搜索
首页
大数快讯
大数活动
服务超市
文章专题
出海平台
流量密码
出海蓝图
产业赛道
物流仓储
跨境支付
选品策略
实操手册
报告
跨企查
百科
导航
知识体系
工具箱
更多
找货源
跨境招聘
DeepSeek
首页
>
南策文院士团队:首次报道室温长循环20000圈全固态锂电池
>
南策文院士团队:首次报道室温长循环20000圈全固态锂电池
苏州三现电子科技有限公司
2022-07-08
1
全固态锂离子电池(ASSBs)由于采用了固态电解质替代传统有机液态电解液,有望从根本上解决电池的安全性的同时,还能进一步提升锂电池的
能量
密度和循环寿命,符合未来高安全性高能量密度锂离子电池发展的方向。而要实现全固态锂离子电池的商业化关键就是要找到一种同时具有成本低,电导率高,化学稳定性好,电压窗口宽等优点的固态锂离子电解质材料。在各种各样的电解质材料中,硫化物固态电解质引起了广泛的关注。
尽管硫化物电解质的离子导电性已经取得了很大进展,但硫化物电解质在全固态锂电池中的应用仍面临诸多挑战。ASSBs非常需要一种薄而坚固的固态硫化物电解质膜,以保持高离子电导率。
鉴于此,
清华大学南策文院士、沈洋教授等报道了一种通过静电纺丝-灌注-热压的方法制备了一种薄而灵活的复合固体电解质膜
,该膜由硫银锗矿硫化物Li
6
PS
5
Cl和极性聚(偏氟乙烯-共三氟乙烯)P(VDF-TrFE)框架组成。Li
6
PS
5
Cl和极性P(VDF-TrFE)之间的相互作用确保了复合电解质膜在室温下的高锂离子传导率(≈1.2 mS cm
-1
)和良好的机械延展性。
该工作被选为封面文章发表在国际顶级期刊《Advanced Energy Materials》。
超薄硫化物基固态电解质助力长循环电池
采用该薄型复合电解质膜、NCM811和Li
6
PS
5
Cl包覆的复合正极以及锂铟阳极组成的扣式ASSB电池,
显示出超强的循环性能
,在室温下1.0 mA cm
-2
,1000次循环后的容量保持率为92%,即使在20000次循环后也有71%。
这是迄今为止报道中室温下循环性能最好的全固态电池,
其性能在文中与液态锂离子电池进行了相应的对比,超长循环性能甚至优于基于液态电解液的锂离子电池。此外,具有高承载量活性材料负载的软包ASSBs电池的成功制备也证明了其在未来商业应用中的潜力和可行性。
【研究内容】
图1. (
a) 通过静电纺丝-渗透热压法制备互穿LPSCl@P(VDF-TrFE) CSEs的示意图;(b) 多孔P(VDF-TrFE) 膜的SEM图像;(c) CSE的顶部SEM 图像;(d) CSE和LPSCl粉末在N
2
气氛下的热重分析;(e) CSE的横截面SEM图像和相应的S和F元素的EDS元素分布图像;(f) 多孔P(VDF-TrFE) 膜、CSE和LPSCl粉末的XRD图谱。
首先通过球磨制备硫银辉石LPSCl粉末,然后进行热处理。接着,选择具有高介电常数的粘弹性和强极性P(VDF-TrFE),制备了具有可调节多孔框架结构的自支撑P(VDF-TrFE)电纺膜,骨架中的大空隙对于硫化物颗粒的渗透处理很重要。最后通过将LPSCl-甲苯浆液渗透到多孔P(VDF-TrFE)框架中,然后进行溶剂蒸发和热压,可获得具有良好机械性能的自支撑复合固态电解质(CSE)膜(厚度约为 30-40 µm)。
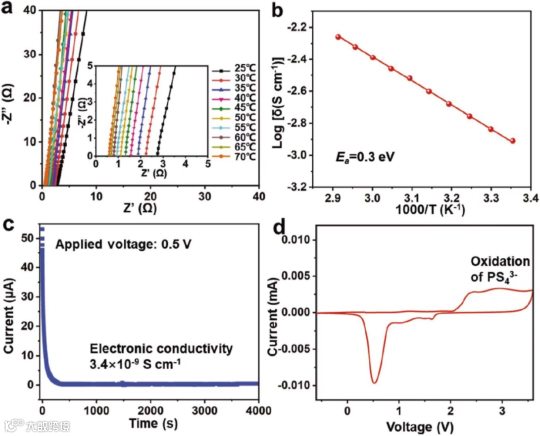
图2.
(a) LPSCl@P(VDF-TrFE) CSE在25–70 °C下的Nyquist图;(b) CSE离子电导率的 Arrhenius图;(c) 夹在两块不锈钢之间的 CSE 的电流-
时间
曲线;(d) CSE+C||CSE||In电池的电流-电压曲线。
由于LPSCl的高电导率(≈3.9 mS cm-1),CSE膜的离子电导率在25 °C时约为 1.2 mS cm
-1
。通过直流极化测量,CSE的电子电导率为3.4 × 10
-9
S cm
-1
。CSE+碳||CSE||In电池的CV测试显示,CSE具有与LPSCl非常相似的电化学窗口,其中氧化稳定性极限为≈ 2.5 vs. In/InLi,对应于3.1 V vs. Li
+
/Li。
图3.
(a) 多孔P(VDF-TrFE)和CSE膜的FTIR光谱;(b) CSE和LPSCl粉末的
31
P NMR 光谱;(c) CSE的XPS图谱(C 1s);(d) CSE和LPSCl粉末的
7
Li NMR光谱;(e) 基于理论模拟的CSE中可能存在的复杂结构。
傅里叶红外光谱证实,由于P(VDF-TrFE)通过将TrFE基团结合到PVDF中,因此具有极性β相的存在。与P(VDF-TrFE)相比,CSE的峰几乎在相同的位置,表明β相不随LPSCl的浸润而改变。拉曼光谱显示,当LPSCl互穿到聚合物网络中时,与PS
4
3-
基团相关的拉曼峰显示出展宽效应,这表明硫化物可以与P(VDF-TrFE)键合。此外,在两个样品的31P NMR光谱中也都检测到对应于PS
4
3-
的强峰(85 ppm),进一步证明硫化物和聚合物键合在一起。此外,作者也通过密度泛函理论计算和分子动力学模拟也研究了LPSCl 和P(VDF-TrFE)之间的相互作用,CSE中可能的复杂结构如图3e所示。
图4.
NCM@LNO负载量约为3.1 mg cm
-2
时,NCM@LNO||CSE||Li-In ASSB电池在室温下的电化学性能:(a) 倍率性能;(b) 不同倍率的充放电曲线;(c) 电流密度为 0.1 mA cm
-2
时的长循环性能;(d) 1.0 mA cm
-2
电流密度下的长循环性能。
基于NCM@LNO(≈3.1 mg cm
-2
)的ASSBs电池在 0.1(0.16 C)、0.5(0.81 C) 和 1.0 mA cm
–2
(1.61 C)时的放电容量分别为189、173和114 mAh g
-1
。当电流密度从5.0 mA cm
–2
恢复到0.1时,约92%的初始容量得以恢复。在低倍率(0.1 mA cm
-2
)下,ASSBs电池表现出优异的循环性能,具有168 mAh g
-1
的高初始放电比容量,经过2000次循环后容量保持率为93%。在高倍率下(1 mA cm
-2
(1.61 C)),ASSBs电池同样表现出非凡的循环性能,甚至优于基于液态电解液的锂离子电池,循环1000次后仍提供108 mAh g
–1
的容量和92%的容量保持率,即使在20000次循环后仍保持83 mAh g
-1
的容量,容量保持率为71%。
图5.
具有不同NCM@LNO活性材料
质量
负载的NCM@LNO||CSE||Li-In ASSB电池在 0.1 mA cm
-2
的电流密度和室温下循环性能。
另外,当NCM@LNO负载量为12.39、18.58和24.78 mg cm
-2
时ASSBs电池在0.1 mA cm
-2
下的初始放电容量分别为168.6、157.2和123.1 mAh g
-1
,经过500次循环后,仍保留144.1、120.5和97.1 mAh g
-1
的可逆容量,分别对应于88%、83%和79%的容量保持率。
图6.
a) 软包电池在0.1mA cm
-2
下的循环性能;b) 软包电池在 1.0 mA cm
-2
下的循环性能;c) 为小灯供电的CSE的软包电池的照片。
软包ASSB电池在0.1 mA cm
-2
下也显示出与扣式电池类似的高容量和充电/放电平台,并且在100次循环后具有92%的高容量保持率。此外,在1.0 mA cm
-2
下 经过200次循环后仍具有81%的高容量保持率。另外,软包ASSB电池也可以为灯泡供电。
【工作总结】
这项工作成功制备了厚度为30-40 µm的柔性、紧凑的LPSCl@P(VDF-TrFE) CSE膜,该CSE在室温下具有1.2 mS cm
-1
的高离子电导率和3.4 × 10
-9
S cm
-1
的低电子电导率。通过将LPSCl@P(VDF-TrFE) CSE与NCM@LNO-LPSCl复合正极组装在一起,NCM@LNO||CSE||Li-In ASSB电池具有出色的高倍率性能和超长的循环寿命,
是迄今为止报道的所有在室温下运行的ASSB电池中长循环性能最好的。
值得一提的是,这种稳定的循环性能远优于相应的液态LIBs电池,这种把同体系的ASSB和LIB电池对比的工作并不多见,
也进一步验证了许多学者对于固-固接触的全固态电池会比存在许多问题的液态电池更加稳定(特别是超长循环这一层面)的这一猜想得到了证实。
此外,采用相CSE和复合正极的软包ASSB电池在未来的商业应用中也表现出良好的性能和可行性。这项工作会对制备薄而高性能的CSE有所启发,
并为实现具有高性能的、可产业化的实用硫化物基ASSB指引方向。
【团队介绍】
清华大学材料学院南策文院士、沈洋教授团队在锂电、介电、磁电和功能性畴壁等方面进行了一系列基础研究和应用探索,相关论文发表在《自然·综述:材料》(Nature Review Materials)、《科学》(Science)、《自然·纳米技术》(Nature Nanotechnology)、《自然·通讯》(Nature Communications)、《先进·材料》(Advanced Materials)等期刊上,引起学界的广泛关注。
材料学院博士生刘思捷为论文第一作者,其他重要贡献者包括材料学院博士后周乐、材料学院博士生韩健等。相关研究工作受国家自然科学基金委和科技部国家重点研发计划支持。
【声明】内容源于网络
0
0
苏州三现电子科技有限公司
锂电池系统(PACK&PDU&BDU&BMS) 定制 研发 生产--服务于重卡,煤矿,储能,工程机械,无人机,机器人等多行业能源解决方案
内容
1159
粉丝
0
关注
在线咨询
苏州三现电子科技有限公司
锂电池系统(PACK&PDU&BDU&BMS) 定制 研发 生产--服务于重卡,煤矿,储能,工程机械,无人机,机器人等多行业能源解决方案
总阅读
184
粉丝
0
内容
1.2k