关于聚乙烯柔性复合管收卷底径的问题
一、聚乙烯柔性复合管收卷底径的决定因素
二、收卷底径的计算方式
1.基于内径的经验公式(常用且被行业标准引用)
2.基于外径的标准公式(SY/T 6656‑2006)
该公式直接给出外径对应的最小卷筒内径,适用于不便先算内径的快速估算。
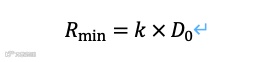
3.最小弯曲半径校核
l采用《PE管手册》中的表格或公式:
其中系数 与壁厚、SDR 相关(典型取值 10–15)。
三、通过技术手段降低收卷底径的可行方案
综合降底径路径建议:
1.材料层面:选用高模量玻纤/碳纤维增强层,并适当增厚壁厚(保持外径不变)。
2.工艺层面:在卷筒前加入加热软化段,配合精准张力闭环控制。
3.设备层面:使用可变径卷筒,使卷筒内径接近理论最小值。
4.特殊需求:若仍需进一步压缩,可考虑局部球形旋压或可拆卸支撑芯的方式。
通过上述组合,可在不改变管道外径的前提下,将收卷底径显著降低,既满足运输、现场存放的空间要求,又保持管道的结构完整性和输送性能。
关注我们,了解更多管道知识
📞 联系电话:0517-87229188 / 17761847726
📍 公司地址:江苏省淮安市洪泽区东双沟镇仁东路1号
📧 邮箱:jslgzxsh@163.com
🌐 官网:http://www.lgzxkj.com/
欢迎关注我们的微信公众号,获取更多产品资讯与技术支持!

