锂离子电池充电需要控制它的充电电压,限制充电电流和精确检测电池电压。锂离子电池的充电特性与镉镍、镍氢的充电特性完全不同。锂离子电池可以在它的放电周期内任一点充电,并且可以非常有效的保持它的电荷,保持时间比镍氢电池长两倍以上。锂离子电池开始充电时,电压缓慢上升,充电电流逐渐减小,当电池电压达到4.2V左右时,电池电压基本不变,充电电流继续下降,判断锂离子电池充电是否结束的方法是利用检测它的充电电流,当它的充电电流下降至某一定值(就是我们通常说的充电截止电流)时结束充电。
例如锂离子电池的充电电流降到40mA(典型值为起始充电电流的5%左右)时结束充电,也可以在检测到锂离子电池达到4.2V时启动定时器,在一定的时延后结束充电。这时充电电路应有一个精度较高的电池电压检测电路,以防止锂离子电池过充电。需要指出的是;锂离子电池不需要涓流充电(备注:特指充电快结束后)。
锂电池充电器的基本要求是特定的充电电流和充电电压,从而保证电池安全充电。增加其它充电辅助功能是为了改善电池寿命,简化充电器的操作,其中包括给过放电的电池使用涓流充电、电池电压检测、输入电流限制、充电完成后关断充电器、电池部分放电后自动启动充电等。
锂离子电池的充电过程可以分为四个阶段:涓流充电(低压预充)、恒流充电、恒压充电以及充电终止。
锂电池充电器的基本要求是特定的充电电流和充电电压,从而保证电池安全充电。增加其它充电辅助功能是为了改善电池寿命,简化充电器的操作,其中包括给过放电的电池使用涓流充电、电池电压检测、输入电流限制、充电完成后关断充电器、电池部分放电后自动启动充电等。
锂电池的充电方式是限压恒流,都是由IC芯片控制的,典型的充电方式是:以三元锂电池充电为例,先检测待充电电池的电压,如果电压低于3V,要先进行预充电,充电电流为设定电流的1/10,电压升到3V后,进入标准充电过程。标准充电过程为:以设定电流进行恒流充电,电池电压升到4.20V时,改为恒压充电,保持充电电压为 4.20V。此时,充电电流逐渐下降,当电流下降至设定充电电流的1/10时,充电结束。下图为充电曲线。
阶段1:涓流充电--涓流充电用来先对完全放电的电池单元进行预充(恢复性充电)。在电池电压低于3V左右时采用涓流充电,涓流充电电流是恒流充电电流的十分之一即0.1c(以恒定充电电流为1A举例,则涓流充电电流为100mA),
阶段2:恒流充电--当电池电压上升到涓流充电阈值以上时,提高充电电流进行恒流充电。恒流充电的电流在0.2C至 1.0C之间。电池电压随着恒流充电过程逐步升高,一般单节电池设定的此电压为3.0-4.2V.
阶段3:恒压充电-- 当电池电压上升到4.2V时,恒流充电结束,开始恒压充电阶段。电流根据电芯的饱和程度,随着充电过程的继续充电电流由最大值慢慢减少,当减小到0.01C时,认为充电终止。(C是以电池标称容量对照电流的一种表示方法,如电池是1000mAh的容量,1C就是充电电流1000mA。)
阶段4:充电终止--有两种典型的充电终止方法:采用最小充电电流判断或采用定时器(或者两者的结合)。最小电流法监视恒压充电阶段的充电电流,并在充电电流减小到0.02C至0.07C范围时终止充电。第二种方法从恒压充电阶段开始时计时,持续充电两个小时后终止充电过程。
上述四阶段的充电法完成对完全放电电池的充电约需要2.5至3小时。高级充电器还采用了更多安全措施。例如如果电池温度超出指定窗口(通常为0℃至45℃),那么充电会暂停。充电结束后,如检测到电池电压低于3.89V将重新充电。
1.检测电池的电压,如果低于一个阈值电压,就要进行涓流充电;
2. 电池充到一定电压(一般设置为2.9V)时,进行全电流充电;
3. 当电池电压达到预置电压(锂离子电池一般为4.2V)时,开始恒压充电,同时充电电流降低;
4. 当电流逐渐减小到规定的值时,充电过程结束。
电池电压低于2.5V(Vshort)时,锂离子电池充电器用25mA的电流预充,防止深度放电的锂离子电池在快充时被损坏甚至发生危险。
对于电压过低的电池需要进行预充,电池电压低于2.5V(Vshort)时,锂离子电池充电器用25mA的电流预充,防止深度放电的锂离子电池在快充时被损坏甚至发生危险。
分享一个简单判断电池电量的方法:用测量电压的方法估算电池剩余容量
酸电池充电器能用来充锂电池么?
由于铅酸电池充电器一般设置为两段式或三段式充电模式,锂电池与铅酸电池的电压等级是不匹配的。而锂电池也有很多种,电池性能及电池保护板参数都有可能不一样。因此锂电池并不像铅酸电池一样,有通用型的电池充电器。通常来说,锂电池出厂时都配有专用充电器。为了保护锂电池,需使用专用充电器。
以下是给锂电池充电时需要注意的相关事项:
1、为延长锂电池寿命,需要给锂电池经常充放电。要养成骑行电动车使用电量80%以后必须充电的习惯,不能等电用光了才充电。此外,锂电池切忌长时间存放
2、在给电动车充电电池充电的时候,必须关闭电门锁,并且不能将电池倒置。充电时应一次充满,不宜分多次充电
3、电器不宜在亏电的状态下存放,因此电池在存放不用的时候,需每个月给电池充满一次电
4、锂电池在充电时需使用配套的充电器,因电池原材料与锂电池生产工艺不同,对充电器的技术要求也不一样,因此只有使用专用的充电器充电才能使锂电池寿命更长,并且预防安全隐患。
5、锂电池没电时,应关闭电源骑行,不能使用回升电压行驶,防止严重亏电,这样才能延长电池使用寿命
6、给电动车锂电池充电时,在充电指示灯显示满电时再浮充1~2小时,不宜立即停止充电。
8路5V20A检测仪,分容均衡测试实例
16路5V10A分容均衡测试仪部分应用案例
1.4 电池的工作电压
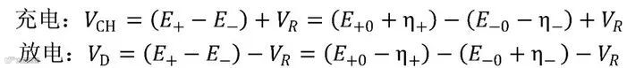
工作电压又称端电压,是指电池在工作状态下即电路中有电流流过时电池正负极之间的电势差。在电池放电工作状态下,当电流流过电池内部时,需克服电池的内阻所造成阻力,会造成欧姆压降和电极极化,故工作电压总是低于开路电压,充电时则与之相反,端电压总是高于开路电压。即极化的结果使电池放电时端电压低于电池的电动势,电池充电时,电池的端电压高于电池的电动势。
电池端电压的组成如图4所示,表达式为:
其中,E+、E—分别表示正、负极的电势,E+0、E—0分别表示正、负极的平衡电极电势,VR表示欧姆极化电压,η+、η—分别表示正、负极的过电势。
2.放电测试基本原理
基本了解电池的电压之后,我们开始解析锂离子电池的放电曲线。放电曲线基本反映电极的状态,是正负两个电极状态变化的叠加。
上图为常见商业电池的典型放电的电流和电压曲线。在整个放电过程中锂离子电池的电压曲线可以分为 3 个阶段:
1)电池在初始阶段端电压快速下降,放电倍率越大,电压下降的越快;
2)电池电压进入一个缓慢变化的阶段,这段时间称为电池的平台区,放电倍率越小,平台区持续的时间越长,平台电压越高,电压下降越缓慢。
3) 在电池电量接近放完时, 电池负载电压开始急剧下降直至达到放电截止电压。
恒流放电时,设定电流值,然后通过调节数控恒流源来达到这一电流值,从而实现电池的恒流放电,同时采集电池的端电压的变化,用来检测电池的放电特性。恒流放电是放电电流不变,但是电池电压持续下降,所以功率持续下降的放电。图3就是锂离子电池恒流放电的电压和电流曲线。由于用恒电流放电,时间坐标轴很容易转换为容量(电流与时间的乘积)坐标轴。图6是恒流放电时电压-容量曲线。恒流放电是锂离子电池测试中最常使用的放电方式。
图6 不同倍率下的恒流恒压充电、恒流放电曲线(来源于参考文献)
(2)恒功率放电
图7 不同倍率下的恒功率充、放电曲线
恒流放电和恒功率放电对比
图8不同倍率下的磷酸铁锂电池两种模式下不同倍率充放电测试结果(a)充放电容量图;(b)充放电曲线图
根据图8(a)的容量曲线,恒流模式下随着充放电电流的增大,电池实际充放电容量均逐渐变小但变化幅度相对较小。恒功率模式下电池的实际充放电容量也随功率的增加而逐渐减小,且倍率越大,容量衰减越快。1 h 率放电容量较恒流模式为低。同时,当充放电倍率低于5 h 率时,恒功率条件下电池容量较高,而高于5 h 率时则恒流条件下电池容量较高。
从图8(b)所示的容量-电压曲线可以看出,在低倍率条件下,磷酸铁锂电池两种模式容量-电压曲线接近,且充放电电压平台变化不大,但在高倍率条件下,恒流-恒压模式的恒压时间明显加长,且充电电压平台明显升高,放电电压平台明显降低。
(3)恒阻放电
(4)连续放电、间歇放电和脉冲放电
图9 典型脉冲充放电测试的电流曲线和电压曲线
(1)电压
(2)容量和比容量
影响电池容量的因素:
a.电池的放电电流:电流越大,输出的容量减少;
b.电池的放电温度:温度降低,输出容量减少;
c.电池的放电截止电压:是由电极材料以及电极反应本身的限定来设定的放电时一般为3 .0V或2 .75V。
d.电池的充放电次数:电池经过多次充放电后,由于电极材料的失效,电池的放电容量会相应减少。
e.电池的充电条件:充电倍率、温度、截止电压等影响充入电池的容量,从而决定放电容量。
电池每次充放数据会有一定偏差,跟电池性能,检测条件,机器本身精度有关。
不同行业根据使用工况,具有不同的测试标准。对于3C产品用的锂离子电池,根据国标《GB/T18287-2000蜂窝电话用锂离子电池总规范》,电池的额定容量测试方法为:
a)充电:0.2C5A充电;
b)放电:0.2C5A放电;
c)进行五个循环,其中有一次达到即判定为合格。
对于电动汽车行业,根据国标《GB/T 31486-2015 电动汽车用动力蓄电池电性能要求及试验方法》,电池的额定容量是指室温下电池以1I1(A)电流放电,达到终止电压时所放出的容量(Ah),其中I1为1小时率放电电流,其数值等于C1 (A)。测试方法为:
a)室温下,以1I1(A)电流恒流充电至企业规定的充电终止电压时转恒压充电,至充电终止电流降至0.05I1(A)时停止充电,充电后搁置1h。
b) 室温下,电池以1I1(A)电流放电,直到放电至企业技术条件中规定的放电终止电压;
c) 计量放电容量(以Ah计),计算放电比能量(以Wh/kg计);
d) 重复步骤a)-c)5次,当连续3次试验结果的极差小于额定容量的3%,可提前结束试验,取最后3次试验结果平均值。
平时检测电池,可用检测仪多次测试电池数据,等检测数据稳定后取平均值。
2.3 放电曲线的基本形式
(1)电压-时间和电流时间曲线
图10 电压-时间和电流-时间曲线
(2)电压-容量曲线
图11 电压-容量曲线
(3)电压-能量曲线
图12 电压-能量曲线

