
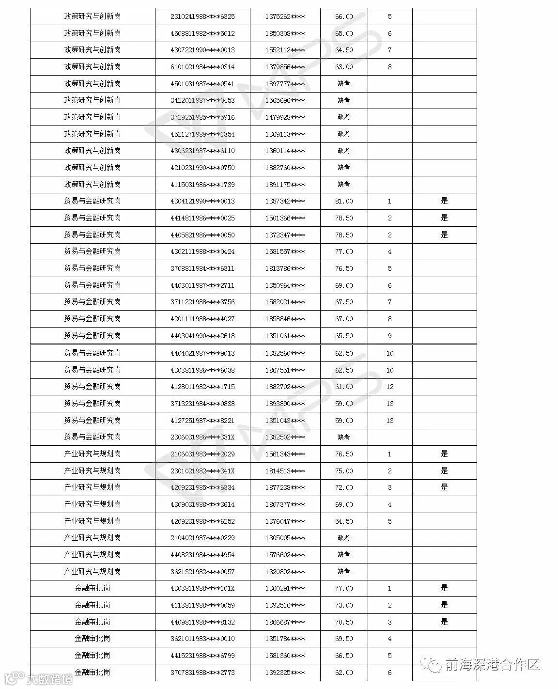
根据《前海管理局2017年全球精英招募公告》及招募计划安排,现将笔试成绩及入围面试人员名单予以公布。








面试将于2017年9月2日(周六)在深圳市考试院举行,具体面试时间将于8月29日前以短信方式另行通知,请您保持手机畅通。如有入围人员放弃面试机会,我们将按照笔试成绩从高到低的顺序递补人员参加面试。
面试人员请携带笔试准考证、有效身份证件、学历学位证书(含验证证明)原件参加面试,如遗失准考证,可于9月1日下午18:00前登陆深圳市考试院网站(https://sz12333.gov.cn/ess/login)打印准考证。
工作地在深圳市外的人员,请准备好本人银行卡账户信息(开户支行、卡号),面试结束后到工作人员处登记,我们将以转账方式发放2000元差旅补贴。
感谢大家对本次公开招募的参与和支持!
深圳市前海管理局
2017年8月28日
悦后请点赞
一起分享前海点滴

