热膨胀系数
对于易受温度波动影响的应用,应开发一种无热光学系统。无热化光学系统可以实现对环境的热变化和由此产生的系统失焦不敏感。
光学系统无热化涉及平衡热膨胀系数(CTE)和随温度变化的折射率变化(dn / dT),这些材料用于使系统对环境中的热变化不敏感,从而导致系统散焦。开发无热设计在红外应用中尤其重要。
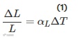
CTE 是测量由于温度变化而引起的材料尺寸分数变化的方法。热膨胀定义为:
L 是原始长度,ΔL 是长度变化,αL 是线性 CTE,ΔT 是温度变化(图 1)。
通常情况下,当一个物体加热时,由于其组成分子的动能增加,它就会变得更大(图1)。然而,也有一些罕见的例外情况,温度和长度之间存在反比关系,例如:水。其线性CTE在3.983℃以下会变成负值,并导致其在温度降到3.983℃以下时膨胀。
图 1: 温度变化 (ΔT) 导致材料长度 (ΔL) 根据材料的热膨胀系数(CTE) 发生变化
CTE 以 1/˚C 为单位提供。在为您的应用案例选择光学元件时,CTE 是重要的考量因素,因为光学元件尺寸的变化可能会影响元件的校准和应力。在涉及温度波动的环境中,用户需要认识到他们的光学元件在加热时会膨胀。室温下 25mm 的光学元件在 300˚C 时可能会变为25.1mm,这可能会中断安装或使光线朝不希望的方向歪斜,从而影响指向稳定性和激光校准;这就是为什么需要较低的 CTE。熔融石英的CTE 较低,通常用于减少热膨胀。
折射率温度系数
折射率的温度系数 (dn/dT) 用于衡量折射率随温度的变化。大多数红外材料的 dn/dT 比可见光玻璃高几个数量级,会造成折射率的巨大变化。物质的密度几乎总是与温度成反比,这意味着物质的密度随温度的升高而降低。因此,折射率随着温度的升高而降低1。
材料 dn/dT 的完整方程式为:
其中:
T0是参考温度 (20˚C)
T 是温度,以 ˚C 为单位
ΔT 是与 T0 的温差
λ 是光的波长
D0, D1, D2, E0, E1 和 λTK 是材料常数
dn/dT 与反射光学元件无关,除了会由于镀膜折射率的变化而产生细微的性能变化。不过,dn/dt 是透射光学元件的一个重要性质,因为它有助于确定它们在温度变化下的稳定性。当高功率激光束入射到光学元件时,总会被吸收掉一些,从而导致温度升高;dn/dT 决定了这对性能的影响程度(图 2)。
图 2: 光学元件的折射率随温度的变化 (dn/dT) 可能导致镜头焦距
(Δf ) 偏移和焦点位置改变
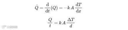
导热系数
材料的导热系数 (k) 衡量材料通过传导传热的能力(图 3)。它的测量单位通常是 W/(m⋅K) 或 Btu/(hr⋅ft⋅˚F) ,用于定义热传导率:
Q 表示在时间 t 内传递的热量,Q/t 的单位是 J/s 或者 W。A 是基片的横截面面积,ΔT 是材料一侧与另一侧之间的温差,d是材料的厚度。
图 3: 材料的导热系数 (k) 决定其通过给定厚度 (d) 传递热量的能力 (Q)
导热系数高的材料(如金属)比导热系数低的材料(如玻璃或塑料)散热更快。因为通过光学元件传输激光辐射的主要影响之一是辐射能量会转化为热能,在激光光学应用中了解材料的导热系数对评估光学元件周围的能量平衡很重要。
不反射或传输特定波长的材料将吸收更多的光,并更快地发热,比如有色玻璃和吸收性滤光片。如果在光学元件中发生非稳态的热量积累,那么损坏很快就会随之而来,特别是在没有增加有效的冷却系统的情况下。
即便如此,如果光学元件是非均质的,其导热能力也是不均匀的,材料中的热点可能会迅速且更容易造成元件的损坏。与折射率的温度系数类似,了解热传导性对于建立高功率激光系统的模型和了解预期的光学性能效果非常重要。
参考文献
“TIE-19: Temperature Coefficient of the Refractive Index.” Schott, July 2016.
免费
邮寄
点击“ 阅读原文 ” 查看更多:应用案例、视频资源和在线研讨会回放

