“小龙虾,学名克氏原螯虾(Procambarusclarkii),原产于北美洲,20世纪30年代传入我国,现已成为我国重要养殖经济虾类。进入本世纪以来,小龙虾养殖发展迅猛,消费市场持续放大,产业链不断延伸,逐步形成了集“苗种繁育、健康养殖、加工出口、餐饮物流、节庆文化”于一体的产业链条。特别是“十二五”以来,由于有较高的经济效益、广阔的市场前景、良好的发展态势,很多地区将小龙虾产业作为地方特色主导产业进行打造,小龙虾产业化步伐进一步加快、产业发展水平进一步提升,在培育地方经济增长新动能、推进渔业供给侧结构性改革、促进渔业增效和渔民增收过程中发挥了重要作用。为促进我国小龙虾产业持续健康发展,受农业部渔业渔政管理局委托,全国水产技术推广总站组织专家编写了中国小龙虾产业发展报告(2017),旨在全面总结小龙虾产业发展现状,分析存在问题,展望未来形势,提出发展建议。
一、产业规模
我国小龙虾养殖面积和产量持续快速增长。2007年至2016年,全国小龙虾养殖产量由26.55万吨增加到85.23万吨,增长了221%;全国养殖面积超过900万亩。2016年,我国小龙虾总产量为89.91万吨(含捕捞产量),我国已成为世界最大的小龙虾生产国。

图1 2007-2016年全国小龙虾养殖产量变化情况
我国小龙虾产业发展始于20世纪90年代初,从最初的“捕捞+餐饮”,逐步向小龙虾养殖、加工、流通及旅游节庆一体化服务拓展,形成了完整的产业链条。
在小龙虾产业链中,第一产业以小龙虾养殖业为主,第二产业以小龙虾加工业为主,第三产业为以虾为基,以市场流通、餐饮服务、节庆文化、休闲体验为主要内容和表现形式的服务业。

据统计测算,2016年小龙虾产值564.10亿元,经济总产值1466.10亿,全产业链从业人员近500万人。
二、产业布局
小龙虾主要产于长江中下游地区,湖北、安徽、江苏、湖南、江西等5个主产省产量占全国产量的95%左右。湖北省养殖规模最大,2016年养殖面积487万亩、产量48.9万吨,占全国近6成。近两年,湖南省养殖规模增长较快,四川、重庆、河南、山东、浙江、广西等省(区、市)小龙虾养殖也逐步发展,养殖区域逐年扩大。另外,部分省份尚有捕捞产量。

表1 2012-2016年五个主产省小龙虾养殖面积和产量情况 单位:万亩/万吨


图2 2012-2016年五个主产省养殖面积变化情况

图3 2012-2016年五个主产省养殖产量变化情况

图4 2016年我国小龙虾养殖产量分布图
表2 2016年小龙虾产量排名TOP30
排序 |
县级 |
产量(吨) |
1 |
湖北省监利县 |
97,185 |
2 |
湖北省洪湖市 |
74,667 |
3 |
湖北省潜江市 |
46,575 |
4 |
湖北省沙洋县 |
31,626 |
5 |
湖南省华容县 |
31,023 |
6 |
湖北省石首市 |
26,761 |
7 |
湖北省公安县 |
22,672 |
8 |
湖北省黄梅县 |
22,552 |
9 |
江苏省盱眙县 |
20,302 |
10 |
江苏省兴化市 |
17,955 |
11 |
湖北省钟祥市 |
14,218 |
12 |
湖北省天门市 |
13,250 |
13 |
湖北省武穴市 |
12,974 |
14 |
安徽省全椒县 |
11,500 |
15 |
江西省九江县 |
11,033 |
16 |
江西省鄱阳县 |
10,605 |
17 |
安徽省宿松县 |
10,165 |
18 |
湖北省蕲春县 |
9826 |
19 |
湖北省浠水县 |
9820 |
20 |
安徽省霍邱县 |
9,671 |
21 |
安徽省长丰县 |
9,635 |
22 |
湖北省京山县 |
9598 |
23 |
湖北省赤壁市 |
8914 |
24 |
湖北省汉川市 |
8414 |
25 |
湖北省阳新县 |
8385 |
26 |
江西省新建县 |
7,821 |
27 |
湖北省鄂州市 |
7665 |
28 |
湖北省武汉市黄陂区 |
7577 |
29 |
湖北省荆门市 |
7116 |
30 |
安徽省天长市 |
7,100 |
据统计测算,2016年经济总产值1466.10亿。其中,以养殖业为主的第一产业产值564.10亿、小龙虾以加工为主的第二产业产值102亿、以服务为主的第三产业产值800亿,分别占其经济总产值的38.48%、6.96%和54.57%。

图5 小龙虾一二三产产值比例
从一二三产结构特点看,小龙虾产业是典型的以餐饮服务等第三产业发展为主要驱动力的产业。
三、市场消费
小龙虾国内消费以餐饮和加工为主,且呈快速增长态势。小龙虾餐饮受到国内消费者,特别是青年一代消费者的青睐,消费群体扩大、时间延长、品种增加,餐饮消费市场呈现爆发式增长态势。小龙虾加工消费保持稳定。据中国小龙虾供需平衡表分析,2016年小龙虾生产量89.91万吨、消费量87.93万吨,较2014年分别增长30.36%、32.47%。

表3 中国小龙虾供需平衡表(2014-2016年) 单位:吨
类别 |
2014 |
2015 |
2016 |
生产量 |
689661 |
765507 |
899058 |
消费量 |
663814 |
748787 |
879331 |
进口量 |
3931 |
3228 |
3633 |
出口量 |
29778 |
19948 |
23360 |
注:进出口数据来源于Infobean数据库产品细类中小龙虾一项的统计,生产量包括养殖和捕捞产量。
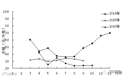
小龙虾的生产供给季节性特征明显,市场价格随上市供给量变化而波动。根据2014-2016年小龙虾批发价格和出塘价格看。近三年小龙虾价格逐年提高,价格呈季节性波动,每年的6-7月上市旺季期间价格最低,春冬季上市淡季期间价格走向峰值。

图6 全国小龙虾市场批发价格走势图

图7 全国小龙虾出塘价格走势图(2014-2017)
我国小龙虾出口市场主要集中在美国和欧洲,占出口市场比重的80%以上。2016年,小龙虾出口量2.33万吨、出口额2.59亿美元,其中对美国出口额达1亿美元,占小龙虾出口总额的近40%。欧洲市场90%的小龙虾来自我国。

受国内消费刺激及技术性贸易壁垒影响,2015年后小龙虾出口量总体呈下降趋势。2016年小龙虾出口量较2014年降低0.64万吨,下降21.48%。从出口价格情况看,2007年以来小龙虾出口单价呈总体上升趋势,但2016年受国际虾价下跌影响,出口单价出现下滑。同时,小龙虾进口平均单价总体呈逐年上涨态势,2014年后趋于平稳。

图8 2007-2016年全国小龙虾出口情况

图9 2007-2016年全国小龙虾进口情况
从国内市场看,小龙虾的消费主要集中在华北、华东和华中地区大中城市,北京、武汉、南京、上海、合肥、杭州、常州、无锡、苏州、长沙等城市年消费量均在万吨以上。

近年来,消费区域不断扩展,西南、西北、华南、东北地区消费量逐年上升。从国际市场看,小龙虾国际市场需求也逐年上升。近年来由于国内市场价格迅速上涨,很多出口企业纷纷转向拓展国内市场。
四、产业拓展
我国小龙虾加工业发展始于20 世纪90年代初,江苏等省捕捞野生小龙虾加工成冻熟虾仁、带壳整虾、冻熟凤尾虾等几大类产品出口至欧美地区,取得较好经济效益。
目前小龙虾加工产品主要包括虾仁、虾尾、原味整虾及调味龙虾,加工方式也由初加工逐步发展成初加工与精深加工并举。

近年来,小龙虾副产品的生产加工取得显著进展,形成了甲壳素、壳聚糖、几丁聚糖胶囊、几丁聚糖、水溶性几丁聚糖、羧甲基几丁聚糖、甲壳低聚糖等系列产品,产品出口日本、欧美等国家和地区,欧洲的氨基葡萄糖硫酸钾盐90%来自于我国江苏省。
据不完全统计,仅湖北和江苏两省相关龙头企业,甲壳素及衍生产品的年产值已超过25亿元。2016年,全国小龙虾规模以上加工企业近100家,年加工能力在90万吨左右。
近年来,全国小龙虾市场交易活跃,各水产品交易市场均有小龙虾专营店。武汉、南京、上海、杭州、合肥等主要水产品集散地建设了一批小龙虾专业交易批发市场。各地积极发展小龙虾冷链物流系统。如湖北省潜江市积极整合生态龙虾产业园、垂直电商平台、龙虾交易中心、质量检测室、龙虾物流配送中心、养殖基地等相关资源,构建一条龙冷链物流服务机构,开通货运物流、客运专线干线及航空物流,实现在12至18小时送达全国各地,保障了小龙虾运输成活率和品质。小龙虾电商经营模式不断创新,各地积极创新“互联网+小龙虾”经营模式,引导传统企业加快电子商务应用。据不完全统计,2016年湖北省小龙虾网上年销售额超过2亿元、江苏省近亿元。
餐饮消费在提升小龙虾市场需求方面发挥了重要作用。各地积极加大小龙虾菜肴的研发,形成了一大批小龙虾知名菜肴和餐饮品牌,有效推动了小龙虾餐饮消费向深度发展。如江苏省南京市开发了拥有20多种口味的小龙虾“金陵鲜韵”系列,小龙虾菜肴销售额占到南京整个餐饮业营销额的20-25%,产值超过百亿元。

湖北省潜江市的“油焖大虾”获“中国名菜”称号,近年来又创新了“蒜茸虾”、“清蒸虾”、“卤虾”等新菜品,有力拉动了当地餐饮消费。安徽省合肥市成功打造了龙虾美食街区,龙虾专业店达800家,旺季龙虾消费日均80吨,吃小龙虾成为合肥消费时尚。
据不完全统计,2016年湖北省专营小龙虾餐馆数量超过1.5万家,小龙虾餐饮产值达332.62亿元,同比增加30%以上。
节庆文化是提升品牌、拉动消费、融合产业、促进增收的重要手段。各地积极举办各类小龙虾节、小龙虾生态旅游、虾王争霸赛、小龙虾美食评鉴会等节庆活动,组织开展以小龙虾文化为主题的休闲旅游活动。

据不完全统计,目前全国每年直接参与小龙虾节庆活动人次超过8200万,通过微博、微信等网络平台转发相关信息1.6亿条,“世界小龙虾看中国”引发国内外消费者的热切关注和点赞。如江苏盱眙2001年起开始举办“中国盱眙国际龙虾节”,将盱眙十三香龙虾打造成全国知名的美味龙虾,小龙虾也成为江苏盱眙的地方名片,并带动了南京、杭州、扬州、苏州、上海等周边地区的小龙虾餐饮发展,上海出现千人共剥小龙虾的热闹景象。

湖北潜江连续7年成功举办“中国潜江龙虾节”,打造了集“美食盛宴、文化盛典、经贸盛会”于一体的文化品牌。安徽合肥连续16年成功举办龙虾节,成为合肥市重大民俗性节庆和地方特色品牌节日,被评为“中国节庆50强”。
此外,江西、湖南等省相关地区也成功打造了不同形式的龙虾节庆活动,成为各地城市名片。
五、品牌建设
各地将打造品牌作为提升小龙虾产业发展竞争力的重要措施。多措并举,成功打造了一批全国知名的区域公共品牌。如江苏盱眙2006年起就制定并公布实施了小龙虾地方标准,盱眙龙虾的养殖、加工、服务通过ISO9001国际质量管理体系认证,“盱眙龙虾”获批全国第一例动物类原产地证明商标,获农业部“中国名牌农产品”称号,盱眙县被中国烹饪学会授予“中国龙虾之都”称号,建立了以“盱眙龙虾”商标为核心的品牌体系。
在国家质检总局联合央视发布的2016年中国品牌价值评价信息榜中,“盱眙龙虾”品牌价值达到169.91亿元,居全国淡水产品品牌价值榜榜首。“潜江龙虾”成功注册地理标志证明商标,成为了国家农产品地理标志保护产品,“中国潜江龙虾节”被授予“中国最具地方特色物产节会”荣誉称号,潜江市被授予“农产品地理标志创建示范县”、“中国节庆品牌示范基地”、“中国最具魅力节庆城市”等荣誉称号。
江西省正在重点打造鄱阳湖牌公共区域品牌。
在政府的引导下,各地企业将创建和培育自主品牌作为企业赢得市场占有率和增强市场竞争力的重要手段,成功打造了一大批知名的企业品牌和产品品牌,如湖北省“楚江红”、“良仁”、“楚玉”等加工品牌,“霸气龙虾”、“虾小弟”、“虾滋味”等电商品牌,“虾皇”、“小李子”等餐饮品牌,“潜网电商”、“中国虾谷”等冷链物流品牌等;江苏省盱眙的“十三香龙虾”,金湖的“太明龙虾”,南京的“红透龙虾”、“华江龙虾”、“龙宫龙虾”、“虾公馆”、“红叶龙虾”等品牌各有特色,形成了各自的消费群体;江西省相关企业成功打造的 “海浩”、“峡江”、“鄱湖”、“柘林湖”、“湖家妹”等小龙虾品牌获省级著名商标。
六、产业扶持
为促进小龙虾产业持续健康发展,多地政府加大了小龙虾发展的政策引导。多个小龙虾主产省份政府主管部门发布了小龙虾产业规划或指导意见:
湖北省先后发布了“十二五”和“十三五”小龙虾产业发展规划;
安徽省发布了稻渔综合种养双千工程实施意见;
湖南省发布了《关于大力发展稻田综合种养加快贫困农民脱贫致富的指导意见》,将稻虾综合种养作为产业扶贫脱贫的重要手段,湖南省南县县委县政府还发布了加快推进稻虾产业发展实施意见;
江西省九江市和上饶市将小龙虾稻渔综合种养列入渔业供给侧结构性改革的重点项目。
近年来,各地在强化政策引导的同时,也加大了配套项目资金扶持力度。江西省财政厅和农业厅将小龙虾生产基地建设纳入现代渔业建设项目,将农田改造建设资金由每亩1500元提高到3000元;安徽省设立渔业三进工程,将小龙虾养殖列为省财政扶持专项,将财政补贴调整资金切块用于稻虾综合种养;湖北省财政投资3亿元,打造服务全省、辐射全国的小龙虾产业基地。
各地还积极创新了金融支持方式。如湖北省潜江市金融机构为小龙虾量身打造了“欣农贷”产品,为小龙虾散养户提供了贷款,通山县政府将小龙虾养殖纳入农业保险范畴,县财政安排专项保险补助经费。
各地还启动实施了系列科研和推广项目,如农业部实施了公益性行业科研专项“克氏原螯虾产业技术研究与试验示范”项目、湖北省实施了现代产业技术体系“稻田综合种养项目”项目,安徽省成立了现代农业虾蟹产业体系,促进了小龙虾产业更好更快发展。
七、产业技术
种业是小龙虾产业发展的重要基础。2005年以前,小龙虾苗种主要是靠捕捞天然水域种虾。2005年以后,各地池塘自然繁育和人工繁殖苗种相结合,解决了小范围苗种供应问题。2010-2012年,湖北省研发了虾稻生态种养及繁育一体化技术,实现了在不减少成虾产量的同时,每亩提供50~100公斤的大规格虾种,突破了小龙虾规模化苗种繁育,该技术在江苏、安徽、江西、湖南等小龙虾主产省区推广应用,有效解决了小龙虾规模化苗种供应问题。
江苏省通过熟化完善池塘结构、亲虾选购、水质调控、水草设置、孵化方式优化等关键技术参数,有效提高了池塘小龙虾苗种繁育的质量和产量。
据不完全统计,2016年湖北省已有稻田繁苗生产企业或合作组织46家;江苏省小龙虾优良种群保护区2个、池塘小龙虾苗种繁育基地9个;江西省建立小龙虾种质资源保护区2个、种质资源库2个。
小龙虾养殖主要有稻虾综合种养、池塘养殖、湖汊养殖等三类类型,其中稻虾综合种养养殖面积最大,约占小龙虾养殖面积的七成,其次是池塘养殖,湖汊养殖近年也逐步发展,但规模和产量均很少。稻虾综合种养是通过构建稻虾连作和共作系统,实现水稻单产为500-600公斤,增产5-18%,且每亩节本30-50元;小龙虾单产为50-100公斤/亩,亩均综合效益提升258%。
池塘养殖主要有小龙虾单养、蟹虾混养等模式,通过实施池底开挖环沟、水草栽培与养护、饲料投喂、水质调控、疾病综合防治等关键技术,构建了池塘生态养殖模式。小龙虾单养每亩可产小龙虾150-300公斤,每亩效益在3000元左右;蟹虾混养每亩可增加小龙虾产量40-60公斤,新增纯收入800-1000元。另外,近年来,池塘菜-虾综合种养、莲藕或茭白种植池塘套养小龙虾等新模式也不断发展。
随着小龙虾养殖集约化水平和放养密度的提高,养殖病害风险呈上升趋势。生产上造成较大危害的主要是白斑综合征病毒病。我国已对白斑综合征病毒病进行了系统的研究与综合防控试验,建立了小龙虾白斑综合征病毒的快速巢式PCR检测技术,示范推广了综合防控技术措施,发病率降低了40%。
据研究,养殖环境恶化引起的生理胁迫,苗种起捕、分拣、装运造成的机械性损伤以及小龙虾长时间离水引发的应激反应,是放养后出现爆发性病害的主要原因。
产学研联合攻关,小龙虾加工及其副产品综合开发技术逐步成熟,在去除土腥味、延长保质期、增加肉糜制品强度、提高产品卫生质量、优化加工工艺等方面取得大批技术成果,开发了虾仁、虾尾、原味整虾、调味龙虾等小龙虾系列产品。
湖北、江苏、湖南等地相关企业在小龙虾甲壳素及其衍生物提炼技术方面取得了新进展,形成了产业化生产,产品远销日本、美国,取得了较好经济效益。加工技术突破带动小龙虾加工产业由粗放型向精深加工型方向升级。
八、产业问题
小龙虾种业体系建设滞后于养殖发展需求,苗种繁殖主要依靠养殖者自繁自育,苗种质量不稳定,捕捞、运输、放养后的成活率较低等问题突出,病害时常发生,影响了产品品质和养殖效益的提高。与种业建设相关的种质资源调查、良种培育以及规模化苗种生产技术的研发有待增强。小龙虾种质资源保护、良种选育和苗种生产等种业基础设施建设还有待进一步加强。
养殖技术性能的稳定性和养殖模式效益水平地区间差别较大。各类养殖模式的相关技术参数需要进一步量化,养殖生产的标准化水平有待提高。相关配套饲料亟待研发,精细化、可控化的健康养殖管理有待进一步加强,与标准化、规模化、生态化养殖生产相匹配的工程建设标准和技术规范制定急需加快。
小龙虾养殖病害近年呈上升趋势,病害种类增多,发病范围扩大,发病率提高,特别是小龙虾白斑综合征病毒病,给养殖户带来了较大损失,相关疫病预警预报、快速检测、病害防治等疫病防控体系建设有待进一步加强。渔用药物使用不规范引发的质量安全风险及小龙虾携带致病菌引发的负面新闻报道,对产业发展的影响应引起主管部门高度关注。
小龙虾加工业和流通业转型升级要求十分迫切。标准、保质、方便适合家庭消费的小龙虾加工产品开发有待进一步加快。小龙虾加工资源综合利用率低,精深加工处于起步阶段,产品附加值并未完全得到开发。另外,运输过程小龙虾死亡率高,口感下降,相关冷链物流系统建设有待进一步加快。
各地小龙虾产品、餐饮、节庆等品牌众多,但多数市场影响力有限,品牌开发力度有待进一步加强。小龙虾产业一二三产融合水平还不高,养殖、加工、物流、营销等一体化的产业发展机制构建、技术支撑和产业服务体系建设有待进一步加快。小龙虾生产发展无序、市场拓展速度减缓、效益下滑风险加大等问题逐步显现,相关发展规划、指导意见、技术标准亟待制定。
九、形势展望
小龙虾产业效益好、产业链长、带动力强,能够为地方培育新的经济增长点和消费热点,并能有效促进农业增效、农民增收和产业扶贫,符合渔业发展“提质增效、减量增收、绿色发展、富裕渔民”目标要求,2016年中央1号文件、《全国农业可持续发展规划(2015-2030年)》和《农业部关于加快推进渔业转方式调结构的指导意见》均明确支持稻渔综合种养发展。农业部韩长赋部长充分肯定以“稻虾共作”为代表的稻渔综合种养发展模式。湖北、江苏、江西、安徽等主产省的省、地市主要领导多次调研小龙虾产业并部署支持政策,为“十三五”期间小龙虾产业发展创造了更为良好的政策环境。
各地在小龙虾苗种繁育、健康养殖、食品加工、甲壳素提取、疫病防控等方面取得了一定的科研成果,形成了稻虾共作、虾蟹混养等先进技术模式,生产实践能力和技术水平居于世界同行业前列。相关企业、合作社、家庭农场等新型经营主体发展较快,形成了较为完整的产业链条,具备了较高生产水平和经营能力。多个地区在打造小龙虾主导产业方面取得了成功经验。这些条件均为今后小龙虾产业持续健康发展打下了坚实的产业基础。
从供给端看,我国适宜稻虾综合种养的低湖田、冷浸田和冬闲田目前尚有多半未开发利用。在水产养殖转方式调结构的背景下,湖汊养殖有望进一步发展,部分养殖池塘也有望调整为小龙虾养殖,产业有进一步发展空间。
从需求端看,我国小龙虾国内市场需求仍有一定缺口,国际市场也有旺盛的需求。小龙虾精深加工产品甲壳素及其衍生物在食品、化工、医药、农业、环保等领域具有重要的应用价值,经济开发价值有望超过千亿元。
今后一段时间,培育新的经济增长点和消费热点,发展旅游经济仍是地方政府主要考虑问题出发点。以小龙虾为主题的餐饮节庆、休闲垂钓、旅游观光、电子商务等产业融合发展前景十分广阔。
十、发展建议
加强健康养殖标准化操作规程制定,示范推广和应用“稻虾共作”等生态养殖模式,合理推广虾蟹混养、温棚养虾等技术,稳步扩大小龙虾生产规模。积极推广安全高效人工配合饲料,提高抗病能力和个体规格。加强质量安全监管,严禁使用农药、化肥以及禁用药品。加强疫病监测和防控,完善疫病应急方案,加快病害防治科技研发和技术推广。支持创办合作社、家庭农场等新型经营主体,加强规范管理,切实为农民提供产前、产中、产后全方位服务。
构建以企业为主体的商业化育种体系,支持企业引进人才、先进技术、仪器设备,联合科研院校培育具有自主知识产权的优良品种,加快提升良种自主研发和供给能力。加强良种推广应用,积极采取良种补贴、协议回收等方式,构建育种龙头企业与专业合作组织、养殖大户、农民长期的契约合作关系和利益共享机制,不断提高良种覆盖率。推广稻田生态自然繁育模式,加快规模化繁育示范基地建设。开展遗传育种和良种选育,作好人工繁育、工厂化育苗等方向性技术储备。加强种质资源保护。
发展标准、保质、便于食用的小龙虾加工业。加快发展精深加工,加大加工副产物综合利用,不断向医药、化工、环保等领域拓展。指导企业推行HACCP等国际食品质量管理体系认证,支持龙头企业发展环境友好型加工,积极采用清洁能源进行生产,严格实施生产废水达标排放。提升出口产品质量安全水平。
加快池边塘头市场和产地批发市场建设,实现产地和销地市场有效对接。加强冷链物流建设,依托国内大型物流集团构建全程冷链配送体系。积极做好品牌打造、展会推介、产销对接、信息服务与贸易壁垒应对工作,引导企业开拓国内国际两个市场。大力发展电子商务,引导企业开展各种形式的网络营销促销。支持各类经营主体在全国开设专卖店、电商配送点和餐饮连锁店。
整合资源,做大做强小龙虾节等特色推介活动,打造文化品牌和成体系的区域公用品牌、企业品牌和产品品牌。积极联合旅游、商务部门,加强项目规划和招商引资,建设一批集旅游、休闲、餐饮、文化功能于一体的度假村和风景区。引导有条件的经营主体开展小龙虾繁育、养殖、加工现场体验,拓展观光经济。支持有基础、有条件的地区打造商贸推介、文化展示、品牌宣传于一体的小龙虾主题商业区。
用信息化手段改造小龙虾产业体系、生产体系、经营体系和管理体系,推动小龙虾产业链全面转型升级。健全小龙虾产业化服务体系,创新服务机制,积极构建“政、产、研、推、用”五位一体的产业服务网络。加快科技研发和技术推广体系建设,建立成果研发转化、技术推广服务、疫病防治诊断于一体的科技服务机制。进一步加强市场价格、行业动态等市场服务,支持企业开展电子商务销售,提高小龙虾产业适应市场、拓展市场的能力。(完)
《2017中国小龙虾产业发展报告》编写组成员
组长:肖放
副组长:刘忠松、郭云峰
编写人员(按姓氏笔划排序):于航盛、马达文、王莎、王祖峰、尹恒、邓凯龙、刘忠松、刘景景、朱泽闻、汤亚斌、孙慧武、杜豫民、李苗、肖放、邱亢铖、张远华、张堂林、胡火根、郭云峰、唐建清、盖建军、蒋军
主要执笔人:郭云峰、朱泽闻、马达文、唐建清
-END-
本文转载自IPO案例库
来源:农业部渔业渔政管理局、全国水产技术推广总站
如有侵权请联系删除


