关于电线电缆的载流情况,一直都是电力人员讨论的对象,虽然我们是做弱电的,但是在项目中时常也遇到关于供电电缆的载流计算,本期我们来做个总结,详细了解关于各种常用电缆载流量。
一、BVVB型、BLVVB型、RVVB型电线载流量

二、通用橡套软电缆的载流量
通用橡套软电缆的载流量见表

三、
1KV聚氯
乙烯绝缘电力电缆的载流量
1KV聚氯乙烯绝缘电力电缆的载流量
VV22、VLV22型聚氯乙烯绝缘钢带铠装聚氯乙烯护套电力电缆载流量。
载流量计算条件
1.线芯长期工作温度:70°;
2. 环境温度:25° ;
3. 埋地深度:1000mm;
4. 土壤热阻系数:1.0m.°C/W;
5. 线芯轴间距离:S=2D



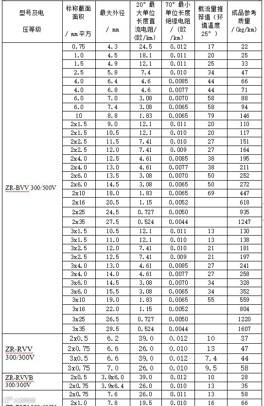
四、防火电缆载流量
一、R系列阻燃电线电缆的载流量见表




300/500V,300(V)是指电缆能长时间承受的供电电源的上限电压,500V是指电缆能短时间承受的供电电源的电压,保证短时间内不会破坏电缆的绝缘。https://www.dgdqw.com此规格适用于单相电压下的电缆。
二、交联聚氯乙烯绝缘电力电缆的载流量见表与短路电流见表
1、交联聚氯乙烯绝缘阻燃电力电缆的载流量
载流量计算条件
A、环境温度:25°C;
B、土壤热阻系数;P=1.0°C、m/W;
C、埋地敷设深度:1000mm;
D、导体温度:导体长期运行温度为90°C;
E、电缆敷设轴间中心距 S=2D




二、 高压交联聚氯乙烯绝缘阻燃电力电缆的载流量



三、交联电缆导体短路电流(短路时间为1S)
所有截流量单位为:A
免责声明:本文来自网络,版权归原作者所有,如涉及版权问题,请及时与我们联系删除,谢谢



