大数跨境

2021危化品企业仪表专业安全风险管控指南

2021危化品企业仪表专业安全风险管控指南 东营市万和节能科技有限公司
2021-08-16
2
导读:为有效防范化解危险化学品重大安全风险,应急管理部部署开展了危险化学品重大危险源企业2021年专项检查督导工作

为有效防范化解危险化学品重大安全风险,应急管理部部署开展了危险化学品重大危险源企业2021年专项检查督导工作。各地各级应急管理部门和消防救援机构高度重视,按照整体工作安排全面部署、迅速行动,通过企业自查、市级交叉检查、省级抽查,消地协作、上下联动,对于重大隐患,一律停产整顿,情节严重,关闭企业。那么关于仪表专业安全风险管理要素包含哪些?仪表隐患如何去排查管理?本文整理自第六届全国石油和化工仪控技术大会——国家能源集团包头化工公司机械动力部副经理杨绍军分享的《危险化学品企业仪表专业安全风险管控》,做好仪表专业自检自查,这88个要点需牢记。


01
仪表技术管理要素

仪表设备定期保养、检测、试验、校验、联锁投/切、变更等工作实施及资料存档管理。




02
仪表隐患排查管理

按照应急管理部《危险化学品企业安全风险隐患排查治理导则》[2019]78号 和“危险化学品协会重点县指导服务安全检查表”中与仪表专业有关的内容, 编制了“仪表专业安全风险隐患排查表”。


03
部门规章中涉及的仪表安全管理要求
1、危险化学品重大危险源监督管理暂行规定(2011年8月5日国家安全监管总局令第40号公布根据2015年5月27日国家安全监管总局令第79号修正)
第十三条 危险化学品单位应当根据构成重大危险源的危险化学品种类、数量、生 产、使用工艺(方式)或者相关设备、设施等实际情况,按照下列要求建立健全 安全监测监控体系,完善控制措施:
(一)重大危险源配备温度、压力、液位、流量、组份等信息的不间断采集和监 测系统以及可燃气体和有毒有害气体泄漏检测报警装置,并具备信息远传、连续 记录、事故预警、信息存储等功能;一级或者二级重大危险源,具备紧急停车功 能。记录的电子数据的保存时间少于30天
2、危险化学品重大危险源监督管理暂行规定
(二)重大危险源的化工生产装置装备满足安全生产要求的自动化控制系统;一 级或者二级重大危险源,装备紧急停车系统;
(三)对重大危险源中的毒性气体、剧毒液体和易燃气体等重点设施,设置紧急 切断装置;毒性气体的设施,设置泄漏物紧急处置装置。涉及毒性气体、液化气 体、剧毒液体的一级或者二级重大危险源,配备独立的安全仪表系统(SIS);
(四)重大危险源中储存剧毒物质的场所或者设施,设置视频监控系统;
(五)安全监测监控系统符合国家标准或者行业标准的规定。
3、危险化学品生产企业安全生产许可证实施办法 ( 2011年 8月 5日 国家安全监管总局令第41号公布 根据 2015年 5月 27日 国家安全监管总局令 第79号修正)
第二章 申请安全生产许可证的条件
第九条 企业的厂房、作业场所、储存设施和安全设施、设备、工艺应当符合下 列要求:
(三)涉及危险化工工艺、重点监管危险化学品的装置装设自动化控制系统;涉及危险化工工艺的大型化工装置装设紧急停车系统;涉及易燃易爆、 有毒有害气体化学品的场所装设易燃易爆、有毒有害介质泄漏报警等安全设施;
第十四条 企业应当根据化工工艺、装置、设施等实际情况,制定完善下列主要安全生产规章制度:
(十三)工艺、设备、电气仪表公用工程安全管理制度;


4、 “关于印发危险化学品从业单位安全生产标准化评审标准的通知”  安监总管三〔2011〕93号

12个A级要素,54个B级要素。
评价表:
3.5重大危险源
2. 企业应按照有关规定对重大危险源设置安全监控报警系统。
⑴重大危险源涉及的压力、温度、液位、泄漏报警等重要参数的测量要有远传和连续记录;
⑵对毒性气体、剧毒液体和易燃气体等重点设施应设置紧急切断装置
⑶毒性气体应设置泄漏物紧急处置装置,独立的安全仪表系统;
⑷设置必要的视频监控系统。


评价表:6.2安全设施
企业应确保安全设施配备符合国家有关规定和标准,做到:
(1)宜按照SH3063-1999在易燃、易爆、有毒区域设置固定式可燃气体和/或有毒气体的检测报警设施,报警信号应发送至工艺装置、储运设施等控制室或操作室;
宜按照SH3097-2000在输送易燃物料的设备、管道安装防静电设施;
按照GB50057在厂区安装防雷设施;
(6)按照GB50058设置电力装置;
(9)在工艺装置上可能引起火灾、爆炸的部位设置超温、超压等检测仪表、声和/或光报警和安全联锁装置等设施。


5、“关于开展提升危险化学品领域本质安全水平专项行动的通知”安监总管三〔2012〕87号

(二)加快涉及“两重点一重大”企业的自动化控制系统改造工作。

1. 全面开展危险化工工艺自动化控制系统改造。涉及已公布的15种重点监管危险化工工艺的化工装置,要在2012年底前全面完成自动化控制系统改造。将原料和产品中均含有爆炸品的化工生产工艺纳入重点监管危险化工工艺范围,涉及上述工艺的化工装置要在2014年底前完成自动化控制系统改造工作。今后新建化工生产装置必须装备自动化控制系统,高度危险和大型生产装置要装备紧急停车系统。

2.开展涉及重点监管危险化学品的生产储存装置自动化控制系统改造完善工作。涉及重点监管危险化学品的生产储存装置必须在2014年底前装备自动化控制系统。将受热、遇明火、摩擦、震动、撞击时可发生爆炸的化学品全部纳入重点监管危险化学品范围。

3.开展危险化学品重大危险源自动化监控系统改造工作。要按照《危险化学品重大危险源监督管理暂行规定》(国家安全监管总局令第40号)的要 求,改造危险化学品重大危险源的自动化监测监控系统,完善监控措施,  2014年底前全面实现危险化学品重大危险源温度、压力、液位、流量、可燃有毒气体泄漏等重要参数自动监测监控、自动报警和连续记录。

6、“关于进一步加强危险化学品建设项目安全设计管理的通知”安监总管三〔2013〕76号

(十九)新建化工装置必须设计装备自动化控制系统。应根据工艺过程危险和风险分析结果,确定是否需要装备安全仪表系统。涉及重点监管危险化工工艺的大、中型新建项目要按照《过程工业领域安全仪表系统的功能安全》
(GB/T21109)和《石油化工安全仪表系统设计规范》(GB50770)等相关标准开展安全仪表系统设计。
(二十三)装置区内控制室、机柜间面向有火灾、爆炸危险性设备侧的外墙应为无门窗洞口、耐火极限不低于3小时的不燃烧材料实体墙。

7、“关于加强化工过程安全管理的指导意见”安监总管三〔2013〕88号

七、设备完好性(完整性)
(十七)设备安全运行管理。
关键设备要装备在线监测系统。要定期监(检)测检查关键设备、连续监(检)测检查仪表,及时消除静设备密封件、动设备易损件的安全隐患。

自动监测大机组和重点动设备的转速、振动、位移、温度、压力、腐蚀性介质含量等运行参数。

开展安全仪表系统安全完整性等级评估。企业要在风险分析的基础上,确定安全仪表功能( SIF) 及其相应的功能安全要求或安全完整性等级(SIL) 。

企业要按照《过程工业领域安全仪表系统的功能安全》(GB/T21109)和《石油化工安全仪表系统设计规范》的要求,设计、安装、管理和维护安全仪表系统。


8、国家安全监管总局关于进一步加强化学品罐区安全管理的通知”安监总管 三〔2014〕68号
二、进一步加强化学品罐区安全管理工作
(一)进一步完善化学品罐区监测监控设施。根据规范要求设置储罐高低液位报警,采用超高液位自动联锁关闭储罐进料阀门和超低液位自动联锁停止  物料输送措施。确保易燃易爆、有毒有害气体泄漏报警系统完好可用。大型、 液化气体及剧毒化学品等重点储罐要设置紧急切断阀。


9、“关于加强化工企业泄漏管理的指导意见”安监总管三〔2014〕94号
三、优化装置设计,从源头全面提升防泄漏水平
(八)完善自动化控制系统。涉及重点监管危险化工工艺和危险化学品的生产装置,要按安全控制要求设置自动化控制系统、安全联锁或紧急停车系统和可燃及有毒气体泄漏检测报警系统。紧急停车系统、安全联锁保护系统要符合功能安全等级要求。危险化学品储存装置要采取相应的安全技术措施, 如高、低液位报警和高高、低低液位联锁以及紧急切断装置等。


六、全面加强泄漏应急处置能力
(十八)建立和完善化工装置泄漏报警系统。企业要按照《石油化工可燃气体和有毒气体检测报警设计规范》(GB50493)和《工作场所有毒气体检测报警装置设置规范》(GBZ/T223)等标准要求,在生产装置、储运、公用工程和其他可能发生有毒有害、易燃易爆物料泄漏的场所安装相关气体监测报警系统,重点场所还要安装视频监控设备。要将法定检验与企业自检相结合,现场检测报警装置要设置声光报警,保证报警系统的准确、可靠性。

10、“关于加强化工安全仪表系统管理的指导意见”安监总管三〔2014〕116号
一、充分认识加强化工安全仪表系统管理工作的重要性
(一)化工安全仪表系统(SIS)包括安全联锁系统、紧急停车系统和有毒有害、可燃气体及火灾检测保护系统等。安全仪表系统独立于过程控制系 统(例如分散控制系统等),生产正常时处于休眠或静止状态,一旦生产装置或设施出现可能导致安全事故的情况时,能够瞬间准确动作,使生产过程安全停止运行或自动导入预定的安全状态,必须有很高的可靠性(即 功能安全)和规范的维护管理。

二、加强化工安全仪表系统管理的基础工作
(二)加快安全仪表系统功能安全相关技术和管理人才的培养:仪表工程技术人员开展安全仪表专业培训,普及功能安全相关知识,学习有关标准规范。要针对安全仪表系统全生命周期不同的环节,分别进行具有针对性 的培训,使相关人员熟练掌握安全仪表系统、风险分析和控制、风险降低等相关专业技术。


三、进一步加强安全仪表系统全生命周期的管理
(六)严格安全仪表系统的安装调试和联合确认。应制定完善的安装调试与联合确认计划并保证有效实施,详细记录调试(单台仪表调试与回路调 试)、确认的过程和结果,并建立管理档案。施工单位按照设计文件安装调试完成后,企业在投运前应依据国家法律法规、标准规范、行业和企业安全管理规定以及安全要求技术文件,组织对安全仪表系统进行审查和联合确认,确保安全仪表功能具备既定的功能和满足完整性要求,具备安全投用条件。
(七)加强化工企业安全仪表系统操作和维护管理。化工企业要编制安全仪表系统操作维护计划和规程,保证安全仪表系统能够可靠执行所有安全仪表功能,实现功能安全。

要按照符合安全完整性要求的检验测试周期,对安全仪表功能进行定期全面检验测试,并详细记录测试过程和结果。要加强安全仪表系统相关设备故障管理(包括设备失效、联锁动作、误动作情况等)和分析处理,逐步建立相关设备失效数据库。要规范安全仪表系统相关设备选用,建立安全仪表设备准入和评审制度以及变更审批制度,并根据企业应用和设备失效情况不断修订完善。

四、高度重视其他相关仪表保护措施管理
(九)加强过程报警管理,制定企业报警管理制度并严格执行。与安全仪表功能安全完整性要求相关的报警可以参照安全仪表功能进行管理和检验测试。
(十)加强基本过程控制系统的管理,与安全完整性要求相关的控制回路, 参照安全仪表功能进行管理和检验测试,并保证自动控制回路的投用率。
(十一)严格按照相关标准设计和实施有毒有害和可燃气体检测保护系统, 为确保其功能可靠,相关系统应独立于基本过程控制系统。


五、从源头加快规范新建项目安全仪表系统管理工作
(十二)从2016年1月1日起,大型和外商独资合资等具备条件的化工企业新建涉及“两重点一重大”的化工装置和危险化学品储存设施,要按照本指导意见的要求设计符合相关标准规定的安全仪表系统。
(十三)从2018年1月1日起,所有新建涉及“两重点一重大”的化工装置和危险化学品储存设施要设计符合要求的安全仪表系统。其他新建化工装置、危险化学品储存设施安全仪表系统,从2020年1月1日起,应执行功能安全相关标准要求,设计符合要求的安全仪表系统。


六、积极推进在役安全仪表系统评估工作
(十四)涉及“两重点一重大”在役生产装置或设施的化工企业和危险化学品储存单位,要在全面开展过程危险分析(如危险与可操作性分析)基础上, 通过风险分析确定安全仪表功能及其风险降低要求,并尽快评估现有安全仪表功能是否满足风险降低要求。
(十五)企业应在评估基础上,制定安全仪表系统管理方案和定期检验测试计划。对于不满足要求的安全仪表功能,要制定相关维护方案和整改计划, 2019年底前完成安全仪表系统评估和完善工作。其他化工装置、危险化学品储存设施,要参照本意见要求实施。


11、“油气罐区防火防爆十条规定”安监总局令【2015】第84号
四、严禁停用油气罐区温度、压力、液位、可燃及有毒气体报警和联锁系统。
八、严禁在油气罐区使用非防爆照明、电气设施、工器具和电子器材。 
十、严禁油气罐区设备设施不完好或带病运行。


12、“关于印发《化工(危险化学品)企业安全检查重点指导目录》的通知” 安监总管三〔2015〕113号
40项重点检查内容

附件:《化工(危险化学品)企业安全检查重点指导目录》

19. 油气储罐未按规定达到以下要求的:

1.液化烃的储罐应设液位计、温度计、压力表、安全阀,以及高液位报警和高高2.液位自动连锁切断进料措施;全冷冻式液化烃储罐还应设真空泄放设施和高、低温度检测,并应与自动控制系统相联;

3.气柜应设上、下限位报警装置,并宜设进出管道自动联锁切断装置;

4.液化石油气球形储罐液相进出口应设置紧急切断阀,其位置宜靠近球形储罐;

丙烯、丙烷、混合C4、抽余C4及液化石油气的球形储罐应设置注水措施。

20.涉及危险化工工艺、重点监管危险化学品的装置未设置自动化控制系统;或者涉及危险化工工艺的大型化工装置未设置紧急停车系统的。
21.有毒有害、可燃气体泄漏检测报警系统未按照标准设置、使用或定期检测校验;以及报警信号未发送至有操作人员常驻的控制室、现场操作室进行报警的。
22.安全联锁未正常投用或未经审批摘除以及经审批后临时摘除超过一个月未恢复的。
23.工艺或安全仪表报警时未及时处置的。
25. 涉及放热反应的危险化工工艺生产装置未设置双重电源供电或控制系统未设置不间断电源(UPS)的。
28. 控制室或机柜间面向具有火灾、爆炸危险性装置一侧有门窗的。(2017年前必须整改完成)


13、“关于印发遏制危险化学品烟花爆竹重特大事故工作意见的通知”安监总管三〔2016〕62号
四、严格风险管控和隐患排查治理
3. 扎实推进危险化学品专项整治,全面推行重点防控措施:
自2017年1月1日起,凡是构成一级、二级重大危险源,未设置紧急停车(紧急切断)功能的危险化学品罐区,一律停止使用
自2017年1月1日起,凡是未实现温度、压力、液位等信息的远程不间断采集检测,未设置可燃和有毒有害气体泄漏检测报警装置的构成重大危险源的危险化学品罐区,一律停止使用

六、构建标本兼治的综合防控体系
1. 健全完善危险化学品的关键工艺、技术、装备等安全标准,继续推动18种重点监管危险化工工艺的化工装置及74种重点监管危险化学品的生产储存装置完成自动化控制系统改造,实施危险化学品重大危险源在线监控及事故预警工程和危险化学品罐区本质安全提升工程,逐步淘汰一批安全保障能力差的工艺、技术和装备。


14、“关于印发危险化学品安全综合治理方案的通知”国办发〔2016〕88号

五、治理内容、工作措施及分工
(六)依法推动企业落实主体责任。
21. 推进科技强安。推动化工企业加大安全投入,新建化工装置必须装备自动化控制系统,涉及“两重点一重大”的化工装置必须装备安全仪表系统, 危险化学品重大危险源必须建立健全安全监测监控体系。
加速现有企业自动化控制和安全仪表系统改造升级,减少危险岗位作业人员,鼓励有条件的企业建设智能工厂,利用智能化装备改造生产线,全面提升本质安全水平。大力推广应用风险管理、化工过程安全管理等先进管理方法手段,加强消防设施装备的研发和配备,提升安全科技保障能力。
(安全监管总局、科技部、工业和信息化部、公安部等按职责分工负责, 持续推进)


15、“ 关于加强精细化工反应安全风险评估工作的指导意见” 安监总管三〔2017〕1号

附件:精细化工反应安全风险评估导则(试行)
6.6 措施建议
对于反应工艺危险度为1级的工艺过程,应配置常规的自动控制系统,对主要反应参数进行集中监控及自动调节(DCS或PLC)。

对于反应工艺危险度为2级的工艺过程,在配置常规自动控制系统,对主要反应参数进行集中监控及自动调节(DCS或PLC)的基础上,要设置偏离正常值的报警和联锁控制,在非正常条件下有可能超压的反应系统,应设置爆破片和安全阀等泄放设施。根据评估建议,设置相应的安全仪表系统。

对于反应工艺危险度为3级的工艺过程,在配置常规自动控制系统,对主要反应参数进行集中监控及自动调节,设置偏离正常值的报警和联锁控制,以及设置爆破片和安全阀等泄放设施的基础上,还要设置紧急切断、紧急终止反应、紧急冷却降温等控制设施。根据评估建议,设置相应的安全仪 表系统。


对于反应工艺危险度为4级和5级的工艺过程,尤其是风险高但必须实施产业化的项目,要努力优先开展工艺优化或改变工艺方法降低风险,例如通过微反应、连续流完成反应;要配置常规自动控制系统,对主要反应参数进行集中监控及自动调节;要设置偏离正常值的报警和联锁控制,设置爆破片和安全阀等泄放设施,设置紧急切断、紧急终止反应、紧急冷却等控制设施;还需要进行保护层分析,配置独立的安全仪表系统。

对于反应工艺危险度达到5级并必须实施产业化的项目,在设计时,应设置在防爆墙隔离的独立空间中,并设置完善的超压泄爆设施,实现全面自控。

16、“化工和危险化学品生产经营单位重大生产安全事故隐患判定标准(试 行)”安监总管三〔2017〕121号

二、特种作业人员未持证上岗。(化工自动化控制仪表作业)

四、涉及重点监管危险化工工艺的装置未实现自动化控制,系统未实现紧急停车功能,装备的自动化控制系统、紧急停车系统未投入使用。

五、构成一级、二级重大危险源的危险化学品罐区未实现紧急切断功能;涉及毒性气体、液化气体、剧毒液体的一级、二级重大危险源的危险化学品罐 区未配备独立的安全仪表系统。

十二、涉及可燃和有毒有害气体泄漏的场所未按国家标准设置检测报警装置, 爆炸危险场所未按国家标准安装使用防爆电气设备。

十三、控制室或机柜间面向具有火灾、爆炸危险性装置一侧不满足国家标准关于防火防爆的要求。

十四、化工生产装置未按国家标准要求设置双重电源供电,自动化控制系统 未设置不间断电源。


17、“关于印发危险化学品生产储存企业安全风险评估诊断分级指南(试行) 的通知”应急〔2018〕19号

评估诊断采用百分制,根据评估诊断结果按照风险从高到低依次将辖区内危险化学品企业分为红色(60分以下)、橙色(60至75分以下)、黄色(75至90分以下)、蓝色(90分及以上)四个等级。

各地安全监管部门要根据分级情况,结合《国家安全监管总局关于进一步加强监管监察执法促进企业安全生产主体责任落实的意见》(安监总政法
〔2018〕5号)要求,对诊断为红、橙、黄、蓝不同等级的危险化学品企业,采取针对性的监管措施,提高监管效能;要突出强化对红色及橙色等级危险化学品企业的监管,加大日常执法检查频次。

危险化学品企业安全风险评估诊断分级实施动态管理,原则上每三年开展一 次。


附件:危险化学品生产储存企业安全风险评估诊断分级指南(试行)

自控与安全设施
1、涉及重点监管危险化工工艺的装置未按要求实现自动化控制,系统未实现紧急停车功能,装备的自动化控制系统、紧急停车系统未投入使用的,扣  10分;
2、涉及毒性气体、液化气体、剧毒液体的一级、二级重大危险源的危险化学品罐区未配备独立的安全仪表系统的,扣10分;

3、构成一级、二级重大危险源的危险化学品罐区未实现紧急切断功能的, 扣5分;

4、危险化学品重大危险源未设置压力、液位、温度远传监控和超限位报警装置的,每涉及一项扣1分;
5、涉及可燃和有毒有害气体泄漏的场所未按国家标准设置检测声光报警设施的,每一处扣1分;
6、防爆区域未按国家标准安装使用防爆电气设备的,每一处扣1分;
7、甲类、乙类火灾危险性生产装置内设有办公室、操作室、固定操作岗位或休息室的,每涉及一处扣5分。

18、“危险化学品企业安全风险隐患排查治理导则”应急管理部〔2019〕78号

3.1.2 安全风险隐患排查形式

1.日常排查是指基层单位班组、岗位员工的交接班检查和班中巡回检查, 以及基层单位(厂)管理人员和各专业技术人员的日常性检查;日常排查要加强对关键装置、重点部位、关键环节、重大危险源的检查和巡查;

2.综合性排查是指以安全生产责任制、各项专业管理制度、安全生产管理制度和化工过程安全管理各要素落实情况为重点开展的全面检查;

3.专业性排查是指工艺、设备、电气、仪表、储运、消防和公用工程等专业对生产各系统进行的检查;

4.季节性排查是指根据各季节特点开展的专项检查;

5.重点时段及节假日前排查是指在重大活动、重点时段和节假日前,对装置生产是否存在异常状况和事故隐患、备用设备状态、备品备件、生产 及应急物资储备、保运力量安排、安全保卫、应急、消防等方面进行的检 查;
6.事故类比排查是指对企业内或同类企业发生安全事故后举一反三的安全检查;

7.复产复工前排查是指节假日、设备大检修、生产原因等停产较长时间, 在重新恢复生产前,需要进行人员培训,对生产工艺、设备设施等进行综合性隐患排查;

8.外聘专家排查是指聘请外部专家对企业进行的安全检查。


6 特殊条款
6.2 企业存在以下情况的,属地应急管理部门应依法暂扣或吊销安全生产许可证:
(2)涉及危险化工工艺的特种作业人员未取得特种作业操作证、未取得高中或者相当于高中及以上学历。
(5)涉及“两重点一重大”装置或储存设施的自动化控制设施不符合《危险化学品重大危险源监督管理暂行规定》(国家安全监管总局令第 40 号)等国家要求。
附件
安全风险隐患排查表(见第二板块内容)


19、“全国安全生产专项整治三年行动计划“国务院安全生产委员会〔2020〕3号

三、危险化学品安全整治

(二)提高危险化学品企业本质安全水平。

2. 进一步提升危险化学品企业自动化控制水平。继续推进“两重点一重大”  生产装置、储存设施可燃气体和有毒气体泄漏检测报警装置、紧急切断装置、 自动化控制系统的建设完善,2020年底前涉及“两重点一重大”的生产装 置、储存设施的上述系统装备和使用率必须达到100%,未实现或未投用的,  一律停产整改。推动涉及重点监管危险化工工艺的生产装置实现全流程自动化控制,2022年底前所有涉及硝化、氯化、氟化、重氮化、过氧化工艺装 置的上下游配套装置必须实现自动化控制,最大限度减少作业场所人数。


涉及爆炸危险性化学品的生产装置控制室、交接班室不得布置在装置区内, 已建成投用的必须于2020年底前完成整改;涉及甲乙类火灾危险性的生产装 置控制室、交接班室原则上不得布置在装置区内,确需布置的,应按照《石油化工控制室抗爆设计规范》(GB50779-2012),在2020年底前完成抗 爆设计、建设和加固。具有甲乙类火灾危险性、粉尘爆炸危险性、中毒危险 性的厂房(含装置或车间)和仓库内的办公室、休息室、外操室、巡检室,2020年8月前必须予以拆除。


20、“危险化学品重大危险源企业专项检查督导工作方案”应急厅【2020】23 号

附件:专项检查督导的重点内容
四、危险化学品罐区温度、压力、液位、可燃及有毒气体报警和联锁系统是否投用,重要参数是否能够远传和连续记录。
六、涉及可燃和有毒有害气体泄漏的场所是否按国家标准、行业标准设置检测报警装置,爆炸危险场所是否按国家标准、行业标准安装使用防爆电气设备。
七、构成一级、二级重大危险源的危险化学品罐区是否能实现紧急切断功能;涉及毒性气体、液化气体和剧毒液体的一级、二级重大危险源的危险化学品罐区是否配备独立的安全仪表系统。
十二、一、二级重大危险源监测预警系统是否正常投用,视频监控系统是否24小时处于正常投用状态。


21、“关于印发危险化学品企业安全分类整治目录(2020年)的通知”应急〔2020〕84号

附件:危险化学品企业安全分类整治目录(2020年)
一、暂扣或吊销安全生产许可证类
4.涉及重点监管危险化工工艺的装置未装设自动化控制系统。 

二、停产停业整顿或暂时停产停业、停止使用相关设施设备类

3.一级或者二级重大危险源不具备紧急停车功能,对重大危险源中的毒性气体、剧毒液体和易燃气体等重点设施未设置紧急切断装置,涉及毒性气体、 液化气体、剧毒液体的一级、二级重大危险源未配备独立的安全仪表系统,且重大事故隐患排除前或者排除过程中无法保证安全的。

4.涉及重点监管危险化工工艺的装置未实现自动化控制,系统未实现紧急停车功能,且重大事故隐患排除前或者排除过程中无法保证安全的;装备的自动化控制系统、紧急停车系统未投入使用,且重大事故隐患排除前或者排除过程中无法保证安全的。
5.装置的控制室、机柜间、变配电所、化验室、办公室等不得与设有甲、 乙A类设备的房间布置在同一建筑物内。
6.爆炸危险场所未按照国家标准安装使用防爆电气设备,且重大事故隐患排除前或者排除过程中无法保证安全的。
10. 氯乙烯气柜的进出口管道未设远程紧急切断阀;氯乙烯气柜的压力(钟 罩内)、柜位高度不能实现在线连续监测;未设置气柜压力、柜位等联锁。存在以上三种情形之一,经责令限期改正,逾期未改正且情节严重的。
12.涉及危险化工工艺的特种作业人员未取得特种作业操作证而上岗操作的。


三、限期改正类
2. 重大危险源未按国家标准配备温度、压力、液位、流量、组分等信息的不间断采集和监测系统以及可燃气体和有毒有害气体泄漏检测报警装置,并具备信息远传、连续记录、事故预警、信息储存(不少于30天)等功能。
4.涉及爆炸危险性化学品的生产装置控制室、交接班室布置在装置区内,且未完成搬迁的;涉及甲乙类火灾危险性的生产装置控制室、交接班室布置在装置区内,但未按照《石油化工控制室抗爆设计规范》(GB50779)完成抗爆设计、建设和加固的。
5.涉及硝化、氯化、氟化、重氮化、过氧化工艺装置的上下游配套装置未实现自动化控制。
7. 未按照标准设置、使用有毒有害、可燃气体泄漏检测报警系统;可燃气体和有毒气体检测报警信号未发送至有人值守的现场控制室、中心控制室等进行显示报警。

22、“油气储存企业安全风险评估指南(试行)”应急管理部2021年5月

4.仪表安全风险评估

1.重点评估内容

⑴涉及重点监管危险化学品和重大危险源的油气储存企业应开展SIL评估,  确定安全联锁的SIL等级,编制安全要求规格书,并评估联锁回路SIL等级的符合性,提出相应升级改造的要求。对于已经完成SIL评估的企业,可只评估该项工作的完善性,并评估相关安全建议的落实情况。

⑵评估储罐附属仪表设置及选型的符合性、合理性。

⑶评估企业报警(含工艺设备报警及GDS报警)的设置情况。


⑷评估企业涉及“危险化学品重大危险源监督管理暂行规定(原国家安全监管总局第40号令)”中规定的重点设施的紧急切断装置和独立安全仪表系统的设置情况。
⑸评估可燃气体和有毒气体检测报警系统的独立性。
⑹评估涉及重点监管危险化学品和重大危险源相关设施的可燃气体和有毒气体泄漏检测报警装置、紧急切断装置、自动化系统装备和使用率是否达到 100%。
⑺评估过程控制系统与安全仪表系统全生命周期中操作与维护及管理情况。

2.仪表安全风险评估检查表
企业仪表安全风险评估可参考表4.4-1中(53项)规定的相关内容开展。


23、“市场监管总局关于防爆电气等产品由生产许可转为强制性产品认证管理实施要求的公告”2019年第34号

认证的实施日期为2020.10.1日起,防爆电气等产品未获得强制性产品认证证书和未标注强制性认证标志,不得出厂、销售、进口或在其他经营活动中使用。


24、“市场监管总局关于调整实施强制管理的计量器具目录的公告”2020年第42号

二、列为目录且监管方式为“强制检定”和“型式批准、强制检定”的工作计量器具,使用中应接受强制检定,其他工作计量器具不再实行强制检定,使用者可自行选择非强制检定或者校准的方式,保证量值准确。
附件:实施强制管理的计量器具目录
40. 有毒有害、易燃易爆气体检测(报警)仪,监管方式是型式批准



04
常用标准规范中涉及仪表安全条款


1、“危险化学品重大危险源罐区现场安全监控装备设置规范 ”AQ3036-2010

2 监控仪器的选择、安装和布置的一般原则
5.老罐区改造,应优先选择不清罐就可安装的传感器。安装应符合安全要求,电缆无破皮、露线及短路现象。二次仪表应安装在安全区。传感器盖安装后应严格检查,旋紧装好防拆装置。现场严禁带电开盖检修非本质安全型防爆设备。采用非铠装电缆时,传感器与排线管之间用防爆挠性管连接。
6.对于罐区明火、可燃和有毒气体的监测报警仪,应根据监测范围、监测点和环境因素等确定其安装位置,安装应符合有关规定。


3 报警和预警装置的报警、预警值设定
1.温度报警至少分为两级,第一级报警值为正常工作温度的上限。第二级为第一级报警值的1.25-2倍,且应低于介质闪点或燃点值。
2.液位报警高低位至少各设一级,报警值分别为高位限和低位限。
3.压力报警高限至少设置两级,第一级报警值为正常工作压力的上限。第二级为容器设计压力的80%,并应低于安全阀设定值。

10 音视频监控装备的设置
1.一般原则
1.罐区应设置音视频监控报警系统,监视突发的危险因素或初期的火灾报警等情况。
2.摄像头的设置个数和位置,应根据罐区现场的实际情况而定,既要覆盖全面,也要重点考虑危险性较大的区域。
3.摄像视频监控报警系统应可实现与危险参数监控报警的联动。
10.1.5 摄像头的安装高度应确保可以有效监控到储罐顶部。

2、“过程工业领域安全仪表系统的功能安全第1部分:框架、定义、系统、硬 件和软件要求 ” GB/T21109.1—2007

3.2.3 基本过程控制系统:BPCS
对来自过程的、系统相关设备的、其他可编程系统的和/或某个操作员的输 入信号进行响应,并产生使过程和系统相关设备按要求方式运行的系统,但它并不执行任何具有被声明的SIL≧1的仪表安全功能。
3.2.72 安全仪表系统:SIS
用来实现一个或几个仪表安全功能的仪表系统。SIS可以由传感器、逻辑解算器和最终元件的任何组合组成。


3、“保护层分析(LOPA)应用指南 ” GB/T32857—2016

附录A
表A.7 独立保护层的确定
如果BPCS控制回路的正常操作满足以下要求,则可作为独立保护层:
a)BPCS控制回路应与安全仪表系统(SIS)功能安全回路SIF在物理上分离,包括传感器、控制器和最终元件。


4、“石油化工可燃气体和有毒气体检测报警设计标准” GB/T50493—2019
3 基本规定

3.可燃气体和有毒气体检测报警信号应送至有人值守的现场控制室、中心控制室等进行显示报警;可燃气体二级报警信号、可燃气体和有毒气体检测报警系统报警控制单元的故障信号应送至消防控制室。

4.控制室操作区应设置可燃气体和有毒气体声、光报警;现场区域警报器宜根据装置占地的面积、设备及建构筑物的布置、释放源的理化性质和现场空气流动特点进行设置,现场区域警报器应有声、光报警功能。

8.可燃气体和有毒气体检测报警系统应独立于其他系统单独设置。
可燃气体和有毒气体检测报警系统的气体探测器、报警控制单元、现场警报器9.等的供电负荷,应按一级用电负荷中特别重要的负荷考虑,宜采用UPS 电源装置供电。
10.确定有毒气体的职业接触限值时,应按最高容许浓度、时间加权平均容许放度、短时间接触容许浓度的优先次序选用。


4 检测点确定
4.2 生产设施
4.2.3 比空气轻的可燃气体或有毒气体释放源处于封闭或局部通风不良的半敞开厂房内,除应在释放源上方设置探测器外,还应在厂房内最高点气体易于积聚处设置可燃气体或有毒气体探测器。
现场警报器选用
可燃气体和有毒气体检测报警系统应按照生产设施及储运设施的装置或单元进行报警分区,各报警分区应分别设置现场区域警报器。区域警报器的启动信号应采用第二级报警设定值信号。区域警报器的数量宜使在该区域内任何地点的现场人员都能感知到报警。

5 测量范围及报警值设定
2.报警值设定应符合下列规定:
          1可燃气体的一级报警设定值应小于或等于 25%LEL。
           2可燃气体的二级报警设定值应小于或等于 50%LEL。
3.有毒气体的一级报警设定值应小于或等于 100%OEL,有毒气体的二级报警设定值应小于或等于 200%OEL 。当现有探测器的测量范围不能满足测量要求时,有毒气体的一级报警设定值不得超过 5%IDLH ,有毒气体的二级报警设定值不得超过 10%IDLH 。
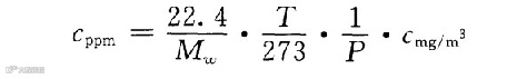
浓度单位ppm与mg/m3的换算关系:


6. 1 探测器安装
6. 1. 2 检测比空气重的可燃气体或有毒气体时,探测器的安装高度宜距地 坪(或楼地板 )0. 3m~0. 6m;检测比空气轻的可燃气体或有毒气体时,探 测器的安装高度宜在释放源上方 2.0m 内。检测比空气略重的可燃气体或 有毒气体时,探测器的安装高度宜在释放源下方 0.5m~ 1.0m;检测比空 气略轻的可燃气体或有毒气体时,探测器的安装高度宜高出释放源0.5m~  1.0m。
6.2 报警控制单元及现场区域警报器安装
6.2.3 现场区域警报器的安装高度应高于现场区域地面或楼地板2.2m ,且 位于工作人员易察觉的地点。


5、“石油化工仪表接地设计规范 ”SH/T 3081-2019
4. 1 保护接地
非爆炸危险环境中,供电电压低于36V的现场仪表金属外壳、金属保护箱、金属接线箱,可不实施保护接地,但对于可能与高于36V电压设备接触的应实施保护接地。
爆炸危险环境中,非本质安全系统的现场金属仪表外壳、金属保护箱、 金属接线箱应实施保护接地,本质安全系统的现场金属仪表外壳、金属保护箱、金属接线箱可不实施保护接地
用于雷电防护的现场仪表金属外壳、金属保护箱、金属接线箱应实施保护接地。

1 接地原则
1.每台需要接地的仪表、设备均应采用单独的接地线接到接地汇流排, 不应采取任何形式的串联链接的接地方式。
6. 2 接地线的敷设
6.2.2接地线应尽可能短,并宜按直线路径敷设,不应将接地线绕城螺旋管状或盘成环状。
6.3 接地汇流排及汇总板
6.3.5接地系统的各种连接应牢固、可靠,并应具有良好的导电性,各种接 地导线与接地汇流排、接地汇总板的连接应采用镀锡铜接线片和镀铮钢质 螺栓压接,并应有防松件,同一压接点压接的导线数量不应多于两条。


6、“石油化工静电接地设计规范 ”SH 3097-2017

5.静电接地支线和连接线
1.静电接地支线和连接线,应采用具有足够机械强度、耐腐蚀和不易断线 的多股金属线或金属体。
静电接地支线、连接线的最小规格:截面不小于 6mm2 的铜芯软绞线。


7、“石油化工仪表系统防雷设计规范” SH/T3164—2012

11 电缆的敷设和屏蔽
1.电缆的敷设
1.穿管敷设
         1.现场仪表的配线应穿钢管或电缆槽敷设,不应采用绝缘材料管。钢管与仪表间、钢管之间、钢管与电缆槽之间应有良好的电气连接。
         2.铠装电缆可以不穿钢管敷设。
11.1.2 仪表电缆槽
仪表电缆槽应采用封闭钢板结构。槽体和所有金属部件应全程电气连接。
2.接地的连续
1.电缆槽、保护钢管应全程电气连续。


8、石油化工罐区自动化系统设计规范” SH/T3184—2017

2.储罐的仪表测量方案
1.计量级常压和低压储罐
4 . 2 . 1 . 1  容积> 1 0 0 m ³ 的储罐应在罐顶设置液位连续测量仪表, 容积
≥100000m³的储罐宜设置 2 套,液位连续测量仪表应配罐旁指示仪显示液位,  应在控制系统中设置高、低液位报警。
(“易燃易爆罐区安全监控预警系统验收技术要求”GB17681-1999标准5.5 条,液体储罐必须配置液位监测仪表,同一储罐至少配备两种不同类别的液位监测仪表。)
4.2.1.2 应根据工艺要求在控制系统中设置高高、低低液位报警及联锁,信号所用的测量仪表应单独设置,宜采用连续测量仪表,也可采用液位开关;应设置高高液位联锁关闭罐进口管道开关阀、低低液位联锁停泵并关闭出口管道开关阀的控制方案,报警及联锁应在控制系统中实现。

4.2.1.11 压力变送器和压力表不得共用同一取源接口。


4.罐区开关阀
1.开关阀的设计选型原则
          1.当罐区具备仪表空气气源时,应采用气动执行机构。
          2.液化石油气罐区应采用气动执行机构。
          3.当罐区不具备仪表空气气源时,应采用电动执行机构或电液执行机 构。
5.4.1.13 用于联锁切断进料的紧急切断阀,应在火灾危险区外设置现场手 动关阀按钮或开关,用于危险情况时现场手动操作。


9、“危险场所规范电气防爆安全” AQ3009—2007
6 爆炸危险场所电气线路和防爆电气设备的安装
1.爆炸性气体环境电气线路和防爆电气设备的安装
1.爆炸性气体环境电气线路的安装
1.一般规定
6.1.1.1.10 在危险场所使用的电缆不应有中间接头。

4 接地
1.电气设备的金属外壳、金属构架、金属配线管及其配件、电缆保 护管、电缆的金属护套等非带电的裸露金属部分均应接地。
2.爆炸性气体环境防爆电气设备的安装
1.一般规定
6.1.2.1.4 防爆电气设备的紧固螺栓应有防松措施,无松动和锈蚀。
【声明】内容源于网络
0
0
东营市万和节能科技有限公司
清洁生产审核能源审计安全标准化咨询与评审安全生产风险分级管控与隐患排查治理(两个体系建设)能源管理体系咨询可研报告安评环评能评化工企业“四评级一评价”咨询碳排放报告QHSE(质量、健康、安全、环境)管理体系咨询安全环保应急预案节能安全
内容 0
粉丝 0
东营市万和节能科技有限公司 清洁生产审核能源审计安全标准化咨询与评审安全生产风险分级管控与隐患排查治理(两个体系建设)能源管理体系咨询可研报告安评环评能评化工企业“四评级一评价”咨询碳排放报告QHSE(质量、健康、安全、环境)管理体系咨询安全环保应急预案节能安全
总阅读0
粉丝0
内容0