点击蓝色字体关注我们吧
导航卫星时频系统发展综述
贺玉玲,何克亮,王国永,杜二旺,杜丽军,许 风,孙云峰
(中国空间技术研究院西安分院,西安 710100)
摘 要:全球各大卫星导航系统近年来发展迅速,性能持续提升,其中卫星时频系统的高性能、稳定可靠和保持星间时频同步是系统实现高精度测量的基础。介绍了目前应用于各卫星导航系统的铷钟、氢钟、铯钟等星载原子钟和时频生成与保持技术的特点、发展概况及在轨应用情况。面向精度提升和自主运行能力提升的需求,分析了可能应用于下一代导航卫星的星载原子钟技术、星上时频生成与保持单元性能提升方法以及星间高精度激光时频同步技术,以支撑未来时频基准的天基化和我国综合PNT体系的建设。
关键词:导航卫星;时频系统;星载原子钟;时频生成与保持;星间时频同步
0 引言
卫星导航系统可以为海陆空甚至近地空间的用户提供全天时、全天候的三维位置、速度和时间信息,已成为重要的空间信息基础设施,融入国民经济、社会发展和国防建设的各个领域。进入21世纪以来,全球卫星导航系统(Global Navigation Satellite Sys-tem,GNSS)迅速发展,美国的全球定位系统(Global Positioning System,GPS)、俄罗斯的GLONASS系统、欧盟的Galileo系统和中国的北斗卫星导航系统不断建设完善且性能持续提升。我国北斗卫星导航系统按照先区域后全球、先有源后无源的建设思路,实施“三步走”发展战略。2020年7月31日,北斗三号全球卫星导航系统正式开通,目前在轨服务卫星共计45颗,可提供导航定位和通信数传两大类、七种服务,2035年前还将建成更加泛在、更加融合、更加智能的国家综合定位导航授时(Positioning, Naviga-tion, and Timing,PNT)体系[1]。
卫星导航系统采用三球交会的定位体制,在统一的时间、空间基准中,将卫星作为位置已知的空间节点播发导航信号,用户通过接收导航信号获取卫星与用户之间的伪距和多普勒频移,实现用户的定位、测速、导航和授时服务。卫星导航系统中,时间的稳定性和时钟的同步是高精度测量的基础。目前,GPS、Galileo、GLONASS以及我国的北斗卫星导航系统均在星上配置了高精度时频系统,通过在每颗卫星配置高性能的星载原子钟和功能丰富的时频生成与保持设备,为卫星导航载荷提供高精度、平稳可靠的时频参考信号。随着卫星导航系统定位精度和自主运行能力的不断提升,对星载时频系统的性能也提出了更高的要求。
本文首先介绍了目前应用于各卫星导航系统中的星载时频关键技术,然后讨论了面向未来精度提升和系统自主运行能力提升需求下星载时频系统关键技术和可能的发展路径。
1 导航卫星时频系统关键技术
导航卫星时频系统由多台原子钟和时频生成与保持单元组成。星载原子钟输出稳定度极高的频率信号,时频生成与保持单元将原子钟的频率转换为卫星载荷需要的频率,常为10.23MHz,并进行原子钟主备份输出信号间的高精度测量和钟差参数精密调整,为导航卫星有效载荷提供性能优良、平稳可靠的基准时间频率信号。
1.1 星载原子钟
时间(频率)是7个基本物理量中计量精度最高的,这得益于原子钟技术的不断发展。原子钟是利用原子在微波、光波段的电子跃迁频率作为基准产生的时间保持系统。原子钟是现代导航卫星的基础,各卫星导航系统均配置了星载原子钟。考虑到原子钟在星载应用中对体积、质量、功耗、可靠性和寿命的要求,以及需要非常好的频率稳定度,目前的星载原子钟仍以铷钟、氢钟和铯钟为主,通常每颗卫星配置3~4台原子钟。
根据系统需求与技术发展基础,各全球卫星导航系统使用了不同种类的星载原子钟。GPS Block ⅡF卫星配置1台铯钟加2台铷钟,GPS Block III卫星改为使用3台增强型铷钟;GLONASS系统第二代卫星GLONASS-M每颗配置3台铯钟,第三代卫星GLONASS-K1每颗配置2台铯钟和2台被动型氢钟;Galileo卫星,除GIOVE-A外,均配置了2台铷钟和2台被动型氢钟;我国北斗二号导航卫星配置均为铷钟,北斗三号导航卫星使用星载铷钟和星载被动型氢钟,地球同步轨道(Geosynchronous Orbit,GEO)和倾斜地球同步轨道(Inclined Geosynchronous Orbit,IGSO)卫星采用2台铷钟和2台氢钟的配置,中地球轨道(Medium Earth Orbit,MEO)卫星配置4台铷钟。区域卫星导航系统,如日本准天顶卫星系统(Quasi-Ze-nith Satellite System,QZSS)和印度区域导航卫星系统(Indian Regional Navigation Satellite System,IRNSS),也在其卫星上配置了星载原子钟,目前均使用铷钟。截至目前,累计有一千余台原子钟在轨运行,其中约50%为星载铷钟,同时被动型氢钟的比例在持续增加。卫星导航系统的不断发展,推进了星载原子钟技术水平不断进步,性能指标快速提升[2]。
1.1.1 星载铷钟
星载铷钟采用被动型铷原子频标方案,以铷原子基态超精细能级跃迁谱线作为鉴频标准锁定晶振的输出频率。铷钟物理部分常为三泡式,即铷灯泡、滤光泡和吸收泡,也可以将滤光泡和吸收泡合二为一,成为集成泡。铷钟物理部分巧妙地利用了自然界中两种同位素85Rb和87Rb有一条非常相近的超精细结构光共振谱线的特性,通过一个85Rb滤光泡吸收掉87Rb铷灯泡发光谱线中波长相近的谱线,使得最终的透射光可以满足87Rb基态超精细能级跃迁谱线所需的抽运光要求,实现吸收泡中87Rb超精细能级布居数反转,此时在吸收泡中施加6.8GHz微波信号,可以激励87Rb基态超精细能级间的共振跃迁。
20世纪70年代,美国第一个将铷钟应用于卫星,至今已有50多年的研制、使用历史。星载铷钟从最初的平均寿命不足1年、性能指标较低[3]到现在应用于GPS Block III卫星上的铷钟10000s稳定度优于2×10-14,36000s稳定度进入10-15量级[4],其研制水平在不断提高。星载铷钟通过特殊的精细设计与普通商用铷钟相比性能有了很大提升,同时具有体积小、质量小、功耗低等优点,经特殊设计后整机温度系数很低、抗辐射能力强,可以适应导航卫星的要求。西安空间无线电技术研究所、中国科学院精密测量科学与技术创新研究院、北京无线电计量测试技术研究所、兰州空间技术物理研究所和成都天奥电子股份有限公司等国内多个单位开展了星载铷钟及其相关技术的研发,星载铷钟成功应用于北斗二号和北斗三号卫星[5-9]。基于星地双向时频比对的在轨钟性能评估表明,北斗导航卫星星载铷钟稳定度可进入10-15/d量级[10]。
1.1.2 星载氢钟
氢钟采用氢原子基态F=1,mF=0到F=0,mF=0之间的σ跃迁作为钟跃迁,其跃迁频率为1.42GHz。通过不断优化制造工艺、延长氢原子与辐射场相互作用时间、降低共振谱线线宽,氢钟获得了极高的频率稳定度和极低的漂移率。根据不同的技术方案,氢钟分为主动型氢钟(也称为氢激射器频标、氢脉泽频标)和被动型氢钟。主动型氢钟广泛应用于世界各地的守时实验室,例如在美国海军天文台(United States Naval Observatory,USNO)、德国联邦物理技术研究院(Physikalisch-Te-chnische Bundesanstalt,PTB)、我国国家授时中心和计量科学研究院等研究机构均配置了几台至几十台主动型氢钟,参与国际原子时(International Atomic Time,TAI)的归算[11]。利用星载氢钟开展空间科学研究,始于1976年开展的GP-A(Gravity Probe A)试验,通过发射一个装载主动型氢钟的火箭探测器,垂直上升到1.02×104km的高度,进行引力红移测量,以在更高精度上验证广义相对论[12]。欧洲空间局(European Space Agency,ESA)正在组织的空间原子钟组合(Atomic Clock Ensemble in Space, ACES)项目通过在国际空间站部署2台原子钟,1台激光冷原子铯钟(PHARAO)和1台主动型氢钟,进行星地超高精度时频信号比对测量,以开展一系列基础物理实验研究[13]。中国天宫二号空间站上也将配置主动型氢钟、冷原子铷微波钟和冷原子锶光钟,利用极高稳定度的时间频率开展原子跃迁光频对比、基本物理常数精密测量和引力红移测量的相对论验证等基础物理研究和应用[14]。
主动型氢钟需要TE011模式的高Q(品质因子)腔,以实现自主原子跃迁,体积、质量较大,难以适应以导航卫星为代表的大部分卫星平台;通过减小腔的尺寸,可以显著降低氢钟的体积和质量,但小型金属腔的品质因数不足以满足脉泽振荡,需要在探测信号的激励下才能发生原子跃迁,氢钟工作在被动模式下,称为被动型氢钟[15]。Galileo卫星和北斗导航卫星上均配置了被动型星载氢钟。
被动型星载氢钟的典型频率稳定度和漂移率分别可达5×10-15/d和1×10-15/d,使其守时误差可优于1ns/d[16-17],从而使导航卫星具备极好的天尺度守时能力。星载氢钟的小型化、轻量化设计极大扩展了其空间应用领域,瑞士研制的小型化氢钟质量仅为12kg[18];中国科学院上海天文台也研制了质量为13.5kg的小型化被动型氢钟[19];俄罗斯的Vremya-Ch公司[20]和北京无线电计量测试研究所也正在开展星载小型化氢钟的研制。
1.1.3 星载铯钟
根据1967年第13届国际计量大会通过的秒定义和1977年国际计量局时间频率咨询委员会(Consultative Committee for Time and Frequency,CCTF)增加的秒定义约束条件,原子时1s是指以位于平均海平面上的绝对零度133Cs原子基态2个超精细能级间在零磁场中跃迁辐射的9192631770个周期所持续的时间。磁选态铯钟使用磁偏转的方式完成量子态的选择,光抽运铯钟使用特定频率和偏振的激光使原子积聚在基态某个塞曼子能级上完成量子态制备;铯原子在真空腔中形成一束铯原子流,自由飞行,与馈入的微波场发生相干作用,并利用Ramsey分离振荡场技术获得更窄的共振谱线中心线宽。世界上许多计量实验室,如德国PTB和中国计量科学研究院,曾使用大型铯束频标作为频率基准[21],当前使用性能优异的铯喷泉钟作为频率基准。通过小型化设计,小型密封铯束频标在世界各地的守时试验室广泛使用。在进一步提高其可靠性和寿命后,小铯钟也已用于星载,GPS和GLONASS卫星均使用了磁选态小铯钟,GPS Block IIF使用的星载铯钟稳定度达到2×10-11/s、5×10-14/d,质量15kg,寿命10年;GLONASS的铯钟稳定度达到2×10-11/s、1×10-13/d,质量53kg,寿命3~5年[22]。
我国从20世纪60年代开始磁选态铯钟的研制工作,主要研制单位包括北京大学、兰州空间技术物理研究所、北京真空电子技术研究所和北京无线电计量测试研究所等单位[23-26]。寿命问题一直是国内磁选态铯原子钟的短板,目前影响国内铯束管寿命的主要问题是电子倍增器,倍增器增益会随工作时间的延续而下降,其增益衰减的快慢在很大程度上影响了铯束管的寿命。北京大学创新性地采用存储泡与光检测方案代替磁选态原子检测,无需采用电子倍增器,因而规避了电子倍增器寿命问题[23]。兰州空间技术物理研究所通过对电子倍增器采用二次敏化技术,提高了铯束管寿命[27]。2016年,兰州空间技术物理研究所启动了星载磁选态铯钟的研制工作,研制出我国首台星载磁选态铯钟,于2019年搭载北斗三号卫星发射升空,在轨频率稳定度达到4.9×10-14/105s[28]。
1.2 时频生成与保持技术
时频生成与保持单元以星载原子钟信号为参考,采用低噪声频率综合技术生成导航卫星所需时频基准信号;通过高精度相位测量技术实现时频基准信号相位、频率、频率漂移率的精密控制和自主故障检测;完成时频基准信号的生成分发、维持传递、时间备份与精密恢复。目前已建成运行的各大卫星导航系统在星上均配置了时频生成与保持单元。GPS Block IIR卫星的时间保持单元(Time Keeping System,TKS)频率调整精度为1μHz,相位差测量精度为1.67ns,频率漂移率调整精度为2×10-14/d[29]。Galileo卫星的时钟监控单元(Clock Monitoring and Control Units,CMCU)频率调整精度为0.056μHz,相位差测量精度达到3ps[30]。GLONASS卫星配置了星载时频标准(Spaceborne Time Frequency Standard,STFS),以完成星上时频信号的管理[31]。
导航卫星时频生成与保持单元的原理框图如图1[32]所示。通过选择开关从多台原子钟中选择两路原子钟信号,并利用低噪声频率综合技术生成两路10.23MHz时频基准信号,其中一路为主钟,另一路为热备钟。通过在自主故障检测与恢复模块内进行高精度相位测量得到两路信号的相位差,作为遥测信息下发到地面以对卫星钟进行监测,同时可根据该相位差对热备钟进行精密调控,以实现工作钟异常时两路信号间的平稳切换,确保卫星时频基准信号的连续可用。两路时频基准信号通过开关选择其中一路输出,锁定压控高稳晶振,最终获得低噪声、高稳定、连续可靠的10.23MHz卫星钟信号。其中,低损传递技术用于确保能够传递星载原子钟极高的频率稳定度性能;高精度相位计是进行精密时频信号调控的基础;频率漂移率补偿以及平稳切换对于卫星钟运行过程中保持连续可用性非常重要。卫星钟时间与地面系统时间的钟差主要通过星地双向微波时间传递链路进行测量,当星地钟差偏移达到一定值时,时频生成与保持单元需要调整卫星钟时间。

图1 导航卫星时频生成与保持单元原理框图
Fig.1 Schematic diagram of time-frequency generating and keeping unit of navigation satellite
2 星载时频技术发展展望
美国一方面在持续推进GPS现代化,加速GPS III卫星的部署,另一方面正在开展导航技术演示验证项目NTS-3,以验证GPS未来发展所需的有效载荷关键技术[33]。欧洲在稳步推进第一代Galileo系统建设的同时,已启动下一代Galileo系统ADVANTAGE的研发[34]。俄罗斯已于2020年启动了GLONASS系统空间星座的全面更新与升级活动,以提升更有竞争力的全球卫星导航服务[35]。在中高轨卫星导航系统持续发展的同时,近年来基于低轨星座的全球导航增强也成为卫星导航领域的发展热点。美国XONA公司提出了300颗小卫星组成的低轨星座用于加速精密定位快速收敛[36],我国正在发展的北斗综合PNT体系也包括了低轨导航增强系统[37]。面向高性能的导航服务,应用于中高轨导航卫星的时频系统的发展方向是提升长期稳定度性能;面向低轨应用,则需要在性能和体积、质量、功耗以及成本(Size, Weight, Power and Cost,SWaP-C)之间进行折中考虑。卫星导航定位精度从当前的米级被提升至分米级甚至厘米级,可满足自动驾驶、物联网与现代农业等应用需求,是卫星导航系统的重要发展方向之一。分米级、厘米级定位需要将星地/星间的伪距测量精度分别提升至分米级和厘米级,相应地需要将导航卫星的守时精度提升至ns和亚ns水平,以及需要同步地提高星地/星间链路的测量精度。因此,星载时频产品性能的提升是改善卫星导航系统定位精度的重要途径之一。
2.1 星载原子钟性能提升及新技术展望
中高轨导航卫星天尺度ns、亚ns守时精度需要配备稳定度和漂移率均可达10-15/d、10-16/d水平的星载原子钟。对于星载应用,技术成熟度和在轨长期工作的稳定性、可靠性和长寿命是需要考虑的首要因素。星载铷钟和星载氢钟性能指标仍有进一步提升的潜力,在下一代卫星导航系统中仍将是优选产品。伴随激光抽运、激光冷却、射频及光场囚禁、数字伺服、低噪声高稳定度频率合成等新技术、新方法的运用,正在研制出一批有望应用于导航卫星的星载原子钟。
原子的囚禁与操控技术是原子钟的核心技术,决定着原子钟的稳定度、漂移率及准确度指标极限。传统铷、氢、铯及汞离子钟分别采用原子泡(铷和氢)、原子束及射频离子阱技术,且其钟跃迁频率工作在微波段,属于热原子/离子微波钟。通过激光冷却技术实现原子的冷却和囚禁,有助于降低原子钟热噪声从而提高其性能。铯/铷喷泉钟和积分球冷原子钟采用激光冷却技术,且工作于微波段,属于冷原子微波钟。相应地,原子钟按是否采用激光冷却技术和钟跃迁频段处于微波还是光频2个维度进行分类,还包含热原子光钟和冷原子光钟。下一代导航卫星新型星载钟应兼具稳定、可靠和指标提升的要求。
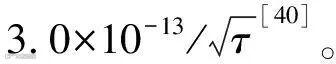
基于离子囚禁、缓冲气体冷却的谱灯抽运Hg+微波钟和主动型氢钟在地面实验室已实现稳定度和漂移率均可达到10-16/d的性能,且Hg+微波钟质量小、结构紧凑、具有良好的星载工程化应用基础[38]。Hg+微波钟是利用202Hg+谱灯发出的谱线抽运199Hg+,经40.5GHz微波相互作用后,以199Hg+的辐射荧光作为鉴频谱线锁定本振。国内外多个实验室开展了Hg+微波钟的研究工作,美国喷气推进实验室(Jet Propulsion Laboratory,JPL)在美国国家航空航天局(National Aeronautics and Space Administration,NASA)的大力支持下,于1989年开发出线形阱Hg+钟[39],经过一系列研发项目推进,实验室环境下频率稳定度能够达到
漂移率达到2.7×10-17/d;从2011年开始,在深空原子钟项目的推动下,JPL开始星载汞离子钟的研发,并于2019年6月发射,通过在轨性能评估表明23天的稳定度达到3×10-15,漂移率达到3×10-16/d,比目前应用的星载原子钟精度提高1个量级以上,有望应用于下一代卫星导航系统[39]。
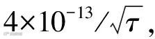
小型化铯/铷喷泉钟和积分球冷原子钟是两种比较成熟的冷原子微波钟方案。如前所述,ESA在ACES项目中发展了较小型的激光冷却铯喷泉钟(PHARAO)[13],其地面测试稳定度指标达到
预计在空间微重力环境下的稳定度指标可达
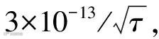
中国科学院上海光学精密机械研究所(上海光机所)研制的铷喷泉冷原子钟已在天宫二号空间实验室完成了搭载实验,评估其稳定度指标可达
相较于小型化铯/铷喷泉钟,积分球冷原子钟具有结构紧凑、质量较小的特点。积分球冷原子钟是一种使用漫反射激光冷却和分离振荡场技术的小型化冷原子钟。该方案是我国王育竹院士于1979年首次提出的,上海光机所于2008年首次在积分球内冷却了铷原子,随后开展了一系列研究工作,目前冷铷原子积分球钟已完成样机研制,短期频率稳定度优于
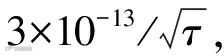
长期频率稳定度优于3×10-15/d[41],且正在开展进一步的性能优化[42-43]。法国天文台也采用积分球冷却技术先后研制了HORACE和MuClock两代紧凑型冷原子微波钟。其中,HORACE采用铯原子作为钟跃迁原子,其短期稳定度达到
预期被应用于下一代Galileo导航系统[44];MuClock采用铷原子作为钟跃迁原子,其短期稳定度可达
且长期稳定度优于1×10-15/d,预期实现商用[45]。
热原子光钟不采用激光冷却技术对原子进行冷却,采用原子束和原子泡等技术,直接将本振激光频率锁定在原子光频跃迁,结构相对于冷原子光钟更为简单。北京真空电子技术研究所和北京大学研制了基于小型密封钙原子束真空管的小型化钙原子束光钟,中短期稳定度可达
美国空军研究实验室(Air Force Research Laboratory,AFRL)自2013年开始进行双光子跃迁的铷原子光钟研究,并将铷原子光钟选为未来GPS星载原子钟的重要技术发展方向。铷原子光钟是以85Rb基态5S1/2与第二激发态5D5/2之间的跃迁为钟跃迁,基于高信噪比调制谱稳频技术,锁定778nm探测激光的频率,是一种结构简洁、环境适应能力强的紧凑型光钟,AFRL已完成双光子跃迁铷原子光钟闭环锁定测试,万秒频率稳定度达到3×10-15。美国国家标准与技术局(National Institute of Standards and Technology,NIST)正在开展铷光钟芯片化研究,未来有望在硅基片上实现秒稳10-13量级的芯片铷光钟[48-50]。
碘分子稳频激光系统的稳频指标高、不需要复杂的真空维持技术、装置可集成化程度高,在星载工程化方面呈现出一定的潜力。2018年,德国航空航天研究中心(Deutsches Zentrum für Luftund Raumfa-hrt,DLR)联合柏林洪堡大学和柏林大学完成了工程化产品的研制,激光系统10ms~0.3s的Allan方差达到
项目的下一代空间碘分子稳频激光系统正在研制,计划于2023年完成在轨飞行验证[51-53]。热原子光钟还可采用多种原子体系,短期稳定度指标多在
之间,但天尺度及以上的长期稳定度还有待突破。
总体上,在下一代导航卫星星载钟配置方面,高性能传统微波钟仍然有望继续得到广泛应用,冷原子微波钟和热原子光钟指标介于传统微波钟与冷原子光钟之间,且其结构相对于冷原子光钟更简单,有望实现推广和应用。冷原子光钟尽管指标更高,稳定度和漂移率可达10-18/d甚至更高水平,但由于结构相对复杂,在一段时间内可能难以实现广泛的星载应用。
2.2 时频生成与保持技术展望
随着更高性能新型原子钟在未来北斗导航卫星上的应用,对于卫星时频系统的要求将进一步提升,未来的基准频率产生与保持单元可采用钟组管理模式,实现不同类型、不同频率特性星载钟性能的最优组合,产生兼具长短稳性能的卫星钟信号,并实现星座时间的生成、维持以及同步功能。
GPS Block IIIA导航卫星拟将单颗卫星上的多台星载钟组成钟组运行模式,以生成性能更优的时频基准信号[54];Galileo导航卫星为了提升CMCU输出信号的性能,计划将CMCU升级为CMCU+,引入钟组思想,即4台星载钟都工作,通过时间尺度算法综合产生时频基准信号[55];下一代北斗导航卫星时频生成与保持单元也需考虑采用钟组管理思想,以进一步提升时频基准信号的频率稳定性、健壮性和连续可用性。
采用钟组管理模式可以对未来导航卫星时频系统中时频基准信号生成与保持技术的发展带来众多优势。首先,在高精度相位测量的基础上,通过时间尺度算法实现多台多种类高性能原子钟的融合,以输出性能最优的时频基准信号;其次,钟组运行过程中,通过不同权重系数的动态调整以优化不同原子钟在钟组输出信号性能表现中所占比重,同时能够快速实现原子钟的加入和移除,并保证不影响时频基准信号的连续可用;最后,采用全数字化设计,通过高精度鉴相技术和时间尺度算法实现时频基准信号的生成与保持功能,能够进一步减少由于器件差异和环境温度等变化对时频基准信号时延稳定性的影响。
2.3 星间高精度时频同步技术展望
当前各导航系统主要通过星地时间比对将卫星钟的时间溯源至地面站,得到卫星钟与地面系统时间的钟差信息,并插入到导航电文中。建立和提高星间时频比对链路有助于提升导航卫星的精密定轨与时间同步精度以及导航系统的自主运行能力,进而维持和提高PNT精度。高精度的微波双向星间链路已被应用于卫星导航系统的星地/星间联合精密定轨与时频比对的实验当中,提高了定轨精度[56-57]。随着卫星导航系统的进一步发展,对星座的自主运行能力和PNT精度提出了更高的要求,这就需要卫星具有更高的时频同步能力。近年来,随着碘分子钟和铷光钟等新型原子钟的持续发展,光学星间链路正成为下一代导航系统的研究热点[58-59],需要持续提升星间链路的时频传递能力,以便能够将原子钟的优异性能在星间进行传递比对,建立高精度天基时空基准。德国宇航中心在Galileo下一代卫星导航系统Kepler项目中计划采用基于光载高速伪码的激光双向时频传递的技术路线,通过超稳激光上搭载的25.55Gchip/s高速伪码实现几十飞秒的时间测量精度[60-62]。
高精度激光时频传递技术需要突破高速时频信号处理技术、高精度温度补偿和零值校准技术;开展超低相噪光生微波技术研究,探索超高精度的时标产生方法;同时,针对在当前精密定轨条件下星地/星间非对称传播时延难以精确修正的问题,研究非对称传播时延修正方法及误差抑制方法,探索低系统约束的高精度空间时频同步模型。
3 结论
过去30年,北斗卫星导航系统经历双星有源、区域无源、全球无源,实现从无到有、特色鲜明、先进易用,跻身世界最有竞争力的GNSS行列。高性能、高稳健、全国产的卫星时频系统为北斗卫星导航系统的全球时空信息服务奠定了基础。GNSS已成为最广泛应用的天基授时系统。目前,GNSS均通过在地面产生、建立系统时间,通过星地、星间测量确定卫星轨道和钟差信息,卫星具备一定的时间保持能力;但如果没有地面站定时上注信息,导航卫星时频系统还难以在周、月及年尺度上具备ns及更高精度的守时能力,从而影响系统定位精度。通过研制新型原子钟、不断提升星载原子钟的性能,建立星间高精度激光时频传递链路,有望在未来实现时频基准的天基化,支撑2035年前建设和完善更加泛在、更加融合、更加智能的国家综合PNT体系。
参考文献
[1] 杨军.北斗卫星导航系统建设与发展[EB/OL].[2020-11-23].http://beidou.gov.cn/zt/dhnh/dishiyi.
Yang Jun.Construction and development of Beidou satellite navigation system[EB/OL].[2020-11-23].http://beidou.gov.cn/zt/dhnh/dishiyi(in Chinese).
[2] Batori E, Almat N, Affolderbach C, et al.GNSS-grade space atomic frequency standards: current status and ongoing developments[J].Advances in Space Research, https://doi.org/10.1016/j.asr.2020.09.012.
[3] Dieter G L.Observations on the reliability of rubidium frequency standards on Block II/IIA GPS satellites[C]//Proceedings of 27th Annual Precise Time and Time Interval(PTTI)Meeting, 1995: 125-134.
[4] Steigenberger P, Thoelert S, Montenbruck O.GPS III Vespucci: results of half a year in orbit[J].Advances in Space Research, 2020, 66(12): 2773-2785.
[5] Xu F, Hu J Y, He K L, et al.The long-term performance and life test of the spaceborne rubidium atomic clock under vacuum on the ground[C]//Proceedings of China Satellite Navigation Conference(CSNC), 2020: 536-543.
[6] Mei G, Zhong D, An S, et al.Main features of space rubidium atomic frequency standard for BeiDou satellites[C]//Proceedings of 30th European Frequency and Time Forum(EFTF).IEEE, 2016: 1-4.
[7] 李煜溪, 成永杰, 杨同敏, 等.一种铷原子频标物理系统设计[C]//2019年全国时间频率学术会议, 2019: 169-171.
Li Yuxi, Cheng Yongjie, Yang Tongmin, et al.A phy-sics package design of rubidium frequency standard[C]//Proceedings of 2019 China Time and Frequency Symposium, 2019: 169-171(in Chinese).
[8] 张金海, 陈溶波, 张玲, 等.提高铷原子频标物理部分稳定度的研究[C]//2015年全国时间频率学术会议, 2015: 89-93.
Zhang Jinhai, Chen Rongbo, Zhang Ling, et al.Research on improving the frequency stability of the physical package for rubidium frequency standard[C]//Proceedings of 2015 China Time and Frequency Symposium, 2015: 89-93(in Chinese).
[9] Yang L, Du R, Cao Y, et al.A high performance Rb atomic clock[C]//Proceedings of 2014 IEEE International Frequency Control Symposium(FCS).IEEE, 2014: 470-474.
[10] Zhao Q, Wang C, Guo J, et al.Precise orbit and clock determination for BeiDou-3 experimental satellites with yaw attitude analysis[J].GPS Solutions, 2018, 22(1): 4.
[11] Time Department, Bureau International des Poids et Mesures.BIPM annual report on time activities, Vollume 10, 2015[EB/OL].http://www.bipm.org/metrology/time-frequency.
[12] Vessot R F C.Gravitation and relativity experiments using atomic clocks[J].Journal de Physique.Colloque, 1981, 42(C8): 359-372.
[13] Laurent P, Massonnet D, Cacciapuoti L, et al.The ACES/PHARAO space mission[J].Comptes Rendus Physique, 2015, 16(5): 540-552.
[14] 中国空间站空间科学实验资源手册[EB/OL].http://www.csu.cas.cn/gb/201905/t20190507_5289852.html.
The scientific experiment resource manual of China Space Station[EB/OL].http://www.csu.cas.cn/gb/201905/t20190507_5289852.html(in Chinese).
[15] 尼古拉·德米朵夫.氢钟开发技术和展望[J].宇航计测技术, 2007(z1): 6-14, 26.
Demidov N A.The development and future of hydrogen maser clock technology[J].Journal of Astronaustic Metrology and Measurement, 2007(z1): 6-14, 26(in Chinese).
[16] 帅涛, 林宝军, 张军, 等.北斗导航卫星氢原子钟性能分析评估[J].中国科学:物理 力学 天文学, 2021, 51(1): 121-130.
Shuai Tao, Lin Baojun, Zhang Jun, et al.Performances of telemetres analysis of BD satellite passive hydrogen maser[J].Scientia Sinica: Physica, Mecha-nica & Astronomica, 2021, 51(1): 121-130(in Chinese).
[17] 王庆华, Fabin D, Pascal R.用于GNSS的SpT星载原子钟及时间系统介绍[J].武汉大学学·信息科学版, 2011, 36(10): 1177-1181.
Wang Qinghua, Fabin D, Pascal R.SpT on board atomic clocks and timing systems in GNSS[J].Geomatics and Information Science of Wuhan University, 2011, 36(10): 1177-1181(in Chinese).
[18] Belloni M, Gioia M, Beretta S, et al.Space mini passive hydrogen maser-a compact passive hydrogen maser for space applications[C]//Proceedings of 2011 Joint Conference of the IEEE International Frequency Control and the European Frequency and Time Forum(FCS).IEEE, 2011: 1-5.
[19] 潘志兵, 谢勇辉, 帅涛, 等.小型化星载被动型氢原子钟研制[J].仪器仪表学报, 2020, 41(3): 105-112.
Pan Zhibing, Xie Yonghui, Shuai Tao, et al.Development of mini space passive hydrogen maser[J].Chinese Journal of Scientific Instrument, 2020, 41(3): 105-112(in Chinese).
[20] Pavlenko A, Pavlenko K.Investigation of space passive hydrogen maser atomic beam formation system life-time[C]//Proceedings of 2014 European Frequency and Time Forum(EFTF).IEEE, 2014: 130-132.
[21] 李明寿.我国铯束频率基准研究的新进展[J].计量学报, 1987, 8(4): 259.
Li Mingshou.Improvement of cesium beam primary frequency standard in NIM[J].Acta Metrological Sinica, 1987, 8(4): 259(in Chinese).
[22] 陈江, 李得天, 王骥, 等.导航铯原子钟的发展现状及趋势[J].国际太空, 2016(4): 20-24.
Chen Jiang, Li Detian, Wang Ji, et al.Development and trend of navigation cesium atomic clock[J].Space International, 2016(4): 20-24(in Chinese).
[23] 刘畅, 王延辉, 刘淑琴, 等.高性能磁选态光检测型铯原子钟研究进展[C]//2019年全国时间频率学术会议, 2019: 72-73.
Liu Chang, Wang Yanhui, Liu Shuqin, et al.Resear-ch progress in cesium beam clocks based on magnetic state selection and optical detection[C]//Proceedings of 2019 China Time and Frequency Symposium, 2019: 72-73(in Chinese).
[24] 陈江, 王骥, 朱宏伟, 等.高性能小型磁选态铯原子钟研制进展[C]//2011全国时间频率学术会议.2011: 78-80.
Chen Jiang, Wang Ji, Zhu Hongwei, et al.Progress in the development of magnetic state selection cesium clock[C]//Proceedings of 2011 China Time and Frequency Symposium, 2011: 78-80(in Chinese).
[25] 陈海军, 肖顺禄, 梁友焕, 等.微波互作用系统对铯原子钟准确度的影响[J].真空电子技术, 2010(2): 51-53.
Chen Haijun, Xiao Shunlu, Liang Youhuan, et al.The effects of microwave interaction system on the accuracy of cesium clock[J].Vacuum Eletronics, 2010(2): 51-53(in Chinese).
[26] 幸小雷, 王超, 黄凯, 等.替代铯钟内电子倍增器技术初探[C]//2011全国时间频率学术会议, 2011: 81-84.
Xing Xiaolei, Wang Chao, Huang Kai, et al.Preliminary study on the technology of replacing the electron multiplier in cesium clock[C]//Proceedings of 2011 China Time and Frequency Symposium, 2011: 81-84(in Chinese).
[27] 成大鹏, 马寅光, 王骥, 等.影响铯束管寿命因素的分析[J].真空与低温, 2015, 21(1): 48-50.
Cheng Dapeng, Ma Yinguang, Wang Ji, et al.Study of the influence factors to CBT’s life-span[J].Vacuum & Cryogenics, 2015, 21(1): 48-50(in Chinese).
[28] Ma P, Xie J, Cui J Z, et al.Analysis of in-orbit data of domestic space-borne cesium atomic clock[C]//Proceedings of China Satellite Navigation Conference(CSNC), 2021: 180-189.
[29] Petzinger J, Reith R, Dass T.Enhancements to the GPS Block IIR timekeeping system[C]//Proceedings of 34th Annual Precise Time and Time Interval(PTTI)Mee-ting, 2002: 89-106.
[30] Felbach D, Heimbuerger D, Herre P, et al.Galileo payload 10.23MHz master clock generation with a clock monitoring and control unit(CMCU)[C]//Proceedings of 2003 IEEE International Frequency Control Symposium and PDA Exhibition Jointly with the 17th European Frequency and Time Forum.IEEE, 2003: 583-586.
[31] Bogdanov P P, Gouzhva Y G, Gevorkyan A G, et al.GLONASS onboard time/frequency standard-architecture and operation[C]//Proceedings of 1994 IEEE International Frequency Control Symposium.IEEE, 1994: 776-781.
[32] 谢军, 王海宏, 李鹏, 等.卫星导航技术[M].北京: 北京理工大学出版社, 2018: 162.
Xie Jun, Wang Haihong, Li Peng, et al.Satellite navigation system and technology[M].Beijing: Beijing Institute of Technology Press, 2018: 162(in Chinese).
[33] Way, way out in front-navigation technology satellite-3: the vanguard for space-based PNT[EB/OL].[2020-07-28].https://insidegnss.com.
[34] Advanced Technologies for Navigation and Geodesy(ADVANTAGE).Project funded by Helmholtz Association’s“Initiative and Networking Fund”[EB/OL].http://www.gfz-potsdam.de/fileadmin/gfz.
[35] 刘春保.2019年国外卫星导航系统发展综述[J].国际太空, 2020(3): 25-29.
Liu Chunbao.Review on the development satellite navigation system abroad in 2019[J].Space International, 2020(3): 25-29(in Chinese).
[36] Reid T, Chan B, Goel A, et al.Satellite navigation for the age of autonomy[C]//Proceedings of 2020 IEEE/ION Position, Location and Navigation Symposium(PLANS).IEEE, 2020: 342-352.
[37] 蒙艳松, 边朗, 王瑛, 等.基于“鸿雁”星座的全球导航增强系统[J].国际太空, 2018(10): 20-27.
Meng Yansong, Bian Lang, Wang Ying, et al.Global navigation augmentation system based on Hongyan sate-llite constellation[J].Space International, 2018(10): 20-27(in Chinese).
[38] Tjoelker R L, Burt E A, Chung S, et al.Mercury atomic frequency standard for space based navigation and timekeeping[C]//Proceedings of 43rd Annual Preciase Time and Time Interval(PTTI)Systems and Applications Meeting, 2011: 293-304.
[39] Burt E A, Prestage J D, Tjoelker R L, et al.Demostration of a trapped-ion atomic clock in space[J].Nature, 2021, 595: 43-47.
[40] Ren W, Li T, Qu Q, et al.Development of a space cold atom clock[J].National Science Review, 2020, 7(12): 1828-1836.
[41] Yu M, Meng Y, Ye M, et al.Development of the integrated integrating sphere cold atom clock[J].Chinese Physics B, 2019, 28(7): 184-187.
[42] Ouyang X, Yang B, Deng J, et al.An effective pumping method for increasing atomic utilization in a compact cold atom clock[J].Chinese Physics B, 2021, 30(8): 083202.
[43] Ouyang X, Yang B, Hu Q, et al.Distortion of Rabi oscillations in a compact cold-atom clock[J].Physical Review A, 2021, 103: 043118.
[44] Esnault F X, Rossetto N, Holleville D, et al.HORACE: a compact cold atom clock for Galileo[J].Advances in Space Research, 2011, 47(5): 854-858.
[45] Pelle B, Desruelle B, Szmuk R, et al.Cold-atom-based commercial microwave clock at the 10-15 level[C]//Proceedings of 2018 IEEE International Frequency Control Symposium(IFCS).IEEE, 2018: 1-5.
[46] Chen H, Liu Z, Xiao S, et al.Experimental study of a miniaturized calcium atomic beam tube for small optical frequency standard[C]//Proceedings of 2017 Joint Conference of the European Frequency and Time Forum and IEEE International Frequency Control Symposium(EFTF/IFCS).IEEE, 2017: 737-739.
[47] Shang H, Zhang X, Zhang S, et al.A small calcium beam optical frequency standard with fully-sealed vacuum tube[C]//Proceedings of 2017 Joint Conference of the European Frequency and Time Forum and IEEE International Frequency Control Symposium(EFTF/IFCS).IEEE, 2017: 740-743.
[48] Erickson C J, Burke J H.Progress towards building optical clocks for land and space at AFRL[C]//Proceedings of 2014 Precise Time and Time Interval(PTTI)Meeting, 2014: 149-153.
[49] Martin K W, Phelps G, Lemke N D, et al.Compact optical atomic clock based on a two-photon transition in Rubidium[J].Physical Review Applied, 2018, 9(1): 014019.
[50] Newman Z L, Maurice V, Drake T E, et al.Architecture for the photonic integration of an optical atomic clock[J].Optica, 2019, 6(5): 680-685.
[51] Thilo S, Klaus D, Kovalchuk E V, et al.Development of a compact optical absolute frequency reference for space with 10-15 instability[J].Applied Optics, 2017, 56(4): 1101.
[52] Schkolnik V, Döringshoff K, Gutsch F B, et al.JOKARUS-design of a compact optical iodine frequency reference for a sounding rocket mission[J].EPJ Quantum Technology, 2017, 4(1): 9.
[53] Döringshoff K, Gutsch F B, Schkolnik V, et al.Iodine frequency reference on a sounding rocket[J].Physical Review Applied, 2019, 11(5): 054068.
[54] Marquis W, Shaw M.Design of the GPS III space vehicle[C]//Proceedings of 24th International Technical Meeting of the Satellite Division of the Institute of Navigation, 2011: 3067-3075.
[55] Krauss P A, Zenzinger A, Fischer S.Robust timing subsystem-generating the next generation timing signal[C]//Proceedings of 27th International Technical Mee-ting of the Satellite Division of the Institute of Naviga-tion, 2014: 3380-3388.
[56] Zhou S, Hu X, Liu L, et al.Status of satellite orbit determination and time synchronization technology for global navigation satellites system[J].Chinese Astronomy and Astrophysics, 2020, 44(1): 105-108.
[57] Pan J, Hu X, Zhou S, et al.Time synchronization of new-generation BDS satellites using inter-satellite link measurements[J].Advance in Space Research, 2018, 61(1): 145-153.
[58] Berceau P, Taylor M, Kahn J, et al.Space-time reference with an optical link[J].Classical and Quantum Gravity, 2016, 33(13): 1-23.
[59] 张中英, 刘涛, 蒙艳松.基于激光高速通信信号的精密测量方法与性能分析[J].空间电子技术, 2019, 16(1): 38-41.
Zhang Zhongying, Liu Tao, Meng Yansong.The precision range method and performance analysis based on the laser high-speed communication signal[J].Space Elec-tronic Technology, 2019, 16(1): 38-41(in Chinese).
[60] Günther C.Kepler-satellite navigation without clocks and ground infrastructure[C]//Proceedings of 31st International Technical Meeting of the Satellite Division of the Institute of Navigation, 2018: 849-856.
[61] Michalak G, Neumayer K H, Koenig R.Precise orbit determination with inter-satellite link and ultra-stable time for a future satellite navigation system[C]//Proceedings of 31st International Technical Meeting of the Satellite Division of the Institute of Navigation, 2018: 968-1001.
[62] Poliak J, Mata-Calvo R, Surof J.Laboratory demonstrator of optical inter-satellite links for the Kepler system[C]//Procedings of 31st International Tech-nical Meeting of the Satellite Division of the Institute of Navigation, 2018: 861-867.
A Survey of Navigation Satellite Time-frequency System
HE Yu-ling, HE Ke-liang, WANG Guo-yong, DU Er-wang, DU Li-jun, XU Feng, SUN Yun-feng
(China Academy of Space Technology(Xi’an), Xi’an 710100, China)
Abstract:The navigation satellite systems have been developing rapidly in recent years and their performance is improved continually.Satellite time-frequency system is the basis to achieve precision measurement of the navigation system because of its high performance, stable and reliable operation and keeping intersatellite synchronization.We present an overview on the current state of the space-borne atomic clock, such as rubidium atomic frequency standard, hydrogen maser, cesium beam frequency standard and the standard frequency generating and keeping technology.To improve the accuracy and autonomous operation capability of navigation satellite system, technologies that may be used on new generation of payloads in the future are analyzed, including new space-borne atomic clock, better standard frequency generating and keeping unit, and high-precision time-frequency synchronization by intersatellite laser link.All of these will support the development of space-based time-frequency reference and the establishment of integrated PNT system in China.
Key words:Navigation satellite; Time-frequency system; Space-borne atomic clock; Frequency generating and keeping; Intersatellite time-frequency synchronization
中图分类号:TN967.1
文献标志码:A
文章编号:2095-8110(2021)05-0061-10
doi:10.19306/j.cnki.2095-8110.2021.05.009
收稿日期:2021-08-02;修订日期:2021-08-17
作者简介:贺玉玲(1976-),女,研究员,主要从事星载时频技术方面的研究。
(编辑:李瑾)
END
利科夫科技——专注于惯性导航领域
长按关注
武汉利科夫科技有限公司
扫描识别二维码
关注我们
企业微信公众号
扫描识别二维码
关注我们
企业微信号
武汉利科夫科技有限公司
24小时服务热线:17800294685
电话:17800294685
传真:027-59722280
邮箱:sales@liocrebif.com
地址:武汉东湖新技术开发区汤逊湖北路38号光谷总部空间3栋204
(以上图文均来自网络,如有侵权请联系我们)

