BMS(电池管理系统)中的绝缘检测电路是保障高压电池系统安全运行的核心模块,其设计需兼顾精度、成本及多工况适用性。以下从检测原理、电路设计、技术标准及实际应用等角度,对当前主流的绝缘检测电路进行详细解析:
一、绝缘检测的核心原理
绝缘电阻的定义与重要性
绝缘电阻指电池总正(Rp)、总负(Rn)对车身地的电阻值,用于评估高压回路与低压地之间的绝缘状态。若任一电阻值过低(如低于100Ω/V),可能形成漏电回路,导致触电、短路甚至火灾风险。
。检测目标
根据国家标准(如GB 18384-2020),BMS需实时监测Rp和Rn,并以较小值作为系统绝缘电阻指标。当绝缘电阻低于阈值时触发报警或切断高压回路。
二、主流绝缘检测电路及方法
1. 平衡电桥法
原理:在总正、总负对地回路中并联固定检测电阻(如1MΩ),通过比较两侧电压变化判断单端绝缘故障。
局限性:无法检测双端绝缘故障(即Rx和Ry同时降低),且当两者阻值接近时误差显著增大。
2. 不平衡电桥法
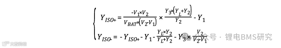
改进点:在正/负极侧分别加入开关和可变电阻,通过切换开关改变等效电路,采样多组电压值联立方程组计算Rp和Rn,可检测双端故障。

述图示电路中,增加三路开关,四个已知电阻 R1 、R2、R3、RL,,通过交替切换开关 SW1 、SW2 改变两极对地的等效电阻,得到正、负极检测电阻上不平衡的检测电压 Vsense,从而计算出正负极的绝缘电阻,正负极检测电阻上的电压随着开关切换周期变化,当某一极绝缘电阻变低时该侧检测电阻电压变小,对应另一侧检测电阻的电压变大。
① Open SW1 & SW2 & SW3 ,测量 Vbattery 正极电压 Vbat
② Close SW1 & SW3 , 等待 10ms 左右,测量 Vsense 电压,转化后记录为 V1
参考电导法与基尔霍夫电流定律:
优缺点:精度高但需多路采样开关,成本较高。
3. 改进型不平衡电桥电路
电路设计:简化传统不平衡桥电路,仅需1个采样电阻(如R4)、3个固定电阻(R1-R3)及2个隔离开关,通过三组开关状态切换获取数据。
计算流程:
状态1:计算总压Vbat;
状态2-3:闭合不同开关,获取比值参数a、b;
联立方程求解Rp和Rn,显著减少计算量。
优势:减少采样线至2根,降低硬件成本,适用600V-1500V高压系统
。
4. 多功能集成检测电路
设计目标:整合绝缘检测与总压检测功能,减少器件数量和体积。
实现方式:通过切换开关(K1-K5)重构电路拓扑,分时实现:
前端/后端总压检测;
正/负极绝缘电阻检测。
案例:东方电气的专利方案利用分压电阻和开关网络,通过同一采样模块完成多项检测,降低BMS板件复杂度
。
三、典型应用案例分析
1. 特斯拉Model 3的绝缘检测电路
拓扑结构:采用简化电桥法,正/负极各设2MΩ电阻桥臂,通过高压MOS开关接入车身地。
特点:
共用高压检测电路,减少独立元件;
使用光隔离驱动器(如ACPL-K30T)控制负极桥臂开关,解决负电压驱动问题7。
2. 行业标准与精度要求
国标要求:绝缘电阻最低阈值通常为100Ω/V(直流),检测范围覆盖0-10MΩ。
精度分级:
低阻区间(≤100kΩ):误差≤15%;
高阻区间(100kΩ-10MΩ):误差≤10%。
四、技术挑战与发展趋势
环境干扰问题:充电桩与BMS的绝缘检测可能互相干扰,需确保充电桩按标准关闭检测功能。
多电芯场景:中间电芯绝缘故障可能影响总正/负检测结果,需结合分布式监测或更复杂模型.
。趋势方向:
高集成度:融合绝缘检测、总压监测及故障诊断功能;
算法优化:采用机器学习预测绝缘劣化趋势,提升预警能力;
低成本方案:通过简化电路设计(如单采样电阻)降低硬件成本。
五、总结
当前BMS绝缘检测电路以不平衡电桥法为主流,通过开关切换和方程组求解实现高精度检测。新型设计(如集成式电路、简化采样拓扑)进一步优化了成本与可靠性。实际应用中需结合国家标准和具体工况,选择适配方案。未来随着高压平台普及,检测电路的高压兼容性及智能化将成为研发重点。

