(6)长时储能可用性的影响
第6章中介绍的美国几个地区的模型结果,以及作为研究团队在本章第7.2.3节中评估分布式储能系统影响的一部分讨论的低成本锂离子电池储能方案,强调了获得低成本的锂离子电池的重要性,从而用于电网脱碳。预期电池成本的下降趋势,尤其是长时储能的成本下降也很重要。在这里,研究团队探讨了从2040年开始的长时储能技术的可用性如何影响印度电力系统的发展。在研究团队的分析中,使用热储能作为长时储能的代表技术,并检查其在不同碳排放政策情景下的作用,包括假设没有碳排放政策的参考案例和碳价格从2030年的20美元/吨上涨到接近的情景到2050年的50美元/吨。研究团队还考虑了长时储能在替代成本和性能假设下的作用(即中低端成本假设,在2040年和2050年保持不变)。
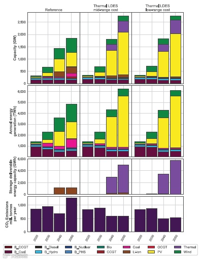
图7.17表明,在研究团队的参考案例中,在印度部署具有储热属性的长时储能系统,能够在2050年将可再生能源弃电量减少了76%,并将可再生能源装机容量增加了70%(假设长时储能的成本中等)。由于液流电池等长时储能技术的装机容量和储能容量可以独立扩展,因此可以优化这些长时储能技术以最大限度地提高利用率,从而最大限度地降低成本。将研究团队的中低成本长时储能(热储能能)案例与参考案例(显示2020年至2050年间碳排放量增加48%)进行比较,长时储能的可用性有助于将燃煤发电量减少53%~58%,碳排放量减少54%~58%,到2050年电力系统成本将增加56%~59%。研究团队的结果还表明,到2050年使用长时储能可以替代更多的锂离子电池储能系统,而在中低成本场景下,长时储能的持续时间将分别增加到8.6和10.4小时。

图7.17参考案例(第1列)和中低成本长时储能案例(分别为第2列和第3列)的模型结果
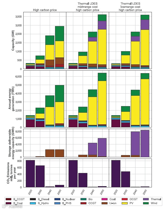
尽管取得了这些有利的结果,但部署的长时储能系统不足以完全取代新的燃煤发电设施,并且对现有燃煤发电厂的影响相对较小。图7.18表明,相比之下,在碳排放的限制下,到2050年可以使长时储能系统完全取代新的燃煤发电,并使发电成本最优。这导致到2050年燃煤发电的使用量与2020年相比实际上减少了97%,在低成本和中等成本长时储能(热储能)情景下,碳排放量分别减少98%。与没有部署长时储能的碳排放政策情景相比,这些情景中的长时储能系统可用性还将总折扣系统成本降低了56%~62%。这凸显了在目前依赖燃煤发电的新兴市场和发展中经济体(EMDE)中,使用长时储能技术(如热储能)可以在电网脱碳方面发挥关键作用。

图7.18高碳价格案例(第1列)和中低成本储能系统的模型结果(分别为第2列和第3列)
7.3 评估储能系统在供应受限发展中的作用
在发电量不足以满足负荷需求的新兴市场和发展中经济体(EMDE),停电是司空见惯的事情。尼日利亚的发电量仅占峰值需求的26%。需要可靠电力的商业和工业(C&I)客户通常必须安装大型备用发电机(通常是柴油发电机)或与微电网开发商签订合同。来自微电网的电力通常由太阳能发电设施与电池储能系统或柴油发电机相结合提供,无论是用户承包还是拥有这些设施,其电价通常比电网供电贵得多。尼日利亚配电商AEDC公司最近推出了一项名为“AEDC分布式能源解决方案和战略”(DESSA)的计划,旨在通过有效地结合备用电源,为有意愿的客户提供可靠和低成本的服务,并由第三方提供。根据DESSA计划,监管机构允许分销商与第三方签订合同,在其服务区域的一部分内向其客户供电,在一天的约定时间内按这些客户与第三方供应商单独协商的电价,必须经过监管部门批准。分销商有义务以规定的电价为客户供电,并且如果电力中断,则必须向第三方支付罚款。
在这种情况下,第三方供应商有义务向客户供货。根据停电的可预测性和持续时间以及负载的时间特性,第三方供应商通常会寻求设计一种发电组合,以最大限度地降低供应商的固定成本和运营成本。这通常是太阳能发电设施与电池储能系统以及柴油发电机的组合。在目前的情况下,当第三方供应商通过电网基础设施分配电力时,会向第三方供应商收取分布式使用系统(DUoS)费用。AEDC公司目前没有从第三方供应商购买多余发电的计划。
研究团队的分析只关注发电设施的设计和成本。在这里,研究团队研究了各种电网中断模拟下的混合发电组合,以评估储能系统在尼日利亚等供应受限供电环境中的作用,在该环境中,配电级别的负载无法满足通常是由于电力供应不足电网拥塞,不像在印度的大城市那样。研究团队没有讨论输电层面的储能系统,因为储能系统不能有效地缓解整体供应短缺。
7.3.1 方法
研究团队使用基于运营的设计优化模型来确定不同电网可用性情景下成本最低的小型电网系统的规模。考虑的资源是太阳能发电设施、电池储能系统、备用柴油发电机。该模型的目标函数包括上述资源的年投资和运营成本。这些成本受到太阳能和电网供应资源可用性和电池储能系统操作相关的限制。研究团队在模型中包含以下费用:(1)DUoS费用,是项目开发商为使用配电网络向公用事业公司支付的电力费用;(2)开发商费用是指开发商从公用事业公司购买电力为消费者供电或为电池储能系统充电。电网可用性构建为每小时时间序列,包括随机模拟频率和持续时间的停电。对于每个投资期,在给定电网可用性的情况下,生成的程序会生成一个确定性的解决方案。为了探索小型电网设计和资源组合随着时间的演变,研究团队对2020年、2025年和2030年三个投资期进行了优化。为了研究不确定电网中断的影响,研究团队对描述的电网可用性配置文件集合采用了蒙特卡罗模拟方法。研究团队报告了集成中最常出现的系统设计。
7.3.2 储能在并网微型电网中的作用:来自尼日利亚的见解
在研究团队的案例研究中,研究团队使用尼日利亚首都阿布贾市Wuse市场的负载曲线作为参考。Wuse市场是一个当地的露天商品和食品市场,有2,155家商铺,并在2019年产生了993kW的峰值需求。这个峰值通常发生在下午1点到4点之间。当市场在晚上关闭时,负载大幅减少(能耗主要来自共用的冷藏室)。2018年Wuse市场负载能耗占电网总需求的10%。使用上述方法,研究团队对该市场采用的太阳能发电设施和锂离子电池储能系统的发电系统的成本优化设计进行建模,考虑到第三方发电设施的费用和柴油发电机成本,以及预计到2030年Wuse市场的电力需求增长。研究团队发现,在这些假设下,成本最优的发电组合主要来自太阳能系统和电池储能系统,可以将供电服务延长到下午晚些时候。图7.19展示了研究团队的参考案例结果,其中电网供应可用性对应于AEDC公司对2020年和2025年期间计划电网中断的预测。预计到2030年将不会出现电网中断的情况。

图7.19 没有模拟电网中断的小型电网设计结果
在经济调度下,如果有其他资源以较低的成本可用,微电网开发商可能会选择不采用电网的电力来满足电力需求,而是使用电网的电力为电池储能系统充电,如图7.20所示。柴油发电主要服务于夜间需求,并可在预定的电网中断期间作为发电来源。经济可行的微电网在2020年的发电和运行系统成本为0.3美元/kWh,而柴油发电机的平准化成本在36%和16%的容量系数下分别在0.3美元/kWh和0.6美元/kWh之间。柴油发电机相对较低的成本使它们对小型电网开发商具有吸引力,以满足夜间需求并在电网中断期间提供备用电源。

图7.20 没有模拟电网停运的微电网调度情况(参考案例)
因此,即使在采用低成本储能系统的情景中,研究团队发现柴油发电机也可以包括在内,尽管储能容量比参考案例低68%,但扩大太阳能发电设施的部署,减少了对电网电力的需求。在现行电价下,由于很少使用的配电网络的固定运营和维护成本,电网的电力在一天中的某些时间与微电网的电力(通过储能系统放电)相比竞争力减弱,这可以应用在Wuse市场。需要注意的是,电网在正常运行条件下从规模经济中获利,因此比微电网更加经济可行。然而,由于电力短缺,与AEDC公司谈判的电价必然更高。
为了了解电网中断如何影响储能系统的作用和价值,研究团队研究了在电网供应不确定的情况下的最佳系统运行和规模——换句话说,当电力中断是随机而不是预定时。图7.21突出显示了与参考案例相比的三个模拟结果:(1)不频繁的电网中断;(2)频繁的电网中断;(3)电网中断(即没有电网可用性)。电网中断以每个建模周期递减的速率进行模拟。图7.21表明,计划外的电网中断往往更适合采用柴油发电机,因为它是可调度的并且资本成本低。此外,在建模中不同的电网中断方案中,与参考案例相比,部署储能系统有所减少。着眼于第一个时期(2020年),当对微电网的初始投资发生在每个建模时期的最高停电频率和最长停电时间时,研究团队注意到更频繁的电网中断导致更多的柴油发电和更少的储能容量(图7.21)。
当电网断开连接时,储能系统为太阳能发电设施提供了补充。在低储能成本假设下,上述和图7.21所示的电网-柴油-储能之间的关系保持不变。研究团队得出的结论是,鉴于电网供应的不确定性,电池储能系统在短期内为工商业微电网客户提供备用电源方面的作用有限。此外,由于预计电网供电会随着时间的推移而改善,储能系统并不是一种经济可行的解决方案,因为随着电网供电的价格将会降低,作为备用电源解决方案的储能系统投资回报将会下降。在电力供应受限的环境中,储能系统的作用仅限于为可再生能源发电提供补充。需要注意的是,AEDC公司的情况可能与德里配电公司的情况相似,一旦电网供应充足,储能系统可以作为一种非线缆替代方案来推迟电网升级。
7.4 结论和要点
本章在新兴市场和发展中经济体(EMDE)的三个不同典型用例的背景下考虑部署储能系统:
(1)需求驱动国家(例如印度)的配电系统需要部署更多的储能系统,在这些国家,储能系统可以作为一种非线缆替代方案来推迟成本高昂的配电系统升级,否则这些升级是应对快速增长的峰值负载所必需的措施,主要是由空调负载需求增长的驱动。
(2)需求驱动型国家的发电和输电系统的储能应用,电力需求的整体增长和对可变的可再生能源发电依赖的转变推动了储能系统的采用。
(3)在供应受限的国家(例如尼日利亚)的应用,在这些国家,满足电力需求的电网可用性的持续时间和供电不确定性,是储能系统作为使用柴油发电机的替代方案的关键驱动因素。
研究团队对印度配电系统储能系统应用的分析得出以下主要结论:
•印度与许多其他新兴市场和发展中经济体(EMDE)一样,正在经历持续而快速的电力需求增长。在峰值需求增长速度快于总体需求的住宅配电系统中,需要为峰值负载提供电力服务,这为储能问罪提供了一个重要的用例。
•与发达国家相比,印度交通电气化在推动预计的高峰需求增长方面的作用要小得多。这主要反映了两轮和三轮电动汽车在印度的作用。
•根据对印度四个特大城市的分析,具有成本效益的电池储能系统可以推迟配电系统的升级,否则这些升级对于满足迅速上升的住宅峰值电力需求是必要的措施。研究团队的分析表明,到2040年,印度四个特大城市的配电系统应用需要部署高达140GWh的短时储能系统(锂离子电池储能系统)。与印度相比,有几个因素解释了储能系统在印度电力系统应用发挥相对较大的作用。:
–一般而言,印度的城市电t系统比发达国家更加拥塞。例如在德里,可用的电力支线数据表明,28%的电力支线平均负载量为60%或更多。相比之下,美国马萨诸塞州国家电网服务区域的馈线平均负载量为34%。
–印度的高融资成本增加了储能系统的相对价值,以推迟配电网络中的电力线路升级。
–空调是预计印度主要城市电力需求增长的主要驱动力。此外,在印度等发展中国家,空调使用的特点(例如主要采用分体式空调)使其使用不如发达国家那样灵活,并导致电力需求峰值更高、更集中。
研究团队对印度电网储能系统应用的分析得出的主要结论:
•到2050年的额外需求可以通过可再生能源发电设施和短时储能系统(锂离子电池储能系统)的组合在很大程度上得到满足,同时大幅减少对燃煤发电或天然气发电的依赖。这将需要部署更多的可再生能源发电设施。新的和现有的燃煤发电继续作为2050年主要的发电来源,除非受政策限制。
•输电层级的短时储能系统(锂离子电池)可以经济高效地部署,而到2050年印度将部署更多的可再生能源发电设施。短时储能需求与空调的电力需求密切相关。
•由于规模庞大,到本世纪中叶,印度很可能成为锂离子储能系统的主要市场。例如,在这项研究评估的锂离子储能系统的成本、天然气价格和空调高需求的不同情景中,到2040年,印度部署的电网规模锂离子储能系统的装机容量和储能容量可能分别高达668GW和4,716GWh。
•如果能够比锂离子电池储能系统具有更高的充电和放电率、更高的储能容量以及更低的资本成本,那么长时储能可以在2050年大幅取代新的燃煤发电设施,并减少电网碳排放。将这种碳排放政策与其他技术方案相结合,例如低成本的锂离子储能系统以及更低的天然气价格或者部署具有上述特征的长时储能技术,可以在2050年之前淘汰燃煤发电设施,并实现近乎完全的电网脱碳,同时还可以部分降低电力系统由于碳排放限制而增加的成本。
研究团队对储能系统在供应受限的电力系统中的作用的分析得出的主要结论:
•在发电供应不足的国家的输电或配电系统中,电池储能系统提供了一种潜在的重要手段,可以提高短期停电的电力服务可靠性,减少住宅和商业消费者的柴油消耗量,并降低这些消费者的电力成本(包括用于备用柴油发电机)。
•在一些住宅和商业环境中,当电网中断频繁且持续时间较短(几个小时)时,可以预测具有储能系统和太阳能发电设施的微电网可以与备用柴油发电机进行竞争。然而,如果停电是不可预测的并且可能持续很长时间,那么采用备用柴油发电机更加经济可行。

