序言:2018年9月6日,经第十三届中国智能交通年会活动学术委员会专家评审,前海智慧交通运营科技有限公司季楷丰、钟尖和耿军撰写的《前海19-03街坊多业主互联共享停车场停车费用清分机制设计 》被录用,并收录到大会优秀论文集。
3.2 停车费用清分机制流程设计
根据“3.1 停车费用清分原理”可进行多业主互联共享停车场停车费用清分机制的设计,通过全视频车位检测技术采集停放于某特定车位的车牌号以及该车位所属的宗地分区信息,然后根据车辆车牌号对车位使用信息、进出场信息和收费信息进行匹配,据此判断该车位停车费用的归属。多业主互联共享停车场停车费用清分机制流程图及主要步骤如下:
图 3 停车费用清分机制流程图
步骤1:停车分区
在进行停车费用清分之前,先应划分停车分区,确定车位与分区的归属关系。在多业主互联共享停车场,可根据宗地红线进行分区,某特定宗地红线内的车位即归属该宗地(开发商),而全视频车位检测器则是联系车位和宗地的纽带,因此对于每个宗地分区,都可形成“车位编号→检测器编号→宗地地块编号k”的一一映射,对于每个车位,均有唯一的(j,m,k)。
其中,表示车辆车牌号,j表示车位编号,k表示停车分区编号,m表示检测器编号,I表示计算周期内所有进场记录的车辆总数,J表示总的车位数,K表示总的停车分区数,表示归属于分区k的车位编号的集合,表示归属于分区k的检测器编号的集合。
步骤2:入场信息采集
在车辆入场时,应采集车辆车牌号码、入场时间T1等信息,并形成(i,T1)形式的数据上传。入场时间T1作为停车费用计算的起始时间。
步骤3:车位使用信息采集
车辆停放在某个停车分区的泊位上时,通过全视频车位检测器,可以采集该车辆车牌号、车辆视频图像,并与该检测器编号组成(i,m)形式的数据上传。
步骤4:出场信息采集
在车辆出场时,应采集车辆车牌号码、入场时间T2等信息,并形成(i,T2)形式的数据上传。入场时间T2也将作为停车费用计算的终止时间。
步骤5:车位匹配
车位匹配是停车费用清分机制的关键步骤,可分为三步:
第一步:是入场信息(i,T1)和出场信息(i,T2)的匹配,以车牌号码i为主键,形成(i,T1,T2)的匹配结果,通过这一步可以计算车辆停车费用。
第二步:是车位使用信息(i,m)与停车分区信息(j,m,k)的匹配,以检测器编号m为主键,形成(i,j,m,k)的匹配结果。通过这一步可判定车辆停放于哪一个宗地分区。
第三步:是出入场信息匹配结果(i,T1,T2)与第二步分区匹配结果(i,j,m,k)的匹配,车位使用信息(i,m)的匹配,以车牌号码i为主键,形成(i,T1,T2,j,m,k),通过这一步即可判定该车辆停车费用的归属。
步骤6:容错机制设计
由于出入场信息采集、车位信息采集受设备性能和使用环境影响,信息采集精度无法达到100%,因此存在部分数据缺失或数据错误的情形,因此需对该类情况的车辆停车费用的分配机制进行设计。由于该情形的概率较小,一般在1%-2%,因此可根据各宗地的车位比例对该部分停车费用进行分配。
3.3 停车费用清分模型建立
根据“3.2的停车费用清分机制流程设计”,可建立多业主互联共享停车场停车费用清分模型。车辆在停车场的停放费用与停放时间线性相关,在停放时间确定的情况下,停车费用是固定的,可以视为已知变量,记为,i为车牌号,j为车辆编号。对于多业主互联共享停车场,停车费用清分主要与两个变量有关:
第一个是否有停车收费记录。可采用进出场记录来描述,通常来讲,对于已进入停车场的车辆,并且有出场记录的,可视为已收取停车费用;未出场的,则视为未收取停车费用,用是否有入场时间T1和出场时间T2记录来表征车辆是否有进出场记录(若无有进出场记录,T1或T2记为-1),用表示是否有进出场记录,则可以通过式(1)来表示:
第二个是车位是否匹配成功。车位匹配结果能够判定停车费用的归属,对于每一辆在场车辆,在有收费记录的基础上,如果能够采集到车位使用信息(i,m),则可视为车位匹配成功。将全视频车位采集系统采集到的车牌号i,采集时间T3,如果有车位信息采集记录(无车位信息采集记录,序列中参数记为-1),即,则Yij取1,否则取0。Yij可用表征车位匹配的结果:
在确定上述两个变量的具体结果后,便可以建立停车费用清分模型。多业主互联共享停车场停车费用清分问题可以被描述成二次0-1整数型规划问题[7-9]。
(1)假设条件
a.停车场各个出入口管理系统和停车场内车位信息采集系统是相互联通的,并统一控制;
b.各宗地的停车位是固定的并且车位编号是已知的;
c.停车场出入口采用车牌识别系统,能够采集进出场车辆的车牌信息;
d.停车场内安装了能够采集各车位上停放的车辆车牌号、时间等的全视频车位信息采集系统;
e.统一运营的停车场内各宗地停车费用的收费标准相同,且每辆出场车辆均有收费记录。
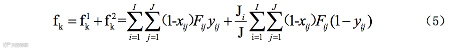
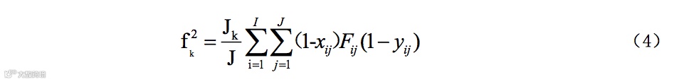
(2)目标函数
各宗地开发商的停车费用来源可以分为两个部分,第一部分是根据车位匹配结果分配给各家开发商的停车费用,该部分停车费用可以根据二次0-1整数型规划的模型思想,建立如下所示的停车费用清分目标函数:



(3)约束条件
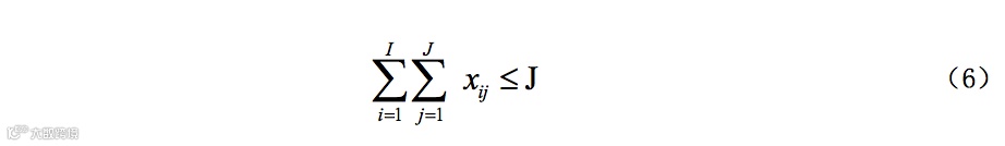
约束1:对于某一特定的多业主互联共享停车场,某一时刻,当前在场车辆数不应大于车辆总数,即:
约束2:对于某一特定的多业主互联共享停车场,某一时刻,各宗地内在场停车场内且有车位信息采集记录的车辆数不应大于该宗地的车位数,即:
4 保障机制及建议
(1)建立统一的组织机构,明确决策与监督机制
多业主互联共享停车场停车费用的清分结算涉及多家开发商的利益,因此如何保证停车收入公平、合理分配给各家开发商是问题的关键。本文基于全视频车位检测技术设计了一种停车费用清分机制,该机制能够根据车位的实际使用情况来分配停车费用,是一种较为合理的清分机制,该机制成功实施的前提是必须有一个多方共同参与、统一决策的组织机构来负责相关工作的实施,并明确决策与监督机制,对清分结算系统的规划建设等重大事项(如停车费用清分结算系统建设、设备选型、收费价格等)进行组织和决策。
(2)统一规划设计,建立覆盖整个停车场的车位检测系统
本文设计的多业主互联共享停车场停车费用清分机制实现的基本条件是采集每个车位的使用信息,包括车位编号、车牌号和采集时间,因此必须建立覆盖整个停车场的全视频车位检测器,为保证系统的兼容性和稳定性,停车场清分结算系统应进行统一规划设计,停车费用补偿清分机制应进行定制开发,硬件设备应统一选型。其次,由于目前市面上部分全视频车位检测器可以实现一个检测器同时监测2-3个车位的使用情况,因此应避免全视频车位检测器的覆盖范围跨越宗地分区造成车位匹配结果失真。
(3)消除信息壁垒,建立互联互通的停车场智能管理系统
除了采集车位使用信息,本文设计的停车费用清分机制还需要采集并上传车辆进出场信息(包括车牌号、时间等)和收费信息,因此该机制实现的另一个前提条件是建立统一联网运行的停车场智能管理系统,主要包括以下三个要求:(1)各个宗地分区的停车场的出入口管理系统、收费系统、充电桩系统等应统一联网运行,实时上传各类数据至中央控制系统(或清分结算系统);(2)各个系统间应统一通讯接口和数据交换标准,保证数据能够实时、准确的进行交换和共享。
5 结语
本文以前海合作区19单元03街坊地下停车场为研究对象,对前海特有的多业主互联共享停车场停车费用清分机制进行了设计。在对国内外现有相关研究和应用进行深入分析的基础上,提出了通过全视频车位检测技术的多业主互联共享停车场停车费用清分基本原理,并在此基础上进行了停车费用清分机制及容错机制流程的设计,建立了停车费用清分模型。最后,根据多业主互联共享停车场和该清分机制的特点,提出了机制保障措施及建议。
文、图 | 前海智交 季楷丰 钟尖 耿军
前海科控综合办 整理
版权归原作者所有
长
按
关
注
打开更多精彩
前海科创投控股有限公司
微信公众号 : 前海科控

