此前,我们发布了《2022年第四季度全球资产配置报告》,向大家介绍了景顺对第四季度趋势走向的看法。
点击上方图片查看原文
今天,我们将继续探讨从中获得的启发——在市场变幻莫测、剧烈波动之时,身处经济周期之中的我们,应何去何从?应当保持怎样的态度?又应当采取怎样的行动?
点击下方视频号
90秒获得关于Q4资产配置的景顺观点
观
点
速
览
1
因为预期变得更加现实,经济结果现在似乎更符合预期。但从金融市场的角度来看,这是令人鼓舞的。
2
我们对通胀的路径则更加乐观,认为经济减速将有助于实现央行渴望的较低通胀率。
3
在新兴市场中,中国股市看起来很有吸引力(在我们看来)。
针对目前的资产类别表现,
我们有哪些周期性观点?
考虑到长期前景,我们现在将缩短时间范围并引入周期性因素。图1总结了景顺投资解决方案团队Alessio de Longis开发的商业周期框架。毫不奇怪,股票和高收益企业债券等周期性资产往往在经济周期的早期阶段表现更好,而更具防御性的资产(政府债券和投资级企业债券)在收缩阶段表现更好。
图1:经济周期中美国资产的历史超额回报
今年年初,我们预计全球经济将减速,处于 Alessio框架中的放缓阶段,通常与资产回报的趋同有关。不幸的是,这种趋同在2022年一直处于不利地位。
像往常一样,我们也强调估值的重要性。例如,尽管政府债券收益率上升了,但高收益企业债券收益率上升得更多,这可能意味着高收益企业债券债券已经消化了很多负面消息。
同样,我们需要小心,不要回避其他周期性资产,如股票和房地产(或地区),它们已经在衰退中定价。资产配置模型是对这些周期性因素和估值因素的平衡评估。
我们处在经济周期的什么阶段?
图2显示了景顺投资解决方案(Invesco Investment Solutions)的两个专有指标,旨在帮助确定我们在经济和市场周期中所处的位置。
图2:经济周期中美国资产的历史超额回报
全球领先经济指标(LEI,Leading Economic Indicator)表明全球增长低于历史标准,而全球风险偏好周期指标(GRACI)表明风险偏好正在恶化。因此得出结论,我们正处于收缩状态。
好消息是,经济结果现在似乎更符合预期。当然,这可能是因为预期变得更加现实,但从金融市场的角度来看,这是令人鼓舞的。
然而,我们也看到了各地区的差异,欧元区和美国的势头似乎都在改善。这并不意味着西方经济已经停止疲软,只是经济学家已经适应了这一现实。现在的问题是,更糟糕的情况(就经济表现而言)是否已经过去,或者这个周期是否仍在恶化。
根据图3中的证据,全球货币增长虽然低于2020年,但今年仍有所改善。在美联储和其他西方央行实施紧缩政策的背景下,这可能看起来很奇怪(下图可以看出美国的货币供应增长是如何急速下降的),虽然图3显示中国的M2增长已经回升,但由于中国货币增长并不会大规模流入世界其他地区,因此很难解释全球货币供应增长的上升。然而,中国并不孤单,例如加拿大、墨西哥和南非,今年的货币总量也在加速增长。
图3:全球货币供应增长
关于实际支出活动,图4表明全球汽车销售出现了反弹。同样,考虑到实际支出能力的紧缩,这似乎很奇怪,但可能反映出随着供应链堵塞的缓解,被压抑的需求的得到释放。
图4:全球汽车销售(百万)和汽车股票的市值
然而,欧洲和美国的实际收入受到挤压,这表明许多家庭和企业的日子不好过。图5显示,美国实际个人可支配收入目前低于长期趋势(受到与新冠相关的政府支持推动)。由于现在储蓄缓冲大幅减少,金融市场动荡损害了财富,我们预计美国消费者支出将在2022年下半年减速。这可能会延长美国已经出现的技术性衰退(2022年前两个季度的 GDP都在下降)。
图5:美国实际个人可支配收入低于趋势
美国经济中遭受损失的部门之一是住房。图6显示,新屋销售在新冠衰退的早期阶段曾短暂下降,但在2020年8月反弹至周期性高点。此后呈下降趋势,7月处于2016年1月以来的最低水平。除了实际收入的下降,我们怀疑抵押贷款利率的上升对房屋销售产生了抑制作用(例如,自2020年底以来,房地美30年期固定利率抵押贷款利率翻了一番,达到5%以上)。所以,销售下降现在正在影响房屋建设,房屋开工量在2022年4月达到顶峰。
图6:美国经济衰退和房地产市场活动(每千次每年)
令人惊讶的是,在NBER确定自1959年以来的每次衰退之前,房地产市场都在萎缩(诚然,在某些情况下滞后多年)。更重要的是,在房地产大规模衰退期间(1960年代中期)只有一次没有出现衰退。我们认为,这段历史至少应该作为一个警告,即美国经济衰退就算不是必然的,是有可能性的。
我们对通胀的路径则更加乐观,认为经济减速将有助于实现央行渴望的较低通胀率(尽管最近的数据正在测试我们的乐观情绪)。
图7表明美国工资增长可能已经见顶,在这种情况下,我们可以希望核心通胀现在处于下行轨道。有趣的是,尽管就业增长稳健,但美国8月失业率上升(从3.5%至3.7%)。去年较高的工资增长现在可能正在吸引灰心的工人重返劳动力市场,这种现象可能会加剧工资增长的缓和。我们怀疑美国在这方面可能领先于欧洲,例如,最近来自英国的证据表明工资可能仍在加速增长(截至7月)。
图7:美国的失业率和工资增长
我们如何看待市场周期?
图8显示了欧元区工业生产增长与利润增长之间的明显关系(我们注意到其他地区也存在类似关系)。鉴于这种关系的滞后(我们通常发现为6-9个月),我们预计每股收益 (EPS) 增长将趋于零,如果发生经济衰退甚至会变为负数(正如我们在欧元区所预期的那样)。事实上,对每股收益水平的观察显示所有地区都趋于平缓,我们预计股息增长只会很小。如果没有股息增长,股票市场将需要依靠多重扩张来产生资本回报(今年到目前为止,倍数一直在收缩)。
图8:欧元区工业生产和利润增长
历史表明,是否存在衰退对股市的未来走向至关重要。图9总结了自1957年以来标准普尔500指数熊市的历史,并根据它们是否与衰退有关对其进行分类。看来,一旦达到熊市区域,股市就会反弹。当没有衰退时,市场会继续走高,但当出现衰退时,它往往会再次波动,也许会达到新低。美国股市目前的走势在这两类之间波动。
图9:标准普尔500指数自1957年以来的熊市(=100-日达到20%)
图10表明工业生产增长与高收益利差之间存在逆周期关系。我们已经注意到,高收益信贷的收益率比其他资产类别的收益率上升幅度更大,下图表明美国高收益利差可能已经预测到比目前看到的更大的经济放缓。然而,我们预计大多数经济体将进一步减速,并且看到这些利差进一步扩大也不会感到惊讶(这同样适用于投资级信贷)。与此同时,我们预计经济放缓将压低长期政府收益率,因此信贷工具收益率的上升幅度可能低于仅考虑利差所暗示的水平。
图10:美国工业生产和高收益分布
我们认为现在的估值更具吸引力,
但这就足够了吗?
好消息是,收益率上升(以及伴随的负面表现)为大多数资产提供了更好的长期起点。
图11从历史角度分析了这些全球收益率。可以看出,一些资产的收益率接近历史正常水平,但没有一种资产的收益率高到足以仅从估值角度鼓励乐观情绪。唯一的例外是新兴市场,特别是房地产(REITs),其收益率为5.7%。
图11:历史范围内的全球资产类别收益率(%)
当谈到2022年全球股市的下跌时,图12表明这完全是由于债券收益率上升对估值倍数 (P/E) 的影响,而不是对收益下降的反应(实际上是全球每股收益2022年略有增加)。因此,我们得出结论,市场尚未消化收益下降的可能性,并担心经济衰退将导致股市进一步下跌(我们也使用前瞻性每股收益估计进行了同样的研究,结果大致相同)。
图12:分解的全球股本资本回报率与债券收益率YTD
图8清楚地表明了经济和盈利增长之间的联系,我们不会对看到股市测试6月中旬的低点感到惊讶,尽管长期债券收益率下降可能会提供一些支撑。因此,股票市场中更具周期性的部分可能受到的影响最大。
在新兴市场中,中国股市看起来很有吸引力(在我们看来),我们认为由于政策支持,这提供了提升的可能性。
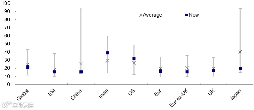
跨地区比较的话,图13表明在美国以外(印度除外)可以找到最便宜的股票估值。在新兴市场中,中国股市看起来很有吸引力(在我们看来),我们认为由于政策支持,这提供了提升的可能性。欧洲和日本的估值也相对有吸引力,这两个国家现在都在从强势美元中获得竞争优势(我们认为日本的经济风险较低,因为通胀较低且对俄罗斯的能源依赖较少)。
图13:股票市场资本支出的历史范围
更多内容及图片相关注释
可见完整《2022 Q4资产配置报告》中所示
您可以留下邮件信息
我们将向您发送
扫描下方二维码,关注“景顺投资”
景顺专注投资管理业务,运用丰富知识资本、环球业务优势和稳健营运管理,致力于协助投资者实现长期财务目标。
本文仅供参考,不构成在授权任何人在任何司法管辖区内的分销、买卖或招揽买卖任何证券或金融产品,也不导向出版或提供景顺上海的微信页面被禁止的司法管辖区内(由于该人的国籍,居住地或其他方式)的任何人。本文所载的信息可能会因应市场动态而改变,景顺不承担更新任何前瞻性声明的义务。实际事件亦可能与假设有所不同。本账号的内容版权归景顺所有,除非另有说明。版权所有。投资涉及风险。景顺或其附属公司或景顺或其附属公司的任何董事或雇员不对任何人依赖此类信息而造成的任何损害或损失(无论是侵权行为或合同或其他方式)承担责任,也不对任何错误或遗漏(包括但不限于第三方来源的错误或遗漏)承担责任。

