12月29日,国家能源局华中监管局发布关于印发《西藏电力辅助服务管理实施细则》《西藏电力并网运行管理实施细则》(下文简称西藏《两个细则》)的通知。
西藏《两个细则》中提到,装机容量10MW及以上的风电(含风储)、光伏(含光储)、储能容量10MWh及以上独立电化学储能(压缩空气、飞轮可参照执行)等新型储能,可为系统提供电力辅助服务。
有偿调峰,储能电站按调峰困难时段(11:00-16:00)所储存的电量的一定比例给予补偿;有偿一次调频,按贡献电量进行补偿。
西藏《两个细则》对储能的性能等提出了考核要求,包括一次调频考核、AGC性能考核等。西藏《两个细则》规定从2023年5月1日起实施。
国网西藏电力有限公司,华能西藏雅鲁藏布江水电开发投资有限公司、国家能源集团西藏分公司、国家电投集团西藏分公司、华电西藏能源有限公司、西藏开发投资集团有限公司、协和新能源西藏分公司、西藏旁多水利发电有限责任公司,西藏电力交易中心有限公司,西藏区调及地调各有关并网主体:
根据《国家能源局关于印发<电力并网运行管理规定>的通知》(国能发监管规〔2021〕60号)、《国家能源局关于印发<电力辅助服务管理办法>的通知》(国能发监管规〔2021〕61号)等有关文件,我局组织制定了《西藏电力辅助服务管理实施细则》和《西藏电力并网运行管理实施细则》,现予印发,并自2023年5月1日起实施,请遵照执行。
附件:1.西藏电力辅助服务管理实施细则
2.西藏电力并网运行管理实施细则
国家能源局华中监管局
2022年12月27日
第一条 为保障西藏电力系统安全、优质、经济运行,规范西藏并网主体电力辅助服务管理,根据《国家能源局关于印发<电力并网运行管理规定>的通知》(国能发监管规〔2021〕60号)、《国家能源局关于印发<电力辅助服务管理办法>的通知》(国能发监管规〔2021〕61号)和国家有关法律法规,结合西藏电力系统实际,制定本细则。
第二条 本细则所称辅助服务是指为维护电力系统的安全稳定运行,保证电能质量,除正常电能生产、输送、使用外,由并网主体提供的辅助服务,包括:一次调频、调峰、自动发电控制(AGC)、无功调节、备用、黑启动等。
第三条 本细则适用于西藏区、地两级调度机构装机容量20MW及以上的直调水电、地热、生物质电站,装机容量10MW及以上的风电(含风储)、光伏(含光储)、光热场站等发电侧并网主体,储能容量10MWh及以上独立电化学储能(压缩空气、飞轮可参照执行)等新型储能,传统高载能工业负荷、工商业可中断负荷、电动汽车充电网络等能够响应电力调度指令的可调节负荷(含通过聚合商、虚拟电厂等形式聚合)等负荷侧并网主体的电力辅助服务管理。煤电、燃机、燃油机组、自备电厂暂不参与。电网公司所属电厂同等参与提供辅助服务,暂不参与结算。
第四条 新建发电厂完成以下工作之后的当月开展辅助服务管理。水力并网主体按《水电工程验收规程》(NB/T 35048-2015)要求完成负荷连续运行时纳入。风力发电场、光伏发电站分别按《风力发电场项目建设工程验收规程》(GB/T 31997-2015)、《光伏发电工程验收规范》(GB/T 50796-2012)、《风光储联合发电站调试及验收标准》(GB/T 51311-2018)完成工程验收,第一台风电机组或逆变器并入电网时纳入。电化学储能电站按照《电化学储能系统接入电网技术规定》(GB/T 36547-2018)、《电化学储能系统接入电网测试规范》(GB/T 36548-2018)要求完成接入电网且具备结算条件之后纳入;可调节负荷按照《可调节负荷并网运行与控制技术规范》(DL/T 2473.1-2022)~《可调节负荷并网运行与控制技术规范》(DL/T 2473.13-2022)要求完成接入电网且具备结算条件后纳入。其它并网主体原则上自基建调试完成交付生产运行之日纳入。
第五条 能源监管机构负责对辅助服务的调用、考核及补偿等情况实施监管。电力调度机构按照调度管辖范围具体实施辅助服务的调用、考核和补偿情况统计等工作。
第六条 已通过辅助服务市场交易的品种,在辅助服务市场运行期间执行辅助服务市场规则相关规定,在本细则中不重复补偿。
第八条 基本辅助服务是指为了保障电力系统安全稳定运行,保证电能质量,并网主体必须提供的辅助服务,包括一次调频、基本调峰、基本无功调节。基本辅助服务不进行补偿。
(一)基本一次调频是指当电力系统频率偏离目标范围为小扰动时,并网主体通过调速系统的自动反应,新能源和新型储能等并网主体通过快速频率响应,调整有功出力减少频率偏差所提供的服务。
(二)基本调峰是指发电侧并网主体、新型储能在规定的出力调整范围内,为了跟踪负荷的峰谷变化及可再生能源出力变化而有计划的、按照一定调节速度进行的发用电功率调整所提供的服务。
水电机组的基本调峰能力为其额定容量的45%(基本调峰下限为其额定容量的45%,基本调峰上限为当前水头下的机组技术允许出力);生物质、综合利用机组按实际能力提供基本调峰。风电、光伏等并网主体在电网安全受到影响时,应参与系统调峰。
(三)基本无功调节是指发电侧并网主体、新型储能在一定的功率因数范围内向电力系统注入或吸收无功功率所提供的服务。
水电机组在发电工况时,在迟相功率因数0.9至1范围内向电力系统发出无功功率或在进相功率因数0.97至1范围内从电力系统吸收无功功率所提供的服务。风电场风电机组、光伏电站并网逆变器在发电工况时,在迟相功率因数0.95至1范围内向电力系统发出无功功率或在进相功率因数0.95至1范围内从电力系统吸收无功功率所提供的服务。
第九条 有偿辅助服务是指并网主体在基本辅助服务之外所提供的辅助服务,包括自动发电控制(AGC)、有偿调峰、有偿无功调节、有偿旋转备用、黑启动等。
(一)自动发电控制(AGC)是指并网主体通过自动功率控制技术,包括自动发电控制(AGC)、自动功率控制(APC)等,跟踪电力调度机构下达的指令,按照一定调节速率实时调整发用电功率,以满足电力系统频率、联络线功率控制要求的服务。
(二)有偿一次调频是指当电力系统频率偏离目标范围为大扰动时,并网主体合理利用各类频率调节办法,短时间内快速改变出力,以满足电力系统频率安全要求的服务。
(三)有偿调峰是指发电侧并网主体按电力调度指令超过基本调峰范围进行的深度调峰;新型储能放电功率低于基本调峰下限或者处于充电状态进行调峰;可调节负荷上调用电功率,增加用电所提供的服务。
(四)有偿无功调节是指并网主体在迟相功率因数低于额定值(水电为0.9,风电、光伏为0.95)的情况下向电力系统发出无功功率,或在进相功率因数低于额定值(水电为0.97,风电、光伏为0.95)的情况下从电力系统吸收无功功率,以及并网主体在调相工况运行时向电力系统发出或吸收无功功率所提供的服务。
(五)有偿旋转备用是指为了保证可靠供电,电力调度机构指定的并网主体通过预留一定的发电容量所提供的服务。
(六)自动电压控制(AVC)服务是指并网主体在规定的无功调整范围内,自动跟踪电力调度指令,实时调整无功出力,为满足电力系统电压和无功控制要求所提供的服务。
(七)黑启动是指电力系统大面积停电后,在无外界电源支持情况下,由具备自启动能力的并网主体所提供的恢复系统供电的服务。
(八)稳定切机服务是指电力系统发生故障时,稳控装置正确动作后,并网主体自动与电网解列所提供的服务。
第十条 对于因电厂自身原因造成被迫开、停机的情况,将一律不参与调峰和备用补偿。
第十一条 并网主体有义务提供辅助服务,且应履行以下职责:
(一)提供基础技术参数以确定各类辅助服务的能力,提供有资质单位出具的辅助服务能力测试报告。
(二)负责厂内设备的运行维护,确保具备提供符合规定标准要求的辅助服务的能力。
(四)配合完成参数校核,并认真履行辅助服务考核和补偿结果。
第十二条 为保证电力系统平衡和安全,辅助服务的调用遵循“按需调用”的原则,由电力调度机构根据并网主体特性和电网情况,合理安排并网主体承担辅助服务,保证调度的公开、公平、公正。
第十三条 电力调度机构调用并网主体提供辅助服务时,应履行以下职责:
(一)根据电网情况、安全导则、调度规程,根据“按需调度”的原则组织、安排调度管辖范围内并网主体的辅助服务。
(二)根据相关技术标准和管理办法对辅助服务执行情况进行记录和计量、考核和补偿情况统计等工作。
(五)定期对辅助服务的有关情况进行统计分析并报送能源监管机构。
第十四条 对基本辅助服务不进行补偿,当并网主体因自身原因不能提供基本辅助服务时需接受考核。对有偿辅助服务进行补偿,当并网主体因自身原因不能被调用或者达不到预定调用标准时需接受考核。具体考核办法见《西藏电力并网运行管理实施细则》。
第十五条 有偿调峰服务补偿,在调峰困难时段(11:00-16:00),水电站发电出力低于并网机组基本调峰下限之和的,按低于并网机组基本调峰下限之和的少发电量给予补偿;储能电站按调峰困难时段(11:00-16:00)所储存的电量的一定比例给予补偿。
每台机组每5分钟按以下规则计算补偿:水电站实际出力<并网机组基本调峰下限之和(上下不浮动),则补偿;储能电站储存电力,则补偿。如水电站因机组设备问题造成实际出力低于基本调峰下限,不予补偿。
运行调峰补偿费用:


第十六条 自动发电控制(AGC)按照单元(单机、全厂或多个并网主体组成的计划单元)参与所在控制区频率或者联络线偏差控制调节(ACE)的,对其贡献量进行补偿。自动发电控制(AGC)投其它控制模式的,不对其调节电量进行补偿。


对满足大扰动性能指标要求的发电侧并网主体、独立电化学储能(压缩空气、飞轮可参照执行)等新型储能给予补偿。补偿标准如下:
F补偿=1000×M×Hi1(MWh)×18元/MWh
式中:M = QUOTE 0;KI>150%或Q合格率<75% 1;
KI≤150%且Q合格率≥75% QUOTE 0;

Ki1为每次大扰动合格事件贡献率、Hi1为发电侧并网主体每次大扰动合格事件的调频实际贡献电量。
(一)有偿无功服务按机组计量。每台机组每5分钟按以下规则计算补偿:
(1)当机组迟相运行,机组及全厂的功率因数小于规定的范围,按无功增量补偿。
(2)当机组进相运行,机组及全厂的功率因数小于规定的范围时,且不超过电力调度机构下发的发电机组进相规定值,按无功增量补偿。
当机组迟相运行,机组及全厂的功率因数小于规定的范围,按无功增量补偿。
(2)当电厂母线运行电压越电压曲线限定值的上限时:
当机组进相运行,机组及全厂的功率因数小于规定的范围时,且不超过电力调度机构下发的发电机组进相规定值,按无功增量补偿。

提供有偿无功电量(MVarh)=无功增量×5/60
有偿无功补偿费用(元)=提供有偿无功电量(MVarh)×50元/MVarh
(二)水电机组在低负荷调相运行工况下提供有偿无功服务,其补偿费用(元)=Y调相×PN×t调相,其中,PN为发电机组额定容量(单位为MW),t调相为机组调相运行时间(单位为小时),Y调相为调相运行补偿标准取20元/MW。t调相依据电力调度机构要求机组调相运行的起始和结束时间来计算。
第十九条 装设AVC装置的机组AVC投运率在98%以上,按机组容量和投用时间进行补偿,低于上述指标的不进行补偿:
式中,PN为机组容量(MW);YAVC为AVC补偿标准,取0.1元/MWh;TAVC为机组AVC投用时间,单位为小时。
对承担系统旋转备用的水电机组在丰水期时段(16:00-次日11:00)所提供的系统必须旋转备用予以补偿。各电厂每5分钟按以下规则计算旋转备用贡献量和补偿费用:
电力调度机构按照电网结构指定黑启动机组,与黑启动机组所在发电公司签订黑启动服务合同,合同中应明确机组黑启动技术性能指标。提供黑启动服务的发电机组应每年做一次黑启动试验,向电力调度机构提交黑启动试验报告。
对提供黑启动服务的机组按5000元/月给予补偿;黑启动成功后获得50万元/次的调用补偿费用。待条件具备后根据电网运行需要以市场竞价方式确定黑启动服务。
若在电力系统发生事故或其它紧急情况需要被指定的黑启动电源以外的其它并网主体(不限《两个细则》参与主体)提供黑启动服务,并且黑启动成功的,一次性补偿该电站50万元的调用补偿费用和12个月黑启动补偿资金。指定黑启动电源以外的电站不参与黑启动考核。待条件具备后根据电网运行需要以市场竞价方式确定黑启动服务。
第二十二条 电力用户签订的带负荷曲线电能量交易,应承担相应电力辅助服务的责任和费用,参照发电企业标准进行补偿和分摊,随电力用户电费一并结算。
第二十三条 并网主体必须接受电力调度能量管理系统(EMS)监视和控制,提供的辅助服务技术参数须经有资质试验单位校验确认。
第二十四条 辅助服务统计数据包括电能量计量采集装置数据、电力调度自动化系统记录的发电负荷指令和省(市)间联络线交换功率指令、实际有功(无功)出力,日发电计划曲线(含修改)、省(市)间联络线交换功率曲线、电网频率、电压曲线等。
第二十五条 辅助服务补偿费用由电网企业单独记账,实行专项管理。并网主体所有考核费用全部用于补偿提供有偿辅助服务的电厂,辅助服务补偿费用不足部分按当月各发电侧并网主体实际上网电量比例分摊,富余部分按当月考核费用等比例返还。
第二十六条 根据各并网主体上月并网运行应考核费用、辅助服务应补偿费用及应分摊费用,计算出各并网主体上月最终应获得或应支出的费用,由电网企业根据结算关系,与并网主体月度电费一并结清。当月上网电量不足扣罚考核电量的发电侧并网主体,剩余部分记账顺延至次月结算。
第二十七条 信息披露应当遵循真实、准确、完整、及时、易于使用的原则,披露内容应包括但不限于考核/补偿/分摊、具体品种、调度单元等信息类型。信息披露主体对其提供信息的真实性、准确性、完整性负责。
第二十八条 每日10:00前,电力调度机构应向所有并网主体披露前一日辅助服务相关信息。每月3日前(节假日顺延),电力调度机构应向所有并网主体披露各并网主体上月各项辅助服务补偿情况。每个并网主体的相关信息均应向所有并网主体公布,确保运行结果公允,运行结果可追溯。各并网主体应在每月8日前完成初步核对,如存在异议,应在每月8日前向电力调度机构提出复核申请。
第二十九条 电力调度机构应在每月10日前向电力交易机构推送各并网主体上月辅助服务补偿费用、分摊费用、结算费用等信息。电力交易机构应在每月10日前通过信息披露平台向所有并网主体公示。信息披露平台不具备公示条件时,可暂由电力调度机构向所有并网主体披露。并网主体对结算结果有疑问,应在3个工作日内向相应电力调度机构提出复核。电力调度机构应在接到并网主体复核申请的3个工作日内进行核实并予以答复。
第三十条 若发生异议,确需调整结算结果的,电力调度机构应立即报告能源监管机构,调整结果应重新公示3个工作日。无异议后,电力调度机构将结果盖章推送给电力交易机构,电力交易机构出具结算依据。未经公示不得进行结算。特殊情况下,结果需要能源监管机构审核发文的,电力调度机构将结果报送能源监管机构,电力交易机构根据能源监管机构文件出具结算依据。
第三十一条 电力交易机构负责通过信息披露平台向所有市场主体披露相关考核和补偿结果,制定信息披露标准格式,开放数据接口。
第三十二条 电力调度机构会同电力交易机构在每月25日前以正式文件向能源监管机构报送上月电力辅助服务管理分析报告和补偿分摊结果。
第三十三条 能源监管机构负责西藏电力辅助服务管理,组织建设电力辅助服务市场,组织电网企业和并网主体确定电力辅助服务补偿标准或价格机制,调解电力辅助服务管理争议,监管电力辅助服务管理实施细则和市场交易规则的执行、电力辅助服务的需求确定和评估实际执行效果等工作。
第三十四条 并网主体对辅助服务调用、统计和补偿等情况有疑问,经与电力调度机构协商后仍有争议的,可以向能源监管机构提出申诉,由能源监管机构依法协调或裁决。
第三十五条 电力调度机构、电力交易机构应将辅助服务管理信息接入华中能源监管局的监管信息系统。
第三十六条 能源监管机构结合实际情况和相关问题线索,可以采取现场或非现场方式对本细则执行情况开展检查,对违反本细则行为依法依规进行处理。任何单位和个人对违反本细则的行为,有权向能源监管机构举报。
第三十七条 电力调度机构应严格按照本细则实施并网主体辅助服务管理,不得擅自调整算法和参数,不得违规减免考核,确保数据真实、准确和及时,应保存辅助服务管理数据至少两年。
第三十九条 本细则自2023年5月1日起实施,有效期三年。
第一条 为保障西藏自治区电力系统安全、优质、经济运行,维护电力企业的合法权益,促进电网经营企业和并网主体协调发展,根据《国家能源局关于印发<电力并网运行管理规定>的通知》(国能发监管规〔2021〕60号)、《国家能源局关于印发<电力辅助服务管理办法>的通知》(国能发监管规〔2021〕61号)和国家有关法律法规、行业标准,结合西藏电力系统实际情况,制定本实施细则。
第二条 本细则适用于西藏区、地两级调度机构装机容量20MW及以上的直调水电、地热、生物质电站,装机容量10MW及以上的风电(含风储)、光伏(含光储)、光热场站等发电侧并网主体,储能容量10MWh及以上独立电化学储能(压缩空气、飞轮可参照执行)等新型储能,传统高载能工业负荷、工商业可中断负荷、电动汽车充电网络等能够响应电力调度指令的可调节负荷(含通过聚合商、虚拟电厂等形式聚合)等负荷侧并网主体的电力并网运行管理。煤电、燃机、燃油机组、自备电厂暂不参与;电网公司所属电厂参与考核,暂不参与结算。
第三条 新建并网主体完成以下工作之后的当月开展并网运行管理。水力发电机组按《水电工程验收规程》(NB/T 35048-2015)要求完成负荷连续运行时纳入。风力发电场、光伏发电站分别按《风力发电场项目建设工程验收规程》(GB/T 31997-2015)、《光伏发电工程验收规范》(GB/T 50796-2012)、《风光储联合发电站调试及验收标准》(GB/T 51311-2018)完成工程验收,第一台风电机组或逆变器并入电网时纳入。电化学储能电站按照《电化学储能系统接入电网技术规定》(GB/T 36547-2018)、《电化学储能系统接入电网测试规范》(GB/T 36548-2018)要求完成接入电网且具备结算条件之后纳入;可调节负荷按照《可调节负荷并网运行与控制技术规范》(DL/T 2473.1-2022)~《可调节负荷并网运行与控制技术规范》(DL/T 2473.13-2022)要求完成接入电网且具备结算条件后纳入。其它并网主体原则上自基建调试完成交付生产运行之日纳入。
第四条 并网主体并网运行管理遵循电力系统客观规律、市场经济规律以及国家能源发展战略的要求,实行统一调度、分级管理,贯彻安全第一方针,坚持公开、公平、公正的原则。
第五条 能源监管机构依法对并网主体并网运行管理情况实施监管。电力调度机构按照调度管辖范围具体实施并网主体的并网运行管理工作。
第六条 电力调度机构按其调度管辖范围负责电力系统运行的组织、指挥、指导和协调。并网主体、电网企业应严格遵守国家法律法规、国家标准、电力行业标准以及电力调度管理规程、电气设备运行规程,共同维护电力系统安全稳定运行。
第七条 发电侧并网主体中涉及电网安全稳定运行的继电保护和安全自动装置、调度通信设备、调度自动化设备、励磁系统和电力系统稳定器、调速系统和一次调频系统、二次调频、调压、直流系统、新能源功率预测系统、水电厂水库调度自动化系统设备、高压侧或升压站电气设备以及涉及网源协调的有关设备和参数等,规划、设计、建设和运行管理应满足国家法律法规、行业标准及电网稳定性要求。有关运行和检修管理、操作票和工作票等制度,应符合国家、行业等有关规定和具体要求。其它并网主体的规划、设计、建设和运行管理应满足国家法律法规、行业标准及电网稳定性要求。
第八条 电力调度机构针对电力系统运行中存在的安全问题,应及时制定反事故措施;并网发电厂应落实电力调度机构制定的反事故措施,对并网发电厂一、二次设备中存在影响电力系统安全运行的问题,并网发电厂应与电力调度机构共同制定相应整改计划,并确保计划按期完成。对于未按期完成整改的并网发电厂,每逾期一天,每项按全厂额定容量×0.5小时计为考核电量。光储电站额定容量按照光伏板额定容量计算。
第九条 电力调度机构应制定防止电网大面积停电事故预案,合理设置黑启动电源,制定黑启动方案,还应针对电网方式变化和特点组织电网联合反事故演习和实施必要的黑启动试验。并网发电厂要按照所在电网防止大面积停电事故预案的统一部署,积极配合落实事故处理预案;要制定可靠完善的保厂用电措施、全厂停电事故处理预案和内部黑启动方案,报电力调度机构备案;并根据电力调度机构的要求参加电网联合反事故演习。对于未按期制定事故处理预案的并网发电厂,每逾期一天,按全厂额定容量×1小时计为考核电量,月累计考核电量不超过并网发电厂全厂当月上网电量的1%;对于无故不参加电网联合反事故演习的并网发电厂,按全厂额定容量×2小时计为考核电量。
电力调度机构确定为黑启动电源的发电厂,因电厂原因不能提供黑启动(不含计划检修),扣罚该厂当月黑启动补偿资金,并按全厂额定容量×2小时计为考核电量。
电力调度机构检查发现电厂不具备黑启动能力,而电厂隐瞒不报的,扣罚该电厂前12个月黑启动补偿资金并按全厂额定容量×24小时计为考核电量。
电力调度机构在系统发生事故或其它紧急情况需要确定为黑启动电源的发电厂提供黑启动服务,而电厂无法提供该服务或无法达到合同约定的技术标准,扣罚该电厂前24个月黑启动补偿资金,按全厂额定容量×48小时计为考核电量,并追究电厂相应责任。
第十条 并网主体发生事故后,应积极配合调查和分析,并提供所需的故障录波数据、事故时运行状态和有关数据资料。并网主体拒绝配合的,拒不改正的或者提供虚假材料、隐瞒事实的,按全厂额定容量×1小时计为考核电量。
第十一条 并网主体应与电网企业根据平等互利、协商一致和确保电力系统安全运行的原则,参照国家能源局和国家工商总局制订的《并网调度协议》《购售电合同》等示范文本及时签订并网调度协议和购售电合同,无协议(合同)不得并网运行。合同签订后按能源监管机构要求备案。双方达不成协议的,由能源监管机构协调。
第十二条 电网企业和并网主体应按照《电力企业信息报送规定》(国家电监会13号令)《电力企业信息披露规定》(国家电监会14号令)等文件要求及时报送和披露相关信息。
第十三条 并网主体应严格服从所属电力调度机构的指挥,迅速、准确执行调度指令,不得以任何借口拒绝或者拖延执行。接受调度指令的并网主体值班人员认为执行调度指令将危及人身、设备或系统安全的,应立即向发布调度指令的电力调度机构值班调度人员报告并说明理由,由电力调度机构值班调度人员决定该指令的执行或者撤销。
并网主体出现下列情况之一者,每次视情节计算考核电量,并报能源监管机构备案:
1.不执行或无故拖延执行调度指令,按全厂额定容量×1小时计为考核电量;
2.在调度管辖设备上发生误操作事故,未在2小时内向电力调度机构汇报事故经过或谎报,按全厂额定容量×1小时计为考核电量;
3.未经电力调度机构同意,擅自改变调度管辖范围内一、二次设备的状态,以及与电网安全稳定运行有关的机组调速系统(一次调频)或一次调频控制系统、励磁系统(包括PSS)、新能源储能场站变流器、高频切机、低频切机、安全稳定控制装置、AGC、AVC、相量测量装置(PMU)、继电保护装置、安全防护设备等的参数或整定值(危及人身及主设备安全的情况除外),按全厂额定容量×0.5小时计为考核电量;
4.风电场、光伏电站因继电保护或安全自动装置动作导致解列的风电机组或光伏逆变器,不得擅自启动并网,未经电力调度机构值班调度员同意擅自并网的,每次按照全场(站)额定容量×5小时计为考核电量;
5.调度管辖设备发生事故或异常,10分钟内未向电力调度机构汇报(可先汇报事故或异常现象,详细情况待查清后汇报),按全厂额定容量×0.3小时计为考核电量;
6.未如实向电力调度机构报告调度指令执行情况,按全厂额定容量×0.3小时计为考核电量;
7.未如实向电力调度机构反映设备运行状态或运行信息,按全厂额定容量×0.2小时计为考核电量。
第十四条 电力调度机构对风电场、光伏电站功率预测结果按日进行统计、考核,发电受限时段、经电力调度机构批准同意的功率预测相关系统检修期间功率预测结果不计入考核。光储电站以“白天(09:00-19:00)储存,夜间发电”模式运行的,功率预测暂不参与考核(光储电站应上传调度机构储能装置电池SOC曲线,进行实时监控电池运行状态)。
1.风电场次日0-24h日前功率预测准确率应大于等于80%,小于80%时按以下公式考核:
超短期预测准确率日考核电量=(90%-准确率)×PN×0.2(小时)
其中:PMi为i时刻的实际功率,PPi为超短期功率预测第4小时(i时刻)预测值,Cap为光伏电站可用容量,n为发电时段样本个数,PN为光伏电站额定容量。
第十五条 并网主体应参与电力系统调峰,基本调峰能力必须达到机组技术参数要求的指标。
在调度指令要求机组提供基本调峰服务,但机组无法满足基本技术要求时,按每台次缺额容量×调度要求调峰时间(小时)计为考核电量。
第十六条 发电侧并网主体、独立电化学储能(压缩空气、飞轮可参照执行)等新型储能必须具备一次调频功能。一次调频技术要求及指标计算、考核度量方法见附录。
并网主体应投入一次调频功能,不得擅自退出机组的一次调频功能。一次调频功能未投运,月考核计算方式为:
式中,W考核为一次调频考核系数,水电1%,新能源为0.5%,其它电源1%;T0为一次调频当月未投运小时数(经调度同意退出时间段可不统计),PN为并网发电机组或新能源场站并网额定容量(MW)。
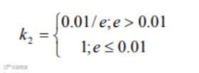
对发电侧并网主体、独立电化学储能(压缩空气、飞轮可参照执行)等新型储能实施一次调频性能考核。在电网频率发生大扰动期间进行一次调频性能考核,电网最大频率偏差<0.13Hz为小扰动,电网最大频率偏差≥0.13Hz为大扰动。机组一次调频性能考核包括K贡献率指数、响应滞后时间T指数以及调节精度T指数(详见附录)。原则上具体参数以电力调度机构PMU数据计算结果为准,机组侧PMU相关信号具备对应接入条件。
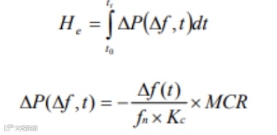
式中:若Δfsq<0.04Hz,δ死区系数取1;若Δfsq≥0.04Hz, δ死区系数取0.5。PN为机组额定容量或新能源场站并网额定容量(MW),A为0.02小时,N1为大扰动下的不合格次数(计算详见附录)。
并网发电机组(含新能源场站)传送虚假一次调频投运信号的,一经发现,每次考核电量:
式中,PN为机组额定容量或新能源场站并网额定容量(MW),T考核为1小时。
1.并网主体实际出力较低时(P水电、P新能源、P光热、P电化学储能<0.2PN)性能免考核。
2.新能源发电出力已达最大值,一次调频增出力性能免考核。
3.电化学储能系统已达到当前最大可充或可放功率时,一次调频减出力或增出力性能免考。
第十七条 发电侧并网主体、独立电化学储能(压缩空气、飞轮可参照执行)等新型储能应具有AGC功能,不具备此项功能者,每月按全厂额定容量×10小时考核;具备此项功能者但与主站未完成联调的,每月按全厂额定容量×5小时考核。
AGC的投运率和调节精度、调节范围、响应速度等应满足要求。并网主体应保证AGC设备正常运行,不得擅自退出并网机组的AGC功能。AGC服务的考核内容,包括:AGC投运时间、调节范围、调节速率、调节精度等。AGC调节过程定义见附录。
AGC的月投运率必须达到99%以上。每低于1个百分点(含不足一个百分点),按全厂额定容量×0.5小时计考核电量。经调度机构同意、非电厂原因或因新设备投运期间AGC子站配合调试原因造成的AGC装置退出时间段,不纳入考核范围。未经电力调度机构许可,在发电时段擅自退出AGC功能的,按照额定装机×20小时考核;擅自修改站内AGC参数设置导致AGC调节不满足调度要求的,每次计考核电量全厂额定容量×10小时。
AGC投运率=(AGC子站投入闭环运行时间/水电站(新能源、光热、独立电化学储能)AGC应投入闭环运行时间)×100%




T1:调节补偿时间,电化学储能:0~2秒,其它并网主体:取0~5秒。


其中,e为调节过程调节精度。调节精度算法统计机组有功首次进入调节死区后的三个机组出力点与指令的差值和机组额定容量的比值的平均值(进入死区时刻为第一个采样点),若因新的指令原因,导致本次调节过程不能继续保持,则相应取两个点的均值,若仍然取不到,则取首次进入死区点的比值。

PN:控制模式为单机模式时,PN为被控制的该单机额定容量;控制模式为全厂模式时,PN为全厂机组额定容量。机组指令及机组有功在D5000数据库中按照5秒的间隔存储。
D5000系统指令发出后,AGC调频单元在原出力点的基础上,可靠地跨出与调节方向一致的调节死区所用的时间。即:
TS和TE分别是并网主体调节开始和跨出与调节方向一致的调节死区的时刻。响应时间的单位为秒。
当机组实际负荷进入AGC指令有效死区,此次有效事件结束。单机模式:单机模式:100MW及以下为1.5MW;100MW以上为2MW;全厂模式:均为2MW。
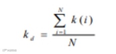
指令低于表1~表4所规定的“调节范围下限”,该调节过程的并网主体k设定为1。
