点击蓝字 关注我们
光学镀膜用于增强光学组件的透射、反射或偏振特性。例如,每个未镀膜玻璃器件表面将会有大约4%的入射光被反射。采用增透膜可将各表面的反射率降低到 0.1% 以下,采用高反射介电膜可将反射率提高到 99.99% 以上。光学镀膜由氧化物、金属或稀土材料等薄层材料组成。光学镀膜的性能取决于层数、厚度和不同层之间的折射率差异。 本应用说明讨论了光学镀膜理论、常见镀膜类型以及镀膜制造方法。
薄膜光学镀膜通常通过沉积介电材料和金属材料(如五氧化二钽(Ta2O5)和/或氧化铝(Al2O3)交替形成的薄层而制成的。
为了最大程度地提高或降低干涉,它们的光学厚度通常为应用中所使用的光的波长的 λ/4 光学厚度 (QWOT) 或 λ/2 光学厚度 (HWOT)。这些薄膜由高折射率和低折射率交替而成,从而诱发需要的干涉效应(图 1)。
图 1: 在三层宽带增透膜 (BBAR) 中,正确选择 λ/4 和 λ/2 厚度的镀膜可带来高透射和低反射损失
光学镀膜的设计是为了提高光学组件在特定入射和偏振角度(如 s 偏振,p 偏振或随机偏振)下的性能。如果镀膜的入射角度或偏振角度与设计时不同,将导致性能显著下降。足够大的入射角和偏振偏差可能导致镀膜功能完全丧失。
光学镀膜理论
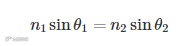
要理解光学镀膜,就必须理解折射和反射的菲涅耳方程。折射是波从一种光学介质传播到另一种介质时传播方向的变化,它受斯涅尔折射定律决定:
其中,n1 是入射媒介的折射率,θ1 是入射光线的角度,n2 是折射/反 射介质的指数,θ2 是折射/反射光线的角度(图 2)。
图 2: 光线从低折射率介质向高折射率介质移动,导致光线向界面法线方向折射
利用斯涅尔定律,可以找到由不同折射率的平面平行表面组成的多层薄膜镀膜任何位置的光线角度。由于斯涅尔定律适用于每个界面,因此薄膜内光线的内角与薄膜顺序或薄膜在堆栈中的位置无关(图 3):
图 3: 利用斯涅尔定律,可以找到由与层顺序无关的平面平行表面组成的多层薄膜镀膜任何层的光线折射角度
图 3 中的出射光线将与入射光线平行,因为 n1 = n4。由于光学元件的曲率,曲面上的光学镀膜并不是真正的平面平行结构。不过,由于镀膜较薄,这种近似仍然有效。1
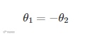
反射定律表明,反射光线相对于表面法线的角度与入射角大小相等,但相对于表面法线的角度方向相反。
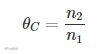
如果从一个介质传递到另一个介质且折射率较低的光线的入射角大于由两种折射率的比值定义的材料临界角 (θC),则会发生全反射,光线将完全反射(图 4)。入射角等于临界角时,折射角等于 90°。2
图 4: 显示入射角大于 θc 的全反射 (TIR)
两种光介质界面的透射和反射的振幅系数由菲涅耳透射和反射方程决定: 3
其中,ts和tp 分别是s偏振和p偏振的振幅透射系数,rs 和rp 分别是s偏振和p偏振的振幅反射系数,n1 和n2 是两种光学介质的折射率,θ1 是入射角,θ2 是透射角或反射角。
在正入射时,θ1 和 θ2 为 0,使两种偏振状态的所有余弦项 1 和振幅系数都相同。这很直观,因为在正入射下,s 和 p 偏振状态没有区别。
当光线照射到它进入的材料表面上的电子时,就会发生反射。电子吸收并重新发射出损失了一些能量的光。明亮且具有高反射率的镜面材料具有更多自由移动的电子,可以实现最大的反射和最小的透射。
镀膜技术
有几种应用光学镀膜的技术,包括蒸发沉积、等离子溅射、离子束溅射和原子层沉积(表 1)。
表 1: 不同镀膜技术的比较 (IAD:离子辅助沉积,IBS:离子束溅射,ALD:原子层沉积) 4
蒸发沉积
在蒸发沉积过程中,真空室中的源材料通过加热或电子束轰击进行蒸发。在蒸发过程中,蒸汽冷凝到光学表面并精确控制加热、真空压力、基片定位和旋转,使特定设计厚度的光学镀膜保持均匀。与本部分所述的其他技术相比,蒸发沉积可以容纳更大的镀膜机尺寸,而且通常更经济有效。汽化相对温和的性质会生成松散或多孔的镀膜。这些松散的镀膜存在吸水问题,这会改变层的有效折射率并导致性能下降。蒸发沉积过程中不能精确控制蒸发,因此不能像使用离子束溅射等其他技术那样精确控制层厚度。不过,这些松散的镀膜的优点是它们相对来说没有压力。使用离子束辅助沉积(IBAD 或 IAD)可以增强蒸发镀膜,离子束直接作用于基片表面,增加源材料与表面的粘附能量,并生成更致密、更坚固的镀膜。
等离子溅射
等离子溅射包括一系列已知技术,包括先进等离子溅射和磁控溅射。一般概念来源于等离子体的产生。等离子体中的离子随后加速进入源材料,撞击出松散的高能源离子,然后溅射到目标光学元件上。尽管每种等离子溅射都有其独特的特性、优点和缺点,但由于它们有共同的操作概念,因此这些技术被组合在一起。与本部分讨论的其他镀膜技术相比,这一组中的差异要小得多。等离子溅射在蒸发沉积和离子束溅射之间实现了价格和性能的折中。
离子束溅射 (IBS)
在离子束溅射 (IBS) 过程中,利用高能电场加速离子束(图 5)。这一加速度会给离子提供显著的动能 (~10-100 eV)。当源材料受到冲击时,源材料离子从目标“溅射”,并在与光学表面接触后形成致密膜。5使用 IBS 镀膜而不是蒸发沉积的一个主要优点是能够更精确地监测和控制单个镀膜的生长速度、能量输入和氧化水平。这种级别的控制能实现高重现性的镀膜批次和最小的层厚度误差,从而确保镀膜性能与设计的光谱和相位参数一致。5 IBS镀膜比使用其他镀膜技术的镀膜要光滑得多,这使得 IBS 成为唯一一种能够制造出反射率超过99.99% 的“超级镜面”的镀膜技术,而且镀膜的粗糙度也比最初的基片低。IBS 镀膜的高密度使其坚固耐用,提高了其耐化学性,延长了镀膜的使用寿命,使其能够承受更恶劣的环境。在 IBS 过程中,各层的折射率也可以变化,这进一步提高了工艺控制水平。5 IBS 以其精度和可重复性著称,是高性能激光光学镀膜的首选镀膜沉积技术。IBS的缺点是,成本比其他技术更高,因为在光元件中产生了更长的周期时间和应力,这可能导致变形和光学畸变。
图 5: 在离子束溅射 (IBS) 过程中,强电场使离子束上的离子加速到目标上,从而释放出更多的离子,在旋转的基片上沉积一层致密的薄膜
原子层沉积 (ALD)
与蒸发沉积不同,原子层沉积 (ALD) 的源材料不需要从固体中蒸发,而是直接以气体的形式提供。尽管使用了气体,但在真空室中仍然经常使用高温。在 ALD 过程中,前体以非重叠脉冲的形式传递,每个脉冲都具有自限性。该过程的化学设计使得只有一个单一的层可以依附每个脉冲,表面的几何形状不是限制因素。由此可对层厚度和设计实现非凡的控制。这会导致沉积速度缓慢,每次进行镀膜的成本较高。然而,用于 ALD 的腔室通常相当大,可以在一次运行中覆盖许多光学元件。ALD 也与视线无关,这意味着它可以用来给光学元件涂上不寻常的几何图形,而这些几何图形很难通过其他方法涂上。
Figure 6: 在原子层沉积 (ALD) 过程中,通过将光学材料暴露于不同的气体前体来沉积单个薄膜层,从而在不依赖于光学表面几何形状的情况下对膜层厚度进行高水平的控制
参考文献
1.Willey, Ronald R. Field Guide to Optical Thin Films. SPIE Optical Engineering Press, 2006.
2.Greivenkamp, John E. Field Guide to Geometrical Optics. SPIE Optical Engineering Press, 2004.
3.Paschotta, Rüdiger. Encyclopedia of Laser Physics and Technology, RP Photonics, October 2017, www.rp-photonics.com/encyclopedia.html.
4.Vandendriessche, Stefaan. “No One-Size-Fits-All Approach to Optical Coatings.” Photonics Spectra, Photonics Media, December 2016.
5.“IBS Mirror Coatings for Highly Demanding Applications.” Photonics News, Laser Components Group, August 2016, www.lasercomponents.com/uk/news/ibs-mirror-coatings-for-highly-demanding-applications
联系我们

