锂离子电池生产过程中遇到的各种问题实例
电池中的对立面
低容的思路分析
浅谈六西格玛设计
影响锂离子电池循环性能的几个因素
设计中制定公差的注意事项
低容的制程分析
涂布关键技术-水系负极缩孔
电解液缺失对电芯性能的影响
浆料匀浆生产工艺在中国的现状
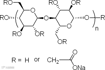
羧甲基纤维素钠的理解
涂布中的各类问题
锂电电解液的价格
锂电负极-AGP-8
自放电原因解析
陶瓷涂覆隔膜
锂电中三原色之黄色
草酸在油系负极中的应用
锂电工艺-预化成
锂电材料-铜箔
锂电设计-阴阳论
关于正负极配比问题
怎么样检测隔膜
锂电材料-导电剂篇
锂电材料-终止胶带
电动自行车用锂电池成本-铁锂
锂电隔膜-国外
如何回避使用日系材料
锂电正极-锰酸锂
动力电池-国外方案
低温电池零下40度放电解决方案
不过,既然用了分散剂,却还是这么差,确实让人纳闷。
一个好习惯,帮我锁定了目标:
附上链接:http://www.cd-ydl.com/index.php?go=article-26.html,
由于在抽真空时,液体成分也会随着气体被抽走,真空度越高,流失得越多,从而造成配方比例失衡,粘度变大;
由于在抽真空时,浆料体积变大,物料密度变小,分散及搅拌的效率变低。
以上的不当操作会严重影响浆料的质量及轴承的寿命。可惜的是,客户却一意孤行,不听劝阻。
D50:12
BET:2.5
灰分:小于0.05%
层间距:3.358
铁含量:小于30ppm
振实密度:1.0
设计容量:大于350
2、推荐配方(均为水系)
a、高功率体系:AGP-8 93.5% + SP 2.5% + CMC 1.5% + SBR 2.5%
b、高容量体系:AGP-8 95.5% + SP 1.0% + CMC 1.0% + SBR 2.5%
该材料也可用于油系,效果也很好。
3、工艺参数
压实密度:1.60--1.70
4、注意事项
引起物理微短路的情况很多,分为如下几种:
很多厂家自放电大的电池拆开来都会在隔膜上发现黑点,中间位置占多数的便是粉尘击穿,边缘位置占多数的便是毛刺,这个比较好辨别;
为什么要将这个归入到这一类,其实正极的金属杂质经过充电反应后,也是击穿隔膜,在隔膜上形成黑点,也造成了物理微短路;
由于原电池的形成,负极金属杂质会游离出来,在隔膜处沉积而造成隔膜导通,形成物理微短路,国内某些低端的负极材料经常会遇见这样的情况;
例如胶纸
群里有位朋友给出了一个文献解释:水分造成电解液分解,释放出大量的电子,电子再嵌入到正极氧化结构中,从而引起正极电位下降,造成低压;
某些电解液溶剂加入后会引起电池的电压下降过快,之前我尝试过一款溶剂,加入后离子电导提升效果明显,但是自放电率比正常的溶剂快了3倍;
在存放过程中,由于仓库具有一定的温度,所以引起SEI膜的脱落和重新反应,造成电池胀气、低压等。
极耳位置过封,可能造成极耳腐蚀而消耗锂源低压;其他位置过封,可能电解液透过CPP层腐蚀铝箔,而造成铝塑膜穿孔,进入水分造成低压胀气。
确实水分会在化成阶段分解,但是其产物,譬如和锂盐反应生成的POF3,PF5等等,会在后续的充放电过程中,再度聚首反应生成水,也就是说,化成前引入的水分,有一份是一种催化剂,不停的在电池里面反应,我们也曾经做过一个实验,注液后特意漏空45min,发觉自放电率确实要快很多。
不管是负极还是正极,都有可能引起短路,因为都是一样的机理,正极含有的话,充电就会沉积到负极或者隔膜上;负极上面的也一样,如果是金属离子,注液后就离子化了,充电时同样会沉积在负极或者隔膜上,有些时候我们会发现负极析铜,也就是负极的铜发生了离子化而沉积在负极表面。
如果极片的导电剂含量过多,金黄色表现就不明显;如果CB设计过低,金黄色就会呈现泛出白色;这里,就可以根据金黄色的表现来判定电池设计是否合理。
但是如果您的PVDF没换,颜色发生改变的话,这就要注意了。
2、预化的电压设置;
3、预化的温度设置。
第二步主要是SEI膜的初步形成,建议用小电流预化到30%左右的容量;
所谓的正负极配比,说白了也就是负极到底要过量多少才合适;过量多了,造成负极浪费,但是可以提高正极的容量发挥(也就是高容);过量少了,就会有析锂的风险,而且正极容量很难发挥(也就是低容)。
2、涂布精度;
3、正负极循环的衰减速率(需要一定的经验)。
我们公司做了一个实验,将有针孔的和无针孔的同一品牌的隔膜做了测试,发现有针孔的短路率是无针孔的3倍,可见,针孔的检测是多么重要;
透气度测试用Gurley指数测试仪就好了,进口的也才4万多一台,小投资,大回报;实在不想买的就送给我帮你们测试吧,少量收取费用,哈哈。
好了,就这么多,还有什么不正确的或者遗漏的还请指正。
今后,复合型导电剂是导电剂研究的重点。
别看一个小小的胶纸,如果控制不好,可能会使您的企业造成巨大损失;
正极活性物质LFP用量大约85g,按照市价70元/Kg计算,活性物质成本为5.95元,占材料理论总成本的22.3%;
四大主材的成本占了电芯理论总成本的75%,符合常规电芯的设计了;
根据个人近8年的技术经验,该材料体系做成的电池,常温0.5C充放循环1000次不成问题。
含上20%毛利的报价也就600元多一点。
HF酸的侵蚀也会加速锰的溶解;
3、电解液添加剂更新。

