NEWS
摘要
针对传统旋转测量方式在燃烧室出口温度场测试中存在位移机构复杂、试验周期长、成本高等问题,提出一种基于主导特征的测点布局与温度场重构方法。该方法利用“多波数近似”模型,通过离散探针数据重构燃烧室出口截面温度场,并评估温度不均匀度。基于全环形燃烧室典型工况试验验证表明:仅需10个周向测点即可实现温度场有效重构,能准确捕捉周向热斑分布;巡航工况下径向温度重构偏差不超过2.5%,最大推力工况下不超过5.0%。
关键词:燃烧室;出口温度分布系数;出口径向温度不均匀系数;多波数近似;航空发动机
引言
航空发动机燃烧室按结构可分为单管型、环管型和环型三种。其中,环型燃烧室因结构紧凑、容积利用率高,广泛应用于现代航空发动机及燃气轮机。然而,低排放机型为满足分级燃烧需求,仍多采用管型设计。
燃烧室出口温度分布是影响涡轮寿命的关键参数。由于燃油喷嘴离散布置与掺混气流作用,出口温度场呈现显著三维非均匀特性。当前主流测温技术包括燃气分析法、热电偶、CARS法和光纤测温。其中,燃气分析法精度较高且操作便捷,是现阶段较优选择;热电偶虽受环境影响较大,但使用灵活,仍是不可或缺的手段;CARS技术适用于燃烧过程研究,但对操作要求高、误差较大;光纤测温具备高温测量优势,但抗干扰能力弱。
为精确评估温度不均匀性,常规试验采用旋转耙式扫场测量,周向间隔通常为1.5°~2.5°,导致试验系统复杂、耗时长、成本高。为此,本文提出基于主导特征识别的测点优化与温度场重构方法,旨在以少量测点实现高精度温度场还原。
燃烧室出口截面典型温度分布
燃烧室出口温度场的不均匀性主要由两方面因素决定:
- 径向不均匀性:主要受冷却气流与主流掺混影响;
- 周向不均匀性:主要由燃料喷嘴流量周向分布决定。
该不均匀性直接影响下游涡轮性能与寿命,是评价燃烧室设计水平的重要指标。
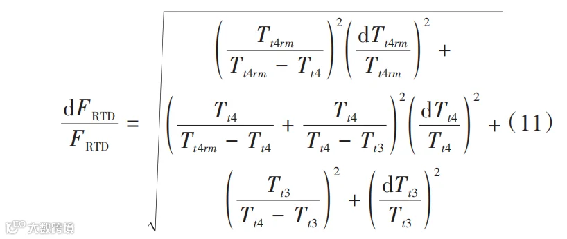
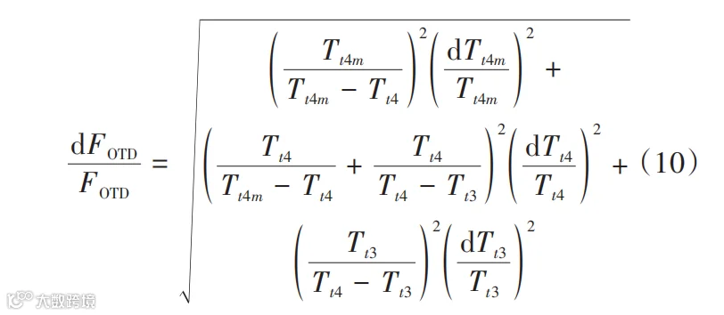
常用温度分布因子(TDF)量化不均匀程度,主要包括:
- 径向温度分布因子(RTDF,FRTD):反映径向平均温度场差异;
- 整体温度分布因子(OTDF,FOTD):表征最高温区与平均温度的偏离程度。
式中:T₃为燃烧室进口平均温度,T₄为出口平均温度,下标max表示最高温度。
图1 典型军用航空发动机最大推力工况下全环形燃烧室出口温度分布
图2 航空发动机典型燃烧室出口径向温度分布
基于多波数近似的流场重构方法
2.1 多波数近似方法
理论上,半径为R、周期为2π的稳态流场可由无限波数组合描述。考虑到燃烧室出口热斑主要由喷嘴数量决定,其温度场可用少数主导波数(N个)近似表达:
其中A为设计矩阵(m×(2N+1)维),F为包含2N+1个未知系数的向量,x为测量数据向量。数学表达如下:
求解该方程需至少2N+1个周向测点。实际应用中,为提升重构置信度并应对测量不确定性,建议测点数不少于2N+2,形成超定系统。本文采用最小二乘法求解,在Matlab®中可通过命令F=A\x实现。
2.2 条件数
重构精度受设计矩阵A的条件数k影响,其定义为:
条件数越大,重构误差放大风险越高。本文采用二范数计算,公式为:
其中A⁺为A的Moore-Penrose伪逆。条件数由测点位置θ与目标波数Wn共同决定,是优化测点布局的核心指标。本文利用Python的scikit-opt遗传算法进行优化,设定种群规模200、迭代次数200,可在数秒内完成求解。
2.3 重构流场置信度评估
采用皮尔逊相关系数r评估重构质量:
式中x(θ)为实测信号,xfit(θ)为重构信号。r值越接近1,说明重构结果越可靠。该方法已在压气机总压场重构中得到验证。
试验验证
3.1 验证对象
试验对象为某型发动机全环形直流燃烧室,几何构型如图3所示。燃烧室周向布置12个头部,出口高度约57mm。
图3 全环形直流燃烧室几何构型
旋流器采用三级轴向结构(内级、中级、外级),中心设值班离心喷嘴,主燃级采用环缝预膜式空气雾化喷嘴。火焰筒采用双排漏斗形掺混孔设计,入口带翻边结构,以增强掺混射流穿透能力。
图4 3级轴向旋流器
图5 双排掺混孔设计
3.2 试验方案
依据《航空燃气涡轮发动机燃烧室性能试验方法》(HB 7458-2012),开展巡航与最大推力两种典型工况试验。
试验系统包括进气路、试验段、排气路、燃油/滑油/供水系统及测量系统。试验段结构如图6所示,含进气蜗壳、测量段、燃烧室段、排气测量段等。
图6 试验段结构
测量参数包括:
- 进口空气流量;
- 进口总温Tt3、总压Pt3、静压P3;
- 主/副油路燃油流量与压力;
- 出口总温Tt4、总压Pt4、静压P4;
- 点火信号与氮气压力。
表1 试验工况典型参数
FRTD与FOTD按式(1)(2)计算,不确定度采用合成标准法评估:
表2 巡航工况下测试数据及其不确定度
表3 最大推力工况下测试数据及其不确定度
3.3 燃烧室出口总温场实测数据及测点布局
出口温度场通过旋转耙式探针测量,每耙7个径向测点,均布B型热电偶。在巡航与最大推力工况下,耙子以2.5°间隔周向旋转扫描,共获取1015个测点数据。测点布局及实测温度分布如图7所示。
图7 燃烧室出口温度测点布局及各工况下实测的温度分布
3.4 燃烧室出口总温场重构与温度因子评估
基于喷嘴数目,采用粒子群优化算法(PSO)进行测点布局优化。该算法具有参数少、收敛快、适合复杂组合优化的特点。每个粒子代表一种测点布置方案,通过迭代更新速度与位置,寻找最优解。
优化目标为最小化观测矩阵条件数,确保反演稳定性、降低噪声敏感性。约束条件包括最小测点间距与周期对称性,避免信息冗余。
优化结果显示,在10个周向测点条件下,存在多组最优布局方案。本文选取表4第一组进行重构分析。
表4 最佳周向测点方案(全周10测点)
巡航工况下重构温度场与实测场对比见图8。10个周向测点(黑方块)可较好捕捉“热斑”位置,但对非周期性特征捕捉能力有限。
图8 巡航工况下燃烧室出口温度场重构结果同实测结果对比
图9显示巡航工况下径向温度分布重构效果。在30%~90%燃烧室高度范围内,偏差小于1.0%;近内壁面区偏差约2.5%。
图9 巡航工况下燃烧室出口径向温度分布重构结果与实测值对比
最大推力工况下重构结果如图10所示,同样能有效识别热斑位置。值得注意的是,相同测点布局适用于不同工况,体现方法良好的泛化能力。
图10 最大推力下燃烧室出口温度场重构结果同实测结果对比
图11为最大推力工况下径向温度分布对比。主流区(30%~70%高度)偏差小于1.0%,近壁面区最大偏差约5.0%。
图11 最大推力工况下燃烧室出口径向温度分布重构结果同实测值对比
结论
- 粒子群优化算法可高效获得多组最优测点布局方案;
- 基于10个周向测点即可实现燃烧室出口温度场有效重构,能准确捕捉周向热斑分布;
- 巡航工况下,重构场主流区与近外壁面区温度偏差≤1.0%,近内壁面区≤2.5%;
- 最大推力工况下,主流区偏差≤1.0%,近壁面区偏差≤5.0%。
论文来源:航空发动机
作者:王利伟,张轲,郑培英,邬健,娄方远
单位:
1.中国人民解放军91404部队,河北秦皇岛 066001;
2.中国航发沈阳发动机研究所,沈阳 110015;
3.清华大学 航空发动机研究院,北京 100084;

