来源 | 证券市场红周刊
记者 | 李壮
精彩观点摘录:
早在疫情暴发之前的2019年12月19日,钟兆民先生就在《红周刊》编辑部做了这期节目,今天才和读者们正式见面。
其间,疫情黑天鹅重创A股和全球主要市场,钟兆民管理的基金采取了积极的进攻策略,这个策略是他投资思想的又一次实践。具体收效如何,我们将在时间的长河里保持观察。
本期,《红周刊》对话钟兆民,讨论《投资实战中的10大关键问题》。期待这期节目能让投资者们有收获。
问题1:股票是买还是卖?
提要:这个问题是投资的“世纪之问”。(我们)先说基本结论,哪一个投资人不问这个问题,我觉得这个投资人就走向成功的道路了。
主持人:我们今天主要是围绕投资实战的问题,投资实战10大关键问题来进行一个探讨和交流。第一个问题,这也是世界上(被)问得最多、也是最重要的投资界的“世纪问题”:现在股票到底要怎么办?“怎么办”的问题,您是怎么思考的?
钟兆民:从业20多年了,同行聚会和投资者见面,问得最多的就是“怎么办”这个问题是投资的“世纪之问”。先说基本结论,哪一个投资人不问这个问题了,就走向成功的道路了。
但大部分投资人真的不知道,甚至很多的上市公司董事长、控股股东都不知道自己公司值多少钱。理论上一个公司值多少钱取决于你的内在价值的判断。你真知道值多少钱了,大盘短期的涨跌根本不影响一个好企业的长期价值。
所以天天问行情,其实短期行情是随机的,猜不到的,长期我们当然对中国的前景是看好的。所以这个问题理论上是无解的。短期是随机的,长期是可分析的。
问题2:怎么在大白马上赚钱?
提要:不要天天想着抓“黑马”,投资走向成熟的标志之一是在白马上赚钱。因为白马就摆在那里,即便你以合理价格买入,并记住“耐心是投资的美德”这句话,伴随时间的推移,你一定能赚到钱的。
主持人:第二个问题就是钱的问题,为什么那么多投资者根本就赚不到钱?不仅仅是大多数投资者赚不到钱,在大白马上他也赚不到钱?这两个问题您是怎么来分析的。
钟兆民:我从业20多年,投资有一点像我们中学数学,老师教你“二元一次方程”,你懂原理了,但马上考你50个应用题,你不见得能答满分。假如你去不断的练习、刷题,做了很多练习(家庭作业),再回来考,就会提高了。所以大部分投资人,我接触过很多投资人,加起来五万、十万投资人,他怎么赚钱的,到底赚什么钱,要想明白。
做量化有量化的原理,做价值投资的有价值投资原理。假如企业利润不增长,你买得足够便宜,它分红给你,作为股东也是能赚到钱的。假如是买成长型的股票,你买的估值略高一点,因为它利润在增长,价值迟早会反应(到)价格。真正做价值投资的,我奉劝投资人,一定一定要理解“现金流折现”价值投资的这个根本的原理。然后你再去不同行业里应用,比如在消费品行业应用,在医药行业应用,在化工行业应用。原理不懂(的话),你是糊里糊涂赚的钱,也会糊里糊涂地亏掉。
我再补充一点,就是对一般投资人,甚至大部分投资者,先要在白马上赚到钱。因为谁都想(抓)黑马,但是白马是摆在那里的,信息很透明,治理很规范,这样的股票你赚不到钱,甚至赚不到大钱的话,你一定是在方法和逻辑上要去完善的。比如说你合理的价格买白马,(收益)肯定没来得那么快,但你持股时间足够长,这个公司一直在发展。比如说公司治理结构很好,战略很好,经营管理层很努力,利润还在增长,那随着时间的推移(你)一定是能赚到钱的。
所以虽然说“耐心是投资的美德”,实际上耐心的后面,你要彻底理解这个(投资)原理。我们说过一句话,为什么年轻的妈妈怀孕以后,为什么耐心等十个月才生小孩呢?这是生理规律。她为什么不急功近利让小孩早一点出生呢?也不想小孩晚点出生呢?
短期是随机的,长期是有规律的,一定要理解投资的规律,那么你的财富随着时间的推移一定是在增长了。
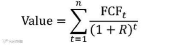
问题3:现金流折现是咋回事?
提要:现金流折现原理理解起来不难,本质上是追求模糊的正确。同样的原理,应用在不同的市场可能会有完全相反的结果。要在自己熟悉的市场,使用这个方法。
主持人:这也涉及到我们第三个核心问题,现金流折现这个问题。
钟兆民:比如说我和你有一个餐厅,(假设准备在)经营5年以后把它卖掉,这五年每年分得的利润,先不考虑税收问题,每年赚的利润分给我们,今年的利润是今年的利润,明年的利润(算在今天的话)就要除以折现率。因为同样100万,我存银行都有一个利息,明年的利润除以一个风险收益率,比如(使用)长期国债利率,当作参考指标。我买长期国债至少有几个点的收益嘛。(假设我们计划)5年后把这个餐厅卖掉,比如(预计能)卖1000万,(那么这个餐厅在今天值多少钱?)把(每年利润和预计卖出价格)都折现回来(到现在)加总。(1+折现率的五次方)这个方法非常简单,而且是通用的,全球通用的一个算(企业)价值的原理。
原理很简单,难在哪里呢?因为企业未来的增长是有很多影响因素的,比如中美贸易摩擦了,外部经济有变化了,国家宏观经济有变化了,企业面对内部变化和外部的变化等,未来增长的确定性你越了解就越接近一个模糊的正确。折现率就取决于你认为这个公司,假如认为风险大折现率就(高一些),折现率就是现金流的风险函数。
所以这个原理是全球通用的,关键在应用。比如安东尼·波顿(Anthony Bolton),号称“欧洲的巴菲特之一”来香港做投资,为什么做不好呢?因为他对(香港)的经济他不了解。价值投资的原理他肯定是懂,但这个市场不懂。所以说,我们在本土市场做投资有我们的优势,就是比较熟悉。
主持人:但这个折现率的问题,比如您刚才说道,如果我们用未来5年的国债收益率做对比(参照),但我们的国债收益率也是变动的,5年期国债在调低,那么我们的风险函数或者说那个r(折现率)是不是也自动下调一些?
钟兆民:对,折现率和利率是挂钩的,这个公式里主要三个参数变化比较大,就是(公司)近几年的增长,假设未来永续地增长,这两个都在分母上面,分子下面是折现率。折现率低一点也能接受。
主持人:您对传统的龙头(如有历史、已经存在20年了)和上市刚过解禁期的不同公司,是怎么评估的?
钟兆民:我觉得这样的(分析)教科书上比较多,我建议大家百度一下,能百度到。我们就不要纠缠公式了,它难不是难在原理,是难在应用。类似一把枪,我们没打过枪的射击就不准,如果我们天天练射击准确率就很高。所以对这个行业很了解,使用的参数就比较接近真实的情况。
主持人:先走进去,了解行业,了解企业。
钟兆民:对,边做边优化。难在应用,不是难在原理。
注:本视频采访是在2019年12月19日完成,故未对疫情等因素进行涉及展开。
钟兆民
东方马拉松·投资总监
东方马拉松投资管理公司创始人,是中国本土价值投资领域较早的探索者之一。南京大学本科、硕士研究生,南京大学-约翰斯.霍普金斯大学中美研究中心毕业,文理双修,拥有多年实业生产销售和研发等全面管理经验。
1993年步入资本市场,任中国保利期货有限公司研究部经理、常务副总经理,因缘际会师从国际期货大师斯坦利.克罗(Stanley Kroll),并将克罗先生的思想引入中国;1996年任君安证券营业部总经理 ,带领业务团队创造出全国第一名的业绩;1998年任光大证券南方总部资管部、平安证券资管部总经理,开创国内规范化资管业务的先河;缘起平安证券工作期间见证了平安保险集团保费管理过程,2005年作为中国第一人参加巴菲特股东大会以来,带领团队连续六次赴奥马哈朝圣,坚持将理论与本土实践相结合,历经风雨,不改初心。
免责声明:本文所刊载内容仅供参考,不作为预测、研究、宣传材料或投资建议。本文所采用的第三方数据、信息、资料等内容来自本公众号认为可靠的来源,但本公众号并不保证和承诺这些数据、信息、资料等内容的原创性、真实性、准确性、时效性和完整性,亦不会为其承担任何责任。市场有风险,投资需谨慎。读者不应单纯依靠本资料的信息而取代自身的独立判断,应自主作出投资决策并自行承担投资风险。本公众号所刊载内容可能包含某些前瞻性陈述,前瞻性陈述具有一定不确定性。本公众号声明,无论是否出现最新信息、未来事件或其它情况,本公众号均无义务对任何前瞻性陈述进行更新或修改。
东方马拉松公司简介
东方马拉松投资管理核心团队组建于2004年,是中国本土价值投资领域较早的探索者和实践者。
东方马拉松投资管理旗下拥有香港和深圳两家公司, 分别管理境外和境内资产。在香港、深圳、上海三个核心城市设立办公地点,有利于扩大和覆盖研究范围。我们重视提升公司“制度之先进性”与“组织之开放性”,并视之为我们持续成功的重要保障。
公司在有限责任公司的法律形式下,采用合伙制经营模式,吸引了一批志同道合并高度互补的精英人才,经过十余年的发展,形成了一套相对完整、成熟的价值投资体系,团队对行业有深刻的理解,擅长全产业链深度研究和投资管理。

