近年来,由于温室气体排放导致全球持续变暖,因此减排创新得到极大的重视,特别是在移动领域,电池驱动的移动方式受到了许多应用和研究。锂离子电池(LIBs)已经成为电动车领域的主导,因为其具有高能量和功率密度、高充放电效率以及低自放电率的特点。其中,种类丰富的锂离子电池正极材料得到了各种应用。过渡金属氧化物,如镍锰钴氧化锂(NMC),镍钴铝氧化锂(NCA),锰氧化锂(LMO),钴氧化锂(LCO)和磷酸盐(如磷酸铁锂(LFP)),作为常用的材料可以提供不同的特性(能源和功率密度,安全性,可靠性,循环寿命和成本)。石墨的低电位(0.05 V vs.)可以在其作为负极与上述正极材料结合时实现高能量密度,因此在大多数应用中均采用石墨作为负极。然而,同样的特性使得最常用的电解质在0.8 V-4.5 V的有限工作范围内热力学不稳定。这将导致电池的老化加速,因为会形成并不断增厚称为固体电解质界面(SEI)的钝化层。对于石墨基LIBs,人们普遍认为SEI的增厚是导致锂不可逆损失的主要老化机制。
钛酸锂(LTO)电池作为一种新颖的锂离子电池,由于LTO的高负极电位(1.55 V)其标称电压和能量密度较低,但它是一种很有前景的负极材料,且在大多数电解质的电化学稳定窗口内工作,这有利于形成少量或不形成SEI,这有利于减缓电池的老化。LTO电池由于其具备长循环稳定性和优越的安全性,是未来在电动出行、固定存储系统和高功率需求的混合应用中最具前景的技术之一。
近日,德国亚琛工业大学Ahmed Chahbaz教授(通讯作者)团队研究了在充电状态(SOC)、温度、放电深度、循环SOC范围和电流率变化的16种不同情况下的43个同类型LTO电池的循环老化和存储老化的情况。作者通过研究老化结果并分析增量容量的相对变化,以分析老化机制,分离降解增强参数的影响,通过比较存储和循环老化时IC曲线的相对变化,确定降解原因,并将其归结为其来源。在此基础上,本文还提出了一种基于长短期记忆(LSTM)的RNN算法。相关研究成果以“Non-invasive identification of calendar and cyclic ageing mechanisms for lithium-titanate-oxide batteries”为题发表在Energy Storage Materials上。
1. 起始电池特征
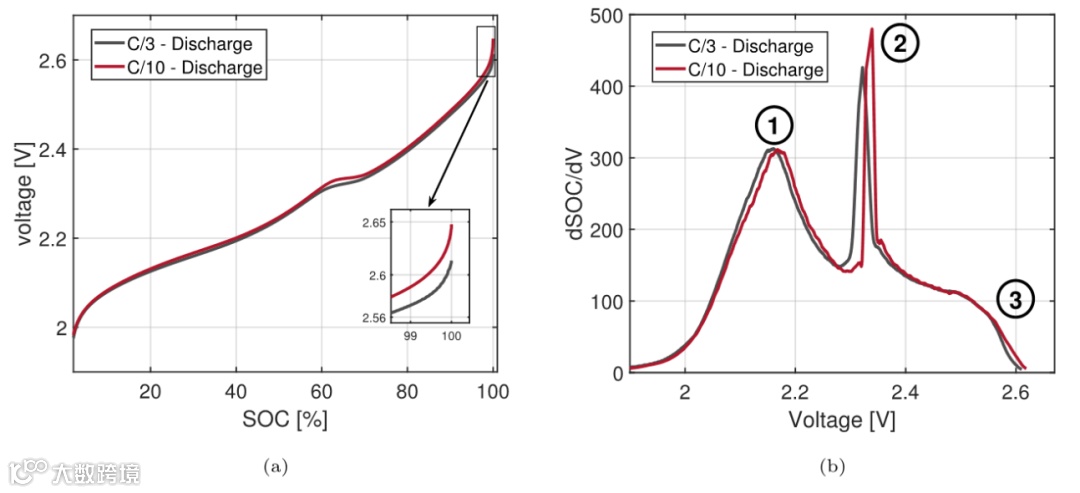
为了得出关于起始电池特性的结论,作者采用了容量增量分析(ICA)方法,该方法可以在不需要拆卸电池的情况研究长期老化效应。试件初始测得的C/10和C/3放电曲线见图1a。通过对这些流量曲线的比较可以看出,初始时两条曲线之间仅存在边际偏差。对锂离子电池的研究表明,锂离子电池的半电池电位处于两相转化区。在该区域内,负极电位有一个平台,几乎恒定在1.55 V。由于开路电压(OCV)是正极和负极半电池电压叠加的结果,在锂化过程中,电压曲线在达到充电截止电压(EOCV)前不久的急剧倾斜表明负极限制了可获取容量的值。本文分析了在起始寿命(BOL)下C/10和C/3放电的初始dSOC/dV曲线的计算结果,并比较不同C率下的IC曲线,可以发现在C/3时,与C/10的放电峰相比,其相位平衡峰略有水平偏移。IC峰的强度下降,表明在2.3-2.4V的电压范围内,可获取容量下降。由于LTO在两相转化区的恒定电压,负极表现为一个参考电位。因此可以得出结论,IC曲线中的峰值可以完全归属于正极,而每个峰值都代表正极的相位平衡。

图1. 基于C/10和C/3放电的一个测试电池的示范性电压和IC曲线均在25℃下测量的。a) 电压曲线和b) IC曲线。
2. 存储老化
对于具有相同测试条件的电池,进行电池存储老化的研究(图2),描述了其标准偏差和平均值,其中平均值被用于进一步的研究。可以看出,当温度为55℃,SOC = 100%时,电池老化迅速。180 d后,容量下降了4.25%,内阻增加了5.84%。此外,由于气体效应,在这些条件下存储的电池经历了显著的体积膨胀。为了防止临界行为(如电解质的泄漏),在这些条件下的测量必须中止。在进一步的文献查找中也观察到LTO电池在高温下的充电过程,伴随着容量的损失和内阻的增加。在55℃和100% SOC条件下储存180天后,电池厚度相比于起始厚度的相对增加量为20.5%。相比之下,在55℃和90% SOC条件下储存600天后,电池的相对厚度增加了18.2%。然而,对于所有其他储存的电池来说,由于析气变得明显,没有明显的体积膨胀。考虑到整个存储老化行为,本文确定了这类电池的一个特殊特征。只有在高温和高SOC的共同影响下,才会显著加速电池的老化。高温或高SOC的单独影响仅产生很小甚至没有老化影响,其中还可能得到容量的可逆性增加。本文的测量结果再次证明了LTO电池在正常运行条件下的显著稳定性。

图2. 存储老化的测量数据。平均值用标准偏差绘制,并归一化到初始值。
3. 循环老化
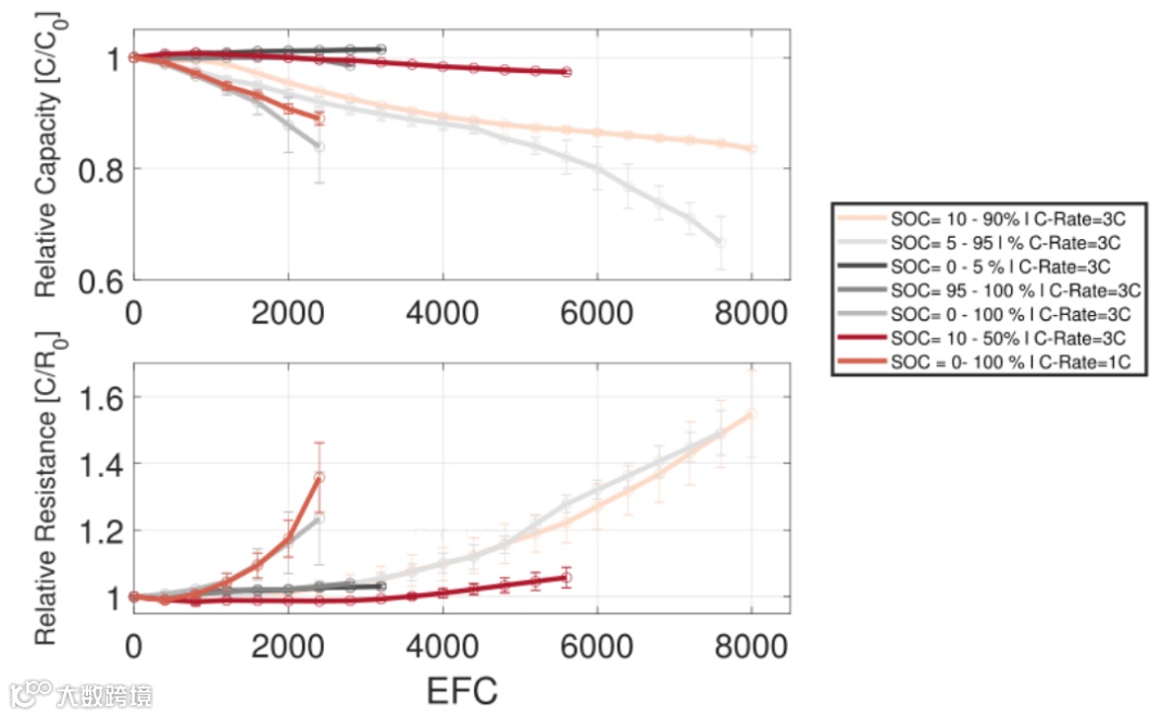
本文给出了在等效完整周期(EFC)量上绘制的循环测量结果(图3)。同样,对具有相同测试点的电池的标准差和平均值进行了描述,并将平均值用于进一步的研究。容量归一化为C/3放电时初始测量的可获取容量,而内阻值归一化为50% SOC时初始10s后4C脉冲电阻。与存储老化结果相比,一些测试的循环老化测量结果表明,在相同条件下运行的电池之间的容量偏差更大。在达到一定的降解水平后,这一点变得明显,特别是在高放电深度(DOD>90%)。在3C时DOD = 100%进行的测量,在进行1200 EFC后,容量的标准偏差为1.07%,在进行2400 EFC后增加到6.53%。这一偏差远高于已确定的2.3%电池间变化。原因一方面可以归因于测量的设置;另一方面,在电池老化过程中,故障的性质导致一定程度的非可预测的强衰减机制。关于测量的设置,三个串联的测试单元中最弱的单元限制了整个串联的吞吐量。这种影响继续延伸,在某些时候,最弱电池的容量衰减与其他连接的电池相比要高得多,这导致无法达到预期的放电深度。这种自我强化的误差随着最弱电池的老化水平提高而增加,当剩余的可用容量达到大约85%以下时,这种误差就变得非常明显了。在DOD=100%的情况下,在3C条件下循环的电池的老化程度最高。在2400次EFCs之后,容量下降了16.07%,内阻增加了23.5%。DOD和降解水平之间有一个明确的关系是可以确定的。对于高放电深度,与在低放电深度下进行的测量相比,容量下降和内阻增加的速度快了几倍。总的来说,LTO电池展现出很高的循环稳定性,尤其是在DOD低于50%的情况下进行循环。可以看出,循环老化在高放电深度下很明显,这与对其他类型的LIBs进行的各种研究结果一致。在容量衰减和电阻增加方面,DOD为100%时,老化的进展最为迅速。此外,电池在以较高的倍率循环时经历了更快的容量损失,而内部电阻增加显示了相反的行为,并随着倍率的降低而增加。

图3. 循环老化测量数据。平均值与标准偏差标绘并归一化到初始值。
4. 存储和循环IC曲线分析
分析在不同存储温度(35℃、45℃和55℃)下,SOC = 100%的所有存储老化测量IC曲线(图4)。如前所述,在两相转变区域,负极有一个恒定的电压平台。因此,峰1和峰2的强度下降和位移可以完全归因于NMC/LCO正极的降解。考虑到峰值1,随着温度的升高,强度有相当小的下降,这表明在测量持续时间内没有明显的变化。由此得出结论,在一般操作条件范围内,温度对NMC部分的影响可以忽略不计。因此,LCO部分(峰2)是更重要的,并清楚地显示最强的强度下降。峰值强度相对于初始峰值高度的相对降低量作为进一步比较的参考值。在35℃下测量,654天后峰值强度相对于初始峰值高度下降16.37%。在45°C时,644天后强度下降了一倍多,达到35.69%。在55℃进行的测试中,降幅最大。仅在187天后,相对峰值强度下降了38.16%,并伴随着产气导致的体积快速膨胀,再次证明了容量衰减的强烈温度依赖性。因此得出结论,正极的LCO失去活性物质的量(LAMPE,LCO)是导致峰值2强度降低和相关容量损失的主要原因。这可以归因于LCO的热不稳定性,导致氧的释放,这也是测试电池膨胀的主要原因。从接近EOCV时陡峭度的急剧增加可以得出结论,负极限制了可获取的容量,从而限制了老化行为,特别是在BOL时。只要正极的容量超过负极的容量,这一点就有效。然而,当正极降解达到一定程度后,正极将开始限制可提取容量的数量,导致老化梯度出现拐点,这个拐点将导致快速的容量衰减,而这主要受正极影响。基于这些初步考虑,作者预测了一个两阶段的老化过程,第一阶段是LAMNE容量限制过程,第二阶段是LAMPE主要容量限制过程。对于表现出初始容量增加的电池,提到的两阶段老化行为需要用一个额外的阶段来扩展。在这种情况下,只有 LAMPE的数量必须超过相对容量增益,才会产生明显的老化现象。因此,在这种情况下,三阶段老化机制似乎更适用,有一个初始容量增益阶段。特别是在这些情况下,当第二阶段达到拐点时,可以预期有更强的容量衰减,在这个阶段,退化率会迅速下降。这两种老化机制都可以通过考虑循环老化测量的结果来说明。
不同DOD下循环测量的IC曲线如图5所示。为了进行更好的比较,调整EFC为2800次,这相当于执行EFC的最低数量的操作点(DOD = 5%)。而图7中DOD = 5% (SOC = 95 - 100%) IC曲线中LCO峰的循环深度最低,降解最强。这与之前的观察相一致,即高的有机碳水平加上升高的温度,将对LCO降解产生最大的影响。考虑到在相同DOD = 5%但不同循环SOC范围(SOC = 0-5%)下的测量IC曲线,进一步验证了这一点。IC曲线表明,峰1和峰2没有明显的衰减,但峰3增加了,这使得容量增加了1.3%,与存储老化相似。进一步的,随着DOD的增加,NMC 1和LCO峰2的强度明显降低,表明在脱嵌锂过程中的机械应力导致了LAMPE,NMC和LAMPE,LCO。

图4. 在35℃、45℃和55℃三个不同的环境温度下,在恒定的存储SOC=100%时,存储老化测量的IC曲线的变化。(a) 在T=35℃和SOC=100%的IC曲线。(b) T=45℃和SOC=100%时的IC曲线。(c) 在T=55℃和SOC=100%时的IC曲线。在恒定温度T=55℃下,五个不同存储SOC下的存储老化测量的IC曲线的变化。(d)T=55℃和SOC=0%时的IC曲线。(e)在T=55℃和SOC=10%时的IC曲线。(f)在T=55℃和SOC=50%时的IC曲线。(g) T=55℃和SOC=80%时的IC曲线。(h)在T=55℃和SOC=90%时的IC曲线。

图5. 在不同的DOD和T=45℃的3C循环老化测量中,IC曲线的变化。(a) DOD=5% (SOC=95 - 100%) 的IC曲线。(b) DOD=5%(SOC=0 - 5%)的IC曲线。(c) DOD=40%(SOC=10 - 50%)的IC曲线。(d) DOD=80%(SOC=10 - 90%)的IC曲线。(e) DOD=90% (SOC=5 - 95%) 的IC曲线。(f) 7200次EFC后DOD=90%(SOC=5-95%)的IC曲线。
5. 基于机器学习的容量估计
为了估计电池老化过程中容量的减少,作者基于所给出的IC曲线建立了RNN-LSTM模型。LSTM模型由4个包含64个隐藏节点的双向LSTM层和3个包含128、128和16个隐藏节点的全连接层组成。选取存储老化电池和循环老化电池作为神经网络概念验证的数据集。从所有43个电池中随机选取15个存储老化电池和12个循环老化电池作为训练数据集,其余4个存储老化电池和2个循环老化电池作为模拟数据集(图6)。测试数据集容量估计的平均绝对百分比误差(MAPE)和均方误差(MSE)略大于训练数据集的MAPE和MSE,但仍然很小,突出了基于机器学习的ICA数据容量估计模型的准确性和性能。

图6. 阐述了LSTM模型的容量估计。(一)模拟数据集。(b)测试数据集。
本文对43个LTO细胞的循环老化和存储老化结果进行了讨论。研究表明,由于LTO具有明显的存储和循环寿命行为,使用LTO作为参考负极可以有效地跟踪正极降解。通过考虑不同工作条件下的IC曲线,并根据特定的衰减机理确定特征峰,分析了电极级老化的原因。本文分析表明,由于LAMPE的原因,正极对电池降解的影响是最显著的。在存储老化测量中,LAMPE,LCO表现出最强烈的衰减,主要发生在高SOC和高温联合作用下,而温度和SOC单独影响没有加速老化行为。此外,电池的体积膨胀变得明显,为了优化操作,考虑到安全性和寿命,应该避免这种状态。循环老化测试表明,正极上的机械应力导致了LAMPE,NMC和LAMPE,LCO。随着DOD的增加,降解变得更强。此外,EFC的增加导致EOCV区域附近IC的曲线特性呈急剧下降趋势,这表明正极确实限制了从该点开始的容量获取。作者还基于所给出的IC曲线,建立了RNN-LSTM机器学习模型,通过在模拟过程中改变某些电极参数,以确定可能得到的潜在优化。


