
立冬已经有一段时间了,天气越来越冷,规模化鸡场的管理人员或农场主也要跟着天气变化,不断的调整通风与供暖,让鸡雏能在舒适的鸡舍这个小“气候”环境中健康迅速的成长为5斤多重的大鸡。
因为我们养殖的肉鸡,基本都是从刚出壳之后的几个小时到鸡舍,鸡雏刚开始一是没体温调节能力,二是羽毛都是绒毛,保温和抗寒性都不能与30日龄的鸡相比;应该说在我们国家的大部分季节和时间(春、秋、冬),鸡雏前期养殖的时候通风模式都是最小通风模式(毕竟多数时候室外温度比鸡生长需要的温度20度-35度要低),到了寒冷的季节,可能整批鸡都要在最小通风模式下饲养与通风管理。
那么什么是最小通风量?最小通风怎么计算与理解?实际上最小通风又怎么应用在规模化鸡场?这里面有太多的专业内容需要我们养鸡管理人员去搞清楚。
1.最小通风量的定义
最小通风量:为了维持鸡群正常发育生长,为鸡群提供充足氧气和维持空气质量所需要的空气供给量。
从定义中我们可以看出,最小通风量:一是为了提供鸡群各种条件下呼吸需要的氧气,二是就是保持空气新鲜。
足够的氧气也就是无论鸡群怎么活动,比如早期的地面或者网面养殖,有些鸡群可能时而跑来跑去,时而吃饱了斜躺着休息,这两种状态需求氧气是不一样的。
为了满足需要我们当然需要把氧气需要量定在上限,这样鸡群不会在疯狂运动状态下氧气不足,而氧气来自我们室外的空气,因为天气寒冷,我们又不能让外界的空气都进来,所以,这里的氧气上限也不是越大越好。
保持空气质量:随着鸡群在鸡舍中生长发育代谢,随之而来的是排泄,如果不通风,鸡舍里的氧气因为鸡群呼吸消耗越来越少,同时,鸡群呼吸排出的二氧化碳和水分越来越多,此外,鸡群排泄中除了增加鸡舍中的水分,还有鸡粪本身和存放过程发酵产生的氨气、硫化氢等有害气体和携带的病菌。

鸡舍空气质量要求
早期地面和网养肉鸡,我们最小通风时,除了提供足够的氧气和排除有害气体,同时,也要考虑排除多余的水分,而目前国内超过90%的鸡场是笼养鸡场。

来源:2020科宝肉鸡管理手册(地面养殖)

2018年AA肉鸡管理手册(地面养殖)
本文主要说笼养规模鸡场,湿度很重要,但是笼养最小通风排除湿度需要弱化了。
2.最小通风量的计算
关于最小通风量的计算,根据最小通风量定义,我们知道涉及氧气需要,排除主要废气二氧化碳以及排除多余的水分。
2.1 根据空气(氧气)需求,来确定最小通风量
负压通风系统的鸡舍,地面养殖最低通风量应满足每公斤体重0.6-1.02 m³/h的空气交换率提供通风。

其中本表含有-1度到16度之间的温度所需要的最小通风量;
注意,以上表格是地面养殖的数据,目前我们国家目前超过90%是笼养鸡舍,国外肉鸡目前绝大多数还是地面稻壳养殖,国内现有的资料很少,这样国外的研究资料就没法直接使用,只能稍微借鉴下,根据原理和实际情况来总结一些数据。
目前肉鸡饲料转化率越来越高,肉鸡的生产性能也越来越好,是不是单位体重需氧量也要增加,需要我们根据最初的原理进行测定和统计,摸索出肉鸡笼养的最小通风量需求。
2.2. 根据通风参数来确定最小通风量
国内常用的通风量的计量单位是立方米,具体公式如下:
最小通风量=肉鸡平均体重x 全舍鸡数x通风参数
上面的公式涉及三个变量:肉鸡平均体重(根据各育种公司给的每日龄生产性能表来确定,如下图的益生利丰生长性能表);全舍鸡数这个好确定,还有通风系数。
以下是益生利丰商品鸡的生产性能表

2.1通风系数:
通风参数是指单位体重的肉鸡所需要的新鲜空气量,国内常用单位为每公斤体重每立方米每小时,即每一公斤体重的肉鸡一小时需要多少立方米的新鲜空气量。它不是个固定值,受下面这些因素影响。
2.11肉鸡的体重(日龄)
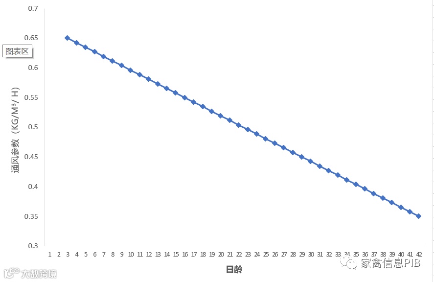
相同温度下,不同体重(日龄)的肉鸡,单位体重所需的新鲜空气量是不同的,即所用通风参数不同;例如,外界温度0℃时,从3日龄开始通风,到42日龄出栏,通风参数从大约0.65立方米每公斤每小时,逐渐降到约0.35立方米每公斤每小时。(侯勇老师在鸡舍实际测量计算的)
下表:三层笼养0℃下不同日龄肉鸡通风参数变化曲线:
表格21:0℃下通风参数表格

2.12是否需要降温(是否需要带走多余的热量)
较为寒冷的季节:小日龄鸡群,在鸡舍内还需要外部供温的情况下(鸡群产热<鸡舍散热+通风散热),一定范围内的外界的温度变化对鸡群所需的最小通风量是没有直接影响的(除去不同温度的空气到鸡舍内加热的膨胀率不同和因为温度不同引起混合效率不同之外)。
但当鸡群产热>鸡舍散热,最小通风量不单是换气,涉及到排除多余的热量来维持鸡舍内的温度平衡。
也就是,最小通风除了受日龄、体重、鸡舍的密闭保温性影响,还要受到鸡舍内外温度的影响,这里侯勇老师的新书《笼养肉鸡精益管理》给出的不同外界温度,最小通风量变化的表格:

2.3最小通风量的计算
假如鸡舍长度为90米,宽度16米,边墙3.5米,脊梁高5.5米
一栋养34000只白羽鸡,15日龄体重为0.526千克(利丰),我们使用48英寸的风机来通风,实际排风量约为36000立方米/小时。

在外界气温为0度条件下,通风参数取0.5立方米(每千克.小时),循环时间定为5分钟一个循环,那么这个鸡舍最小通风时间为:
最小通风时间=34000x0.526千克x0.5立方米(每千克.小时)/36000立方米/小时x 300秒=74.5秒,即排风扇开74.5,关闭225.5秒。
这样计算最小通风量和风机开关时间是不是太理想化了?还有风机为什么用5分钟一个循环,为什么不用8分钟,甚至10分钟一个循环?我们不止要懂最小通风量的计算,我们也要会应用才行?
上面这应该是不少养殖朋友的疑问,是的,最小通风计算是在特定的棚舍和外界温度计算的,太理想化了,实际应用是需要前提条件的。我们下面还要讨论。
2.31 负压—最小通风的关键要求
在科宝管理手册和笼养肉鸡精益管理上专门提到,要想做好最小通风,因为我们目前鸡舍用的都是负压通风系统,需要我们根据鸡舍的宽度、室内外的温差、棚顶的平滑度把我们的鸡舍需要的负压测出大致的数值范围才行。
负压的测试需要一个可控的环境,鸡舍尽量保持气密状态,即密封状态要好,一般漏气点发生在靠近风扇、鸡舍门、底墙或者屋脊等地方(具体测量是否密封见方法:规模化养鸡的基本:为什么要检查鸡舍的密闭性能?)。
鸡舍密封好后,上面我们举例的鸡舍宽度是16米,根据以往负压测试,负压大致范围在20-28Pa,常见宽度鸡舍负压如下:

来源:《笼养肉鸡精益管理》
为什么负压是个范围?因为影响负压的因素除了棚舍宽度外,还有棚顶平滑度、室内外温差(意味着变温天,负压要调整;昼夜温差大,负压也不一样)、小窗开口的大小(一般最小开启3厘米)以及小窗安装的位置等因素。
通过烟雾试验,我们用可以看见的烟雾走向代表风的走向和速度,合适的负压下,通过进风口的烟雾顺着棚,到达棚舍顶部与热空气汇合后缓慢的下落,这样使得新鲜空气进入鸡舍供氧气,又没给鸡群冷空气应激(如下图)。

烟雾实验图
为什么上面要用5分钟循环?
在前期用时空控制风机循环时间时,目前有用4分钟循环一次的,有用5分钟循环一次的,还有用8或10分钟循环一次的,当然这些都不能用对错来区别,但是,开启的循环时间不一样,室内的温度波动和二氧化碳浓度都有差异。

魏建平:肉鸡场环境控制与疫病防治 课件
从上图可以看出,风机停的时间短,棚舍内的空气中二氧化碳是在很低很安全的水平,但是,这种高频率的风机开停,对于寒冷的季节来说,热量散失的有些快,煤价这么高,浪费的热量也是成本。
如果风机停超过8分钟,我们也可以看到是保温了,但是,棚舍的湿度超过70%,二氧化碳到4000ppm( 前期没什么影响),而棚舍内的温度波动太大,总体对羽毛未满的鸡群是有潜在的危害,所以养殖场多采用5分钟循环控制鸡舍内环境。
2.4 用二氧化碳来指导最小通风
一般室外空气中的二氧化碳的浓度在400ppm左右,目前笼养规模肉鸡场,鸡舍内除了鸡群呼吸消耗氧气产生二氧化碳以外,几乎没有其他机器或者生物产生二氧化碳(工人工作除外,可忽略不计),这样,我们就可以用二氧化碳的浓度值作为一个参考指导最小通风,目前在寒冷的季节,根据历史监控数据经验,前10天只要二氧化碳不超过平均不超过4500ppm,晚间短时不超过5500ppm,温湿度和负压合理,短时间内鸡群没问题。
在侯勇老师的新书《笼养肉鸡精益管理》里,也给出外界在-10-5度范围内,笼养肉鸡各日龄二氧化碳的浓度标准,如下:
第一周≤4500ppm
第二周≤4000pm
第三周≤3600ppm
第4周≤3300ppm
第5周≤2800ppm
第6周≤2300ppm
以上仅供参考,实际外界气温的变化以及工人大料,鸡群活跃度增加,都会引起二氧化碳浓度的变化,我们要同时结合着温度,湿度、鸡群的张嘴等情况来综合调整;无论你怎么养,养的好坏,鸡舍里二氧化碳变化都在那里,只是我们需要一个工具把二氧化碳浓度通过数据可视化而已。
对于二氧化碳的测定,我们买了手持式的二氧化碳检测仪,台湾衡欣77535

同时,我们公司也开发一套实时在线监测温湿度、二氧化碳浓度以及断电报警、温度和二氧化碳超范围报警等功能的设备,这台设备就是我们平时提到的云禽物联,见下图(有基础版本和定制版本):

这是目前合作养殖户棚舍里的云禽物联的实时数据(鸡雏到家12天):

最小通风量主要解决的是通风与保温的矛盾,在满足氧气需求、空气质量需求还有温湿度需求,尽可能的减少热量散失,毕竟在肉鸡养殖的早中期,鸡群产热量小,主要需要外界的供暖设备来提供额外的热量。
最小通风量的应用为什么这么难?
我们一般育雏的开始温度差异并不大, 但是到了寒冷的季节,各地的棚内外温差异大,比如,目前东北地区室外夜间最冷到了零下10度多,而肉鸡养殖密集区山东、河南等地,多数地区最低温度还是5-7度,这样的温度差异造成的最小通风的系数不一样。
之前在和业内的朋友聊天,用原来地面养殖的通风量的80%感觉,通风量还是大,你说最小通风量到底是多少?这个数需要我们管理人员搞懂最小通风原理,摸清自己鸡舍的情况以及当地的气候来慢慢摸索出来,可能的话,还是专门记录和测算一下,毕竟鸡舍不会移动,这些基础的没做好,通风总是心理没底。
从上面分析可以看出,规模化养鸡除了把我们最关注的温湿度控制在合适的范围,用好最小通风还需要棚舍密封严、棚舍的负压测试合适(白天和晚上都要测试),小窗开口的大小一般不低于3厘米,在结合二氧化碳浓度范围的限制,实际上应用最小通风就没有那么难。

对于肉鸡养殖中的最小通风,大部分的内容行业里的专业人士都有了共识,但也有一些内容存在争议;比如,一般情况下我们都是3日龄开始通风,有的专业人士认为,首次通风用5分钟循环,最少要开启30秒,也即是停270秒;但是,我们有些笼养肉鸡同行刚开始通风就是开20秒,停280秒,后面一般是每天增加10秒,是不是增加这10秒,甚至更多或减少,具体也要根据外界是否降温,是否有风来具体操作后看鸡群的状态表现来确定。
肉鸡作为科学育种的产物,其养殖管理也是有科学的方法,我们只有不断精细化管理,才能出好的生产成绩,不然目前怎么会有1.35和1.55的料肉比差异?这里面不仅仅是饲料的问题,还有很多在饲养管理理念、对鸡生理习性和不断实践与求证的过程。
-------- 推荐阅读--------


