
日前,生态环境部印发《固定污染源废气非甲烷总烃连续监测系统技术要求及检测方法(HJ 1013-2018)》。
固定污染源废气非甲烷总烃连续监测系统技术要求及检测方法
Specifications and test procedures for nonmethane hydrocarbons continuous emission monitoring system in stationary sources
( HJ 1013-2018 2019-07-01实施)
为贯彻《中华人民共和国环境保护法》和《中华人民共和国大气污染防治法》,保护生态环境,保障人体健康,规范固定污染源废气非甲烷总烃连续监测系统的性能、质量,实施大气固定污染源排放污染物监测,制定本标准。本标准规定了固定污染源废气非甲烷总烃连续监测系统的主要技术要求、检测项目和检测方法。本标准的附录A、C为规范性附录,附录B为资料性附录。本标准为首次发布。
固定污染源废气非甲烷总烃连续监测系统技术要求及检测方法(HJ 1013-2018)

前言
为贯彻《中华人民共和国环境保护法》和《中华人民共和国大气污染防治法》,保护生态环境,保障人体健康,规范固定污染源废气非甲烷总烃连续监测系统的性能、质量,实施大气固定污染源排放污染物监测,制定本标准。
本标准规定了固定污染源废气非甲烷总烃连续监测系统的主要技术要求、检测项目和检测方法。
本标准的附录A、C为规范性附录,附录B为资料性附录。
本标准为首次发布。
本标准由生态环境部生态环境监测司、法规与标准司组织制订。
本标准起草单位:中国环境监测总站。
本标准生态环境部2018年12月29日批准。
本标准自2019年7月1日起实施。
本标准由生态环境部解释。
固定污染源废气非甲烷总烃连续监测系统技术要求及检测方法
1 适用范围
本标准规定了固定污染源废气中非甲烷总烃连续监测系统的组成结构、技术要求、性能指标和检测方法。
本标准适用于固定污染源废气中非甲烷总烃连续监测系统的设计、生产和检测。
2 规范性引用文件
本标准引用了下列文件或其中的条款。凡是不注日期的引用文件,其有效版本适用于本标准。
GB 3836.1 爆炸性环境第一部分:设备通用要求
GB/T 4208 外壳防护等级(IP 代码)
GB/T 16157 固定污染源排气中颗粒物测定与气态污染物采样方法
HJ 38 固定污染源废气总烃、甲烷和非甲烷总烃的测定气相色谱法
HJ 75 固定污染源烟气(SO2、NOx、颗粒物)排放连续监测技术规范
HJ 76 固定污染源烟气(SO2、NOx、颗粒物)排放连续监测系统技术要求及检测方法
3 术语和定义
下列术语和定义适用于本标准。
3.1非甲烷总烃nonmethane hydrocarbons(NMHC)
在HJ 38 标准规定的条件下,氢火焰离子化检测器上有响应的除甲烷外的其他气态有机
化合物的总和,除另有说明,结果以碳计。
3.2非甲烷总烃连续监测系统nonmethane hydrocarbons continuous emission monitoringsystem(NMHC-CEMS)
连续监测固定污染源废气中非甲烷总烃排放浓度和排放量所需的全部设备,简称NMHC-CEMS。
3.3分析周期analysis cycle time
系统连续运行时给出两组测量结果之间的时间间隔。
3.4响应因子response factor
本标准中,氢火焰离子化检测器测量其他气态有机化合物响应值相对于测量丙烷响应值的无量纲比值。
3.5转化效率conversion efficiency
使用催化氧化装置把除甲烷外的气态有机化合物氧化掉的效率。
4 系统的组成与结构
4.1 系统组成
固定污染源NMHC-CEMS 由非甲烷总烃监测单元、废气参数监测单元、数据采集与处理单元组成,见图1。系统测量废气中非甲烷总烃浓度、废气参数(温度、压力、流速或流量、湿度等),对于含氧量参与污染物折算浓度计算的要同时测量含氧量,同时计算废气中污染物排放速率和排放量,显示和打印各种参数、图表,并通过数据、图文等方式传输至管理部门。
4.2 系统结构
NMHC-CEMS 系统结构主要包括样品采集和传输装置、预处理设备、分析仪器、数据采集和传输设备以及其他辅助设备等。依据系统测量方式和原理的不同,系统可能由上述全部或部分结构组成。
4.2.1 样品采集和传输装置
样品采集和传输装置主要包括采样探头、样品传输管线、流量控制设备和采样泵等。一般采用抽取测量方式的系统均具备样品采集和传输装置。其具体技术要求见5.4.1。
4.2.2 预处理设备
预处理设备主要包括样品过滤设备等,其具体技术要求见5.4.2。
4.2.3 分析仪器
分析仪器用于对采集的污染源废气样品进行测量分析,其具体技术要求见5.4.3。
4.2.4 数据采集和传输设备
数据采集和传输设备用于采集、处理和存储监测数据,并能按中心计算机指令传输监测数据和设备工作状态信息,其具体技术要求见5.4.4。
4.2.5 辅助设备
采用抽取测量方式的系统,其辅助设备主要包括氢气源、尾气排放装置、反吹净化及其控制装置、零空气预处理装置等。其具体技术要求见5.4.5。

5 技术要求
5.1 外观要求
5.1.1 NMHC-CEMS 应具有产品铭牌,铭牌上应标有产品名称、型号、生产单位、出厂编号、制造日期、电源规格、主要参数量程等信息。
5.1.2 NMHC-CEMS 表面应完好无损,无明显缺陷,各零、部件连接可靠,各操作键、按钮使用灵活,定位准确。
5.1.3 NMHC-CEMS 主机面板显示清晰,涂色牢固,字符、标识易于识别,不应有影响读数的缺陷。
5.1.4 NMHC-CEMS 室外部件的外壳或外罩应至少达到GB/T 4208 中IP55 防护等级要求。
5.2 工作条件
NMHC-CEMS 在以下条件中应能正常工作:
a) 室内环境温度:(15~35)℃;室外环境温度:(-20~50)℃;
b) 相对湿度:≤85%;
c) 大气压:(80~106)kPa;
d) 供电电压:AC(220±22)V,(50±1)Hz。
注:特殊环境条件下,系统设备的配置应满足当地环境条件的使用要求。
5.3 安全要求
5.3.1 绝缘电阻
在环境温度为(15~35)℃,相对湿度≤85%条件下,系统电源端子对地或机壳的绝缘电阻不小于20 MΩ。
5.3.2 绝缘强度
在环境温度为(15~35)℃,相对湿度≤85%条件下,系统在1500 V(有效值)、50 Hz正弦波试验电压下持续1 min,不应出现击穿或飞弧现象。
5.3.3 系统应具有漏电保护装置,具备良好的接地措施,防止雷击等对系统造成损坏。
5.3.4 安装和使用者应建立起有效安全措施,防止易燃易爆、有毒有害气体泄漏,及防备其他安全风险,若设备安装环境有防爆要求,则必须按照GB 3836.1 中相关规定执行。
5.4 功能要求
5.4.1 样品采集和传输装置要求
5.4.1.1 样品采集和传输装置的材质应选用耐高温、防腐蚀、不吸附、不与待测污染物发生反应的材料,且不影响待测污染物的正常测量。
5.4.1.2 样品采集装置应具备加热、保温和反吹净化功能。其加热应均匀、稳定,加热温度应保证在120 ℃以上,或高于烟气温度20 ℃,取高者。加热温度值应能够在机柜或系统软件中显示查询。
5.4.1.3 样品采集装置应具备颗粒物过滤功能。其采样设备的前端或后端应具备便于更换或清洗的颗粒物过滤器,过滤器应至少能过滤5 μm 粒径以上的颗粒物。
5.4.1.4 样品传输管线应具备稳定、均匀加热和保温的功能,其加热温度应保证在120 ℃以上,或高于烟气温度20 ℃,取高者。加热温度值应能够在机柜或系统软件中显示查询。
5.4.1.5 样品传输管线内包覆的气体传输管应至少为两根,一根用于样品气体的采集传输,另一根用于标准气体的全程校准;系统样品采集和传输装置应具备完成系统全系统校准的功能要求。
5.4.1.6 采样泵应具备克服烟道负压的足够抽气能力,并且保障采样流量准确可靠、相对稳定。
5.4.2 预处理设备
5.4.2.1 预处理设备及其部件应方便清理和更换,材质应使用不吸附、不与待测污染物发生反应的材料。
5.4.2.2 为防止颗粒物污染分析仪,在气体样品进入分析仪之前可设置精细过滤器,精细过滤器应至少能过滤(0.5~2)μm 粒径的颗粒物。
5.4.3 分析仪器要求
5.4.3.1 采用气相色谱法的分析仪需具有色谱图文件自动记录、历史谱图查询等功能。
5.4.3.2 分析仪需具有实时或周期性的检测当前火焰状态的功能;一旦侦测到火焰熄灭,必须自动切断燃烧气源。
5.4.4 数据采集和传输设备要求
5.4.4.1 应显示和记录超出其零点以下和量程以上至少10%的数据值。当测量结果超过零点以下和量程以上10%时,数据记录存储其最小或最大值。
5.4.4.2 应具备显示、设置系统时间和时间标签功能,数据为设置时段的平均值。
5.4.4.3 能够显示实时数据,具备查询历史数据的功能,并能以报表或报告形式输出,相关日报表、月报表和年报表的格式要求参见附录A。
5.4.4.4 具备数字信号输出功能。
5.4.4.5 具有中文数据采集、记录、处理和控制软件。数据采集、记录、处理要求参见HJ 76中附录B。
5.4.4.6 系统断电后,能自动保存数据;恢复供电后系统可自动启动,恢复运行状态并正常开始工作。
5.4.5 辅助设备要求
5.4.5.1 氢气源连接管路应使用不锈钢材质,一旦检测到氢气有泄漏时,应自动切断气源。
5.4.5.2 氢气纯度至少达到99.99%,其他工作气源纯度应满足分析仪器使用要求。
5.4.5.3 系统尾气排放管路应规范敷设,不应随意放置。
5.4.5.4 系统尾气排放装置应能确保排放尾气中的水分不冷凝、累积甚至结冰,造成尾气排放管路堵塞和排气不畅,必要时应配套加热或伴热装置、气液分离装置等设施。
5.4.5.5 系统应根据现场实际需要配备定期自动反吹装置,用以定期对样品采集装置等其他测量部件进行反吹,避免出现由于颗粒物等累积造成的堵塞状况。
5.4.5.6 零空气预处理装置应具备除尘、除水、除油、除烃等功能,其发生的零气应符合7.1.2.2 的要求。
5.4.5.7 系统内部气体管路以及电路、数据传输线路等应规范敷设,同类管路应尽可能集中汇总设置;不同类型的管路或不同作用、方向的管路应采用明确标识加以区分;各种走线应安全合理,便于查找维护维修。
5.4.6 校准功能要求
5.4.6.1 系统应能用手动和/或自动方式进行校准。
5.4.6.2 采用抽取测量方式的系统,应具备固定的和便于操作的标准气体全系统校准功能。
6 性能指标
6.1 实验室检测
6.1.1 分析周期
系统分析周期:≤2 min。
6.1.2 仪器检出限
系统的检出限:≤0.8 mg/m3。
6.1.3 重复性
重复性(相对标准偏差):≤2%。
6.1.4 线性误差
线性误差:不超过±2%满量程。
6.1.5 24 h 漂移
24 h 零点漂移和量程漂移:不超过±3%满量程。
6.1.6 环境温度变化的影响
环境温度在(15~35)℃范围内变化,非甲烷总烃示值的变化:不超过±5%满量程。
6.1.7 进样流量变化的影响
进样流量变化±10%,非甲烷总烃示值的变化:不超过±2%满量程。
6.1.8 供电电压变化的影响
供电电压变化±10%,非甲烷总烃示值的变化:不超过±2%满量程。
6.1.9 氧气的影响
氧对零点和量程点测量的影响:不超过±2%满量程。
6.1.10 响应因子
系统测量非甲烷总烃时其他VOCs 组分相对丙烷的相对质量响应因子必须满足一定范围的要求,如表1 所示。
6.1.11 转化效率
使用催化氧化技术氧化除甲烷外的气态有机化合物的装置,其转化效率应不低于95%。
6.1.12 平行性
三台(套)系统测量同一标准样品示值的相对标准偏差不超过5%。
6.2 污染物排放现场检测
6.2.1 分析周期
系统分析周期:≤3 min。
6.2.2 24 h 漂移
24 h 零点漂移和量程漂移:不超过±3%满量程。
6.2.3 准确度
当参比方法测量非甲烷总烃浓度的平均值:
a) <50 mg/m3 时,NMHC-CEMS 与参比方法测量结果平均值绝对误差的绝对值:≤20mg/m3;
b) ≥50 mg/m3~<500 mg/m3 时,NMHC-CEMS 与参比方法测量结果的相对准确度:≤40%;
c) ≥500 mg/m3 时,NMHC-CEMS 与参比方法测量结果的相对准确度≤35%。
6.2.4 废气参数性能指标
废气参数(氧气、流速、烟温、湿度)的性能指标要求应符合HJ 76 相关要求。
7 检测方法
7.1 实验室检测要求和方法
7.1.1 一般要求
7.1.1.1 至少抽取3 套同型号系统在指定的实验室场地同时进行检测。
7.1.1.2 系统具备双量程或多量程时(非硬件调整),只针对仪器的最小量程进行技术指标检测。非甲烷总烃监测单元检测量程最大值为200 mg/m3。
7.1.1.3 检测期间除进行系统零点和量程校准外,不允许对系统进行计划外的维护、检修和调节。
7.1.1.4 如果因供电问题造成测试中断,在供电恢复正常后,继续进行检测,已经完成的测试指标和数据有效。
7.1.1.5 如果因系统故障造成测试中断,在系统恢复正常后,重新开始检测,已经完成的测试指标和数据作废;检测期间,每台(套)系统故障次数≤2 次。
7.1.1.6 具有自动校准功能的系统,可设定任一周期,系统进行自动校准;检测期间,自动校准周期应设置为≥24 h。
7.1.1.7 各技术指标检测数据均采用系统数据采集与处理单元存储记录的最终结果。
7.1.1.8 本标准中的污染物质量浓度均为标准状态下的以碳计的干质量浓度。
7.1.2 标准物质要求
7.1.2.1 标准气体:市售有证标准气体,不确定度≤2.0%。
7.1.2.2 零气(零点气体)可使用氮气或洁净空气,其中碳氢化合物不得高于0.3 mg/m3。
7.1.2.3 量程标准气体(量程标气)采用甲烷或丙烷标气,其浓度在(80%~100%)满量程范围内。较低浓度的标准气体可以使用高浓度的标准气体采用稀释的方法获得,稀释装置的精密度应在1.0%以内。
7.1.3 实验室检测方法
7.1.3.1 分析周期
分析周期指NMHC-CEMS 连续运行时给出两组测量结果之间的时间间隔,连续3 天共测量3 次,每日分析周期都应符合表3 的要求。
7.1.3.2 仪器检出限
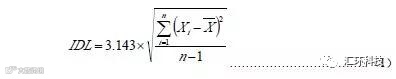
待测系统运行稳定后,通入接近检出限的零气或除烃空气加标样品,待示值稳定后连续测量7 次,记录每次测得浓度值,计算所取得数据的标准偏差,以3.143 倍标准偏差表示仪器检出限,按公式(1)计算,应符合表3 的要求:






7.2 现场检测要求和方法
7.2.1 一般要求
7.2.1.1 实验室检测指标全部通过后才允许进行污染源排放现场检测。
7.2.1.2 系统现场安装和调试技术要求应符合HJ 75 标准的相关内容。
7.2.1.3 系统现场参比方法采样位置、采样孔数量以及采样点设置等应符合GB/T 16157 标准的相关要求。
7.2.1.4 现场检测包括初检,90 天运行和复检。NMHC-CEMS 调试完成后正常运行168 h可进行初检;初检合格后,进入90 天现场运行期;90 天运行符合要求后,进行复检。
7.2.1.5 初检和复检期间除进行系统校准外,不允许对系统进行计划外的维护、检修和调节。
7.2.1.6 初检和复检期间如果因现场污染源排放故障或供电问题造成测试中断,在故障排除或供电恢复正常后,继续进行检测,已经完成的测试指标和数据有效。如果因系统故障造成测试中断,则检测结束。
7.2.1.7 具有自动校准功能的系统,可设定任一周期,系统进行自动校准;检测期间,自动校准周期应设置为≥24 h。
7.2.1.8 在90 天现场运行期间,应按照质量保证计划进行必要的校准、维护和检修,系统应按规定远程传输现场监测数据。90 天远程有效数据传输率达到90%以上则现场运行检测通过,否则延长运行期直到达到要求为止。如果因现场供电问题或系统故障造成系统数据缺失或传输中断,则该段时间内数据无效。
7.2.1.9 各技术指标检测数据均采用数据采集与处理单元存储记录的最终结果。
7.2.1.10 标准物质的要求与实验室检测要求一致,见7.1.2。
7.2.2 现场检测方法
7.2.2.1 分析周期
分析周期现场检测方法与实验室检测方法一致,见7.1.3.1,结果应符合表4 的要求。
7.2.2.2 24 h 漂移
现场24 h 零点漂移和量程漂移检测方法与实验室检测方法一致,见7.1.3.5,结果应符合表4 的要求。
7.2.2.3 准确度
a) 当分析周期、24 h 漂移检测通过后,可进行准确度检测。
b) 待测NMHC-CEMS 运行稳定后,分别进行零点和量程校准。
c) 待测NMHC-CEMS 与参比测试方法同步对现场排放非甲烷总烃进行测量,由数据采集器连续记录测量值至参比方法测试结束。
d) 取同一时间区间内(一般为2~3 倍分析周期)参比方法与NMHC-CEMS 测量结果平均值组成一个数据对,确保参比方法与NMHC-CEMS 测量数据在同一条件下(废气温度、压力、湿度等,一般取标态干基浓度)。
e) 每天获取至少9 组以上数据对,用于准确度计算。
f) 当参比方法测量非甲烷总烃浓度平均值< 50 mg/m3 时, 计算全部数据对NMHC-CEMS 与参比方法测量数据平均值的绝对误差的绝对值,应符合表4 的要求。
g) 当参比方法测量非甲烷总烃浓度平均值≥50 mg/m3 时,按公式(16)~(21)计算相对准确度,结果应符合表4 的要求。




8.2.3 参比测量方法应采用国家或行业发布的标准分析方法。
8.2.4 对于完全抽取式和稀释抽取式系统,当进行零点和量程校准时,原则上要求零气和标准气体与样品气体通过的路径(如:样品采集装置、传输管线、预处理等)相同。
8.3 日常运行质量保证
8.3.1 定期校准
a) 具有自动校准功能的NMHC-CEMS 每24 h 至少自动校准一次仪器零点和量程,同时测试并记录零点漂移和量程漂移;
b) 无自动校准功能的NMHC-CEMS 每7 d 至少校准一次仪器零点和量程,同时测试并记录零点漂移和量程漂移;
8.3.2 定期维护
a) 至少1 个月检查一次燃烧气连接管路的气密性;
b) 对于使用氢气发生器的,应按其说明书规定,定期检查氢气压力、氢气发生器电解液等,根据使用情况及时更换;
c) 氢气发生器每个月检查一次变色硅胶的变色 情况,超过2/3 变色更换变色硅胶;
d) 对于使用氢气钢瓶的,要每天巡检钢瓶气的压力并记录,有条件的应做到一用一备;
e) 至少每半年检查一次零气发生器中的活性炭和NO 氧化剂,根据使用情况进行更换;
f) 至少每1 个月检查一次NMHC-CEMS 的过滤器、采样管路的结灰,若发现数据异常应及时维护;
g) 使用催化氧化装置的NMHC-CEMS 每年用丙烷标气检验一次转化效率,保证丙烷转化效率在90%以上,否则需更换催化氧化装置。
8.3.3 定期校验
a) 至少3 个月做一次校验;校验用参比方法和NMHC-CEMS 同时段数据进行比对;
b) 当校验结果不符合6.2.3 中准确度指标要求时,则应扩展为评估NMHC-CEMS 的准确度校正,直至达到要求,所取样品数不少于9 对。
9 检测项目
固定污染源废气NMHC-CEMS 实验室检测项目见表3 和表4,废气参数现场检测项目见表5。相关记录表格见附录B。













转自生态环境部


