A股在2024年终于扭转了颓势。
A股主要指数2024年表现
来源:Wind
统计区间:20240102-20241231
然而,242个交易日,并不是几个指数的涨跌就能概括的。
我们总结了9句话,带大家一起回顾A股的2024。
2024年度
“开年不红”并不意味着“全年不行”
2023年最后几个交易日A股放量上涨,让很多小伙伴对来年充满期待,但进入2024年后,A股却连续疲软、开年“不红”。
大盘不仅没有收复3000点,还先后失守2900点、2800点、2700点,2月5日甚至一度跌至2635点。
经济数据不及预期及美联储偏鹰是导致A股开年表现不佳的主要因素。
但“开年不红”并不意味着“全年不行”。
A股在2月开启“春季躁动”,大盘在5月一度涨至3170点附近,随后持续回落,直到“924”小牛市,最高冲至3674点。
上证指数2024年走势
数据来源:Wind
统计区间:20240102-20241231
促成反弹的因素有很多,但A股本身的牛熊周期可能更为关键,在经历了近三年的低迷后,A股或已积蓄了足够的上行动能。
2024年度
红利,还是红利
红利风格是2024年最为火热的投资主题之一。
A股重要红利指数2024年表现
来源:Wind;统计区间:20240102-20241231
注:中证诚通央企红利指数近5年的自然年度涨幅为:5.57%(2023年)、-9.19%(2022年)、26.12%(2021年)、0.34%(2020年)、11.37%(2019年);2024年上半年上涨17.5%
一方面,以十年国债收益率为代表的无风险收益率持续下行;另一方面,市值管理、分红减税等资本市场改革政策不断出台,进一步鼓励上市公司加大分红。
以长期视角看,我国经济进入了平稳增长的新常态,社会整体收益率下降,高股息的收益性价比突出。
在高增长、高景气行业相对稀缺的环境下,盈利稳定、且抵御市场波动能力较强的红利资产或持续“吸睛”。
目前A股红利主题相关的投资标的有很多,“央企+预期股息率”的红利组合,值得重点关注。详见《为什么红利最近这么强?》
2024年度
Sora再度引爆AI行情
2023年春节,ChatGPT火遍全球。
2024年春节,AI再次震撼海内外。
2024年2月16日(大年初七),OpenAI的最新文生视频大模型“Sora”亮相,很快成为科技圈、乃至资本市场的重磅热点。
用户输入想要的场景,Sora就会生成一个高清的视频作品。
图:Twitter@billpeeb
注:该账号为Sora 项目负责人Bill Peebles的账号
在今年2-3月的反弹行情中,Wind人工智能指数录得超50%涨幅;“924”以来的行情中,Wind人工智能指数区间最大涨幅达80%(20240924-20241213),妥妥的反弹先锋。
把视角拉长,AI成为2023年至今A股的投资主线,这个趋势是由AI引领的新一轮产业周期决定的。
回顾2010年以来的三轮新兴产业周期——智能手机、电动车和AI,长达5-7年的运行通常分为主题投资主导阶段和盈利释放主导阶段,两阶段的分水岭在于爆款产品出现。
来源:浙商证券
对AI而言,当前或处在主题投资阶段。
再往前看,如果人工智能也出现了类似iPhone4和Model3这样的爆款产品,行情进入中下游板块的盈利释放阶段,空间可能会更大。
2024年度
十年一度,“国九条”再次推出
就国内资本市场发展而言,2024年堪称一个“里程碑”。
4月12日,国务院印发《关于加强监管防范风险推动资本市场高质量发展的若干意见》,继 2004 年“国九条”、2014 年“国九条”以后,十年一度的“国九条”再次推出。
注:《意见》共有9条,因此被称为“国九条”。
本次“国九条”旗帜鲜明地强调加强监管和防范风险,更加强调以投资者为中心,充分肯定了资本市场的投资性、财富管理属性。
比如提高上市标准、提高分红比例、加大退市力度、增加高频交易成本等,这些举措都是立足于融资市向投资市明确转向后构建良好的股市生态环境,为A股步入中期牛市奠定制度基础。
2024年度
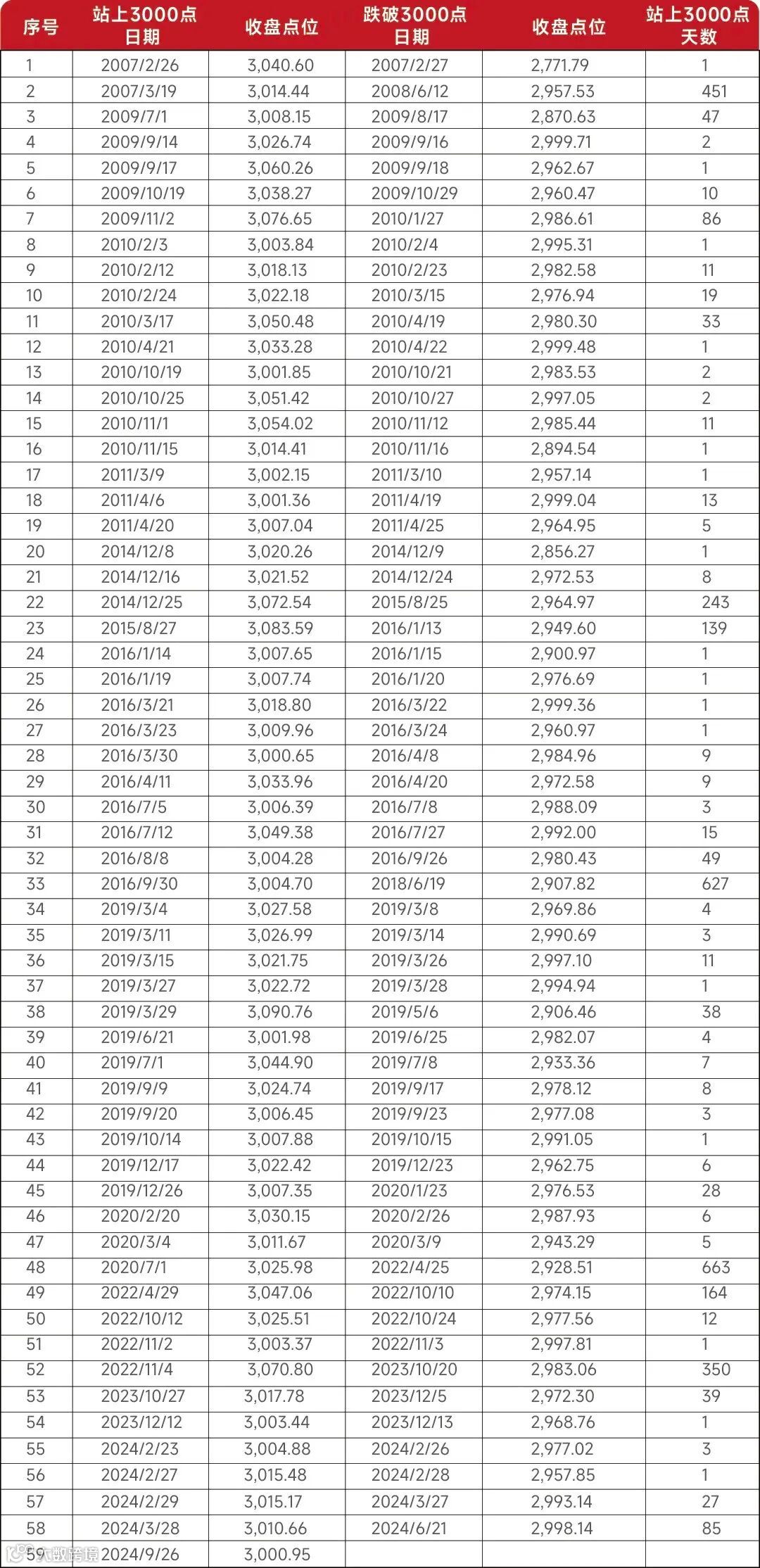
第59次站上3000点
2024年,大盘又在3000点上下“往返”了好几次。
2月23日,大盘历史上第55次站上3000点,但只过了3天便跌破;
3月28日,大盘第58次站上3000点,这一次待了85天;
9月26日,大盘第59次站上3000点。
上证指数与3000点
数据来源:Wind
这一次,希望大盘在3000点以上待得久一点,再久一点,干脆就别下来了。
2024年度
“加强版”上证指数
7月29日,一个新的上证指数亮相,叫上证综合全收益指数,简称上证收益,代码000888。
指数点位日期为20240731,谨慎投资,
指数过去走势不代表未来表现
全收益指数,是和价格指数对应的概念。
上证指数(000001)就是价格指数,而上证收益(000888)就是上证指数的全收益指数。
价格指数仅计算股票价格的波动,不考虑上市公司分红因素的影响。
全收益指数除了反映股价波动外,还包含了指数成份股现金红利的再投资收益。相较而言,更能准确反映指数内一篮子股票的真实表现
上证综合全收益指数(上证收益)并不是一个新概念,它是上证综合指数(上证指数)的衍生指数:
2020年9月18日首次提出
2020年10月9日在交易所正式推出
指数基日为2020年7月21日
以3320.89点为基点
2024年7月15日,上交所披露《关于发布上证综合全收益指数的公告》,主要涉及三点调整——简称、代码以及从7月29日起披露实施行情。
资料来源:上交所
2024年度
A股这个“风向标”,看不到了
2024年5月13日起,北向资金日内实时进出金额的显示停止披露;
8月19日起,北上资金日终的数据也停止披露。
根据沪深交易所公告,调整后,每天收盘后公布的内容,从北向资金的详细走向变成了成交总额和活跃证券名单,而且这些数据还得按月度、年度汇总公布。
北向资金常被看作“聪明的钱”,似乎经常都能“逃顶”、“抄底”。其操作轨迹也被很多人研究,甚至奉为“A股风向标”。停止披露后,不少声音表示“这是一个损失”、“以后要盲人摸象”了。
但实际上,北向资金并没有那么神奇。
我们曾做过统计,不论是从月度、周度还是单个交易日的数据,都无法得出北向资金能够精准抄底或逃顶的结论。和股市里的其他参与者一样,北向资金也无法准确预测股市的涨跌方向。详见《这个“风向标”,彻底看不到了》
北上资金不再披露实时成交额后,虽然可能带来某些短期的不便,但从长期看,能够强化长期投资意识,不过于关注短期资金波动,有助于促进市场的稳定和投资者行为规范。
2024年度
这个“封印”终于解除
如果要给A股前几年的低迷找理由,美联储加息肯定能算一个。
回顾这轮从2022年3月开始的加息,一直到2023年7月,共11次,累计幅度达5.25%。
在这之后,对于美联储降息的预期就不断牵动全球资本市场的神经。
北京时间2024年9月19日凌晨,美联储宣告降息50个基点,将联邦基金利率目标区间下调至4.75%-5%,这也是2020年3月来首次降息。
加在A股身上的“封印”,终于解除,美联储降息也被认为是引爆A股“924”行情的重要因素。
11月8日,美联储降息25BP,12月19日,美联储再次降息25bp。
2024年年内,美联储一共降息三次,共计100bp。
不过随着美国通胀居高不下,对美联储降息路径的预期也不断变化,这或许将成为影响2025年全球资本市场的重要因素。
2024年度
值得纪念的“924”行情
9月24日,国新会上“一行一局一会”推出金融政策“组合拳”。
自9月24日国新会至10月8日6个交易日内,上证指数上涨27%(以收盘价计算),逼近3500点,创2022年2月以来新高;偏成长的创业板指弹性更大,上涨59.2%;其他宽基指数也多创出年内新高。
9月30日和10月8日连续两个交易日,A股成交额分别达2.6万亿元和3.5万亿元,创历史新高,单日换手率也升至7.5%和9%。
从个股表现来看,多数个股区间涨幅在30%-50%,股价创年内新高的个股占比超10%。
这段极速拉升行情来得急、涨得猛,让很多老股民不禁想起当年的“519”行情。
国庆前后关于牛市的讨论引爆热搜,大量新股民跑步入场……
不过随后,A股进入震荡调整。
阶段性过热后,冷却一下未必是坏事。
从历史经验看,每一次行情的第一波往往来自超跌反弹,本轮行情同样如此。
政策就像是对股市的心肺复苏,让股市重新活跃起来,修复估值和信心。股市的长期上涨最终还是要有经济基础,后续行情的延续性仍需要等待基本面的验证。
|
|
|
|
|
|
红包到 你如何看待2024年的A股表现? 2025年有哪些投资寄语? 即日起至2025年1月2日17点 文末留言 小通将随机抽取600名粉丝 送出随机红包一份 最高66.66元! |
|||
|
|
|
||
红包将在活动结束后的三个交易日内,发放到获奖者的微信账户中,请及时领取。红包是随机发放,跟是否进入“精选留言”无关。本活动最终解释权归融通基金管理有限公司所有,有疑问可通过微信服务号“融通基金”或拨打客服热线400-883-8088了解。
滑动滚动条,查阅更多风险提示
分享、赞、在看,有机会拿大红包

