一、概述
二、归纳
Ⅰ、外力和内力

Ⅱ、应力


Ⅲ、变形和刚度条件


Ⅳ、截面的几何性质


Ⅴ、材料的力学性能
② 材料的疲劳极限σr和构件的疲劳极限(σr)
试验表明,材料的疲劳极限与构件的疲劳极限不同。前者仅与材料有关,后者不仅与材料有关,而且与构件的外形、横截面积以及表面状况等因素有关。
在交变应力作用下,材料或构件产生可见裂纹或突然断裂的线性称为疲劳破坏。材料和构件抵抗疲劳破坏的能力分别用材料的疲劳极限σr和构件的疲劳极限(σr)表示。
同等材料下,影响构件疲劳极限的主要因素有:构件外形(应力集中问题)、截面尺寸大小以及表面加工质量等;
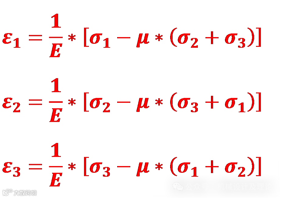
③ 应力、应变关系
在比例极限内,应力与应变之间存在如下关系:
单向应力状态如图5(a):σ=E×ε
纯剪应力状态如图5(b):τ=G×γ
三向应力状态如图5(c):


Ⅵ、应力状态理论
①、斜截面的应力



②、三向应力状态的最大应力


Ⅶ、强度理论与强度条件
材料破坏主要有两种形式(塑性和脆性),相应存在两类强度理论。目前常用的强度理论如表3所示。
从强度理论可以更好地理解三种基本变形的强度条件(表4)。


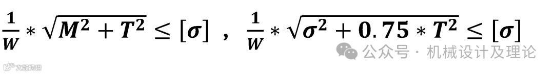
Ⅷ、组合变形
在线弹性范围且小变形的情况下,一般采用先分解后综合的办法解决。对于弯拉(压)组合(包括偏心拉(压)),危险点处于单向应力状态,相应的强度条件为:

对于双对称截面梁的非对称弯曲,危险点仍处于单向应力状态。对于有菱角的截面,相应的强度条件为:

如果采用内力表达,则上述条件分别可改写成:

式中:

Ⅸ、静不定问题
静不定问题的特点是存在多余约束。求解的关键是建立变形协调方程。
一般步骤是:
1、判断静不定度;
2、建立变形协调条件(用变形表示的方程);
3、利用物理关系、将上述条件用力或力偶表示,即补充方程;
4、解出多余未知力;
于是,外力均为已知,可按静定问题处理了。
Ⅹ、压杆稳定
研究压杆稳定问题要抓住 压杆处于微弯曲平衡状态(临界状态)这一特点。由此建立临界载荷的计算公式(欧拉公式)为:




