►领导者说:
我们的 "时间范围 "决定了我们的决定。我们的决定决定了我们的命运。
贝佐斯、马斯克、巴菲特……这些特别成功的人成功之处在哪里?专门研究学习学的Michael Simmons总结出了最重要的一点,在我们大部分人用一维的视角审视问题的时候,他们却是用四维的视角去审视的。其中被大家了解得最少的一个维度是:时间。这些人审视问题的时间范围都非常的广,从历史到未来跨越几百年。正是因为这种长线思维,让他们能够跳出急功近利的思维,专注于长期的成功。
作者 | 张三丰 编译 | 张三丰
分享 | 领导者管理笔记「ID:GoToLead 」

在过去的五年里,我花了很多时间研究那些白手起家的亿万富翁企业家,比如杰夫·贝索斯(Jeff Bezos)、比尔·盖茨(Bill Gates)、沃伦·巴菲特(Warren Buffett)、雷· 达利奥(Ray Dalio )以及埃隆· 马斯克(Elon Musk)。和历史上少数成功人士一样,他们也创造了历史。他们累计捐款数百亿美元,帮助创造了改变世界的产品。换句话说,如果没有他们,我们生活的地球将大不相同。
他们有一个共同点,就是看待事物的方式惊人的一致。他们基于四维视角看待世界,而我们大多数人则停留在一维视角上:

这些维度有以下不同:
一维视角:专注于某一领域(专业化)。
二维视角:跨学科学习,应用于特定领域(通才)。
三维视角:从技能到原则(思维模型)
四维视角:跨世纪(时间)从过去到未来的思考方式
查理·芒格强调基于思维模型的思考,也就是三维视角。在这里,作者提出了一个新的时间维度。很遗憾,我们大多数人连第一个维度都做不好。
01
长期主义的力量
几乎所有上市公司的CEO(更不用说普通人了)都会提前几天、几周甚至几个月做计划,相比之下,这些有远见的人则会考虑几十年甚至几百年的未来。他们不仅仅是计划:他们还践行他们所宣扬的东西。他们大胆下注,不在乎它不可能很快得到回报,失败的几率也很高。
事实上,我想说,这些长期主义者重新定义了什么叫目光长远。
当我第一次有这个惊人的发现时,我把它当作一个怪癖。但当我研究了越来越多的世界顶级企业家,尤其是仔细研究了贝佐斯之后,我的观点开始慢慢转变。
我开始思考,我们是否都应该在生活和商业中采用长期思考这一具有普遍威力的基础性策略。

例如,杰夫·贝佐斯在接受采访时谈到他的航空航天公司蓝色起源(Blue Origin)时,就这样想道:
我相信,在最长的时间范围内(其实我想的是几百年的时间范围),随着时间的流逝,我越来越相信太空公司Blue Origin是我所做的最重要的工作。
这句话在两个方面特别耐人寻味:
大多数人甚至从未听说过蓝色起源(Blue Origin)这个公司。
亚马逊(Amazon)是世界上最大的公司之一。
有什么是贝佐斯看到了而我们看不到的?
在解释为什么他的太空公司在未来会比亚马逊更重要时,他是这样说的:
我之所以做蓝色起源[Blue Origin],是因为如果我们不这样做,我们的文明最终会停滞不前,我觉得这非常令人沮丧,我不希望我的曾孙子的曾孙子生活在一个停滞不前的文明中

而贝佐斯这里所说的停滞,指的是即将到来的能源危机。这一点确实和马斯克非常相似,他创立特斯拉的目的是为了解决未来的能源危机,而不是为了制造电动汽车,在他的两个雄心勃勃的计划中描述得非常详细。而SpaceX的创立也是基于人类的未来而考虑。
如果把目前全球的能源使用量,以每年百分之几的速度复合,只需要几百年的时间,就必须用太阳能板覆盖整个地球表面,满足需求。这就是真正的能源危机。而且它很快就会发生, 当我说很快,我的意思是几百年。所以我们其实没有那么多时间。
让我惊讶的是“很快”这个词,贝佐斯很快的意思是说好几百年。而对于大多数人来说,很快可能意味着几天。在贝佐斯思考的时间尺度中,几百年只是宇宙中的一瞬间。最后,贝佐斯解释了他的太空公司 "蓝色起源 (Blue Origin)"将在解决方案中扮演的角色:
现在,让我们考虑另一种方式,走出地球,进入太阳系。太阳系可以轻松支持一万亿人。如果我们有一万亿人,我们就会有一千个爱因斯坦和一千个莫扎特。而且,无论想达到什么目的,太阳资源可以说是取之不尽,用之不竭。
读到这里,你会发现,贝佐斯的思维方式完全不同。而这些话看似只是表象,事实上,贝佐斯这些年一直在做这件事:
虽然亚马逊已经成立了近30年,但贝佐斯始终认为一切才刚刚开始。他将这种思维方式称为 "Day One哲学",并将其打造成亚马逊公司的文化。
贝佐斯愿意屡屡砸几十亿美元到往可能会失败的实验,这些实验可能会失败或需要7年以上的时间才能获得回报。
贝佐斯每天的关注点永远是三年后的事情。因此,他在当下所取得的成就,几乎都是他在三年前思考和决定的。大多数CEO的焦点都放在当救火队员,每个季度跟股东打交道,并努力实现季度收益上面。贝佐斯在接受《福布斯》采访时就他做事的截然不同给出了迷人的解释。“发布季报后朋友们向我表示祝贺,说‘干得好,很好的一个季度’。”我会说,‘谢谢你,但那是我三年前打下的基础。’现在我正在研究2021年的一个季度……我会研究未来2、3年的事情,我大部分的领导团队也都是这样计划的。”
贝索斯给一个万年钟投资了数千万美元。在描述自己的这笔慈善投资时,贝佐斯解释了为什么他认为给一个长期的时间范围建立一个符号很重要:“如果[人类]学会长期思考,我们就能实现原本无法实现的事情……人类的技术手段变得愈发的复杂,有可能会给人类本身造成巨大的威胁。在我看来,作为一个物种,我们必须开始去思考更长远的事情。”

贝索斯站在第一口万年钟前面
贝佐斯为什么要做这些看似奇怪的事情。
对一个已经26岁的公司说永远是它的第一天。
有目的地亏损10年,以便进行长期投资。
几乎把所有的时间都花在了多年都不会有回报的活动上。
思考200年后能够未来使用的能源。
在一个钟上砸下数千万美元。
其实,正是这种长期主义的思维方式,让亚马逊多年来的战略与众不同。如果没有这种长远的思维,亚马逊绝不会:
从世界上最大的书店成长为世界上最大的电子商务平台。
在前20年的大部分时间里,故意拖延利润实现的时间。
专注于在短期内会造成重大损失的客户体验上进行大胆的赌注(比方说两天免费送货)。
在前两次实验(拍卖和Zshops)失败后,继续第三方卖家试点计划。
构建员工结构化薪酬计划,注重长期激励。
贝佐斯并不是唯一一个走在这条路上的人。
Sam Altman
全球最大的创业加速器Y Combinator 的前总裁山姆·阿尔特曼(Sam Altman)将长期思维定义为 "市场上为数不多的套利机会之一",并补充道:
当你准备创业时,考虑一些你愿意做出长期承诺的事情是非常值得的,因为这正是当前市场的缺口所在。(注:即大部分人都目光短浅)
白手起家的亿万富翁雷·达利欧(Ray Dalio)通常会去研究数百年前的经济周期,并因此而闻名。

达利欧以史为鉴寻找模式
巴菲特以只投资于他认为可以投资几十年的公司和个人而闻名。他的整个职业生涯都是建立在复利和复合学习的力量上。他把自己的生活费压得很低,这样他就可以用自己的钱赚更多的钱。此外,他在整个职业生涯中,80%的时间都在阅读和思考。
在TED采访中,马斯克说,他对时间的看法和几乎所有人都不同。
我是从概率的角度去看待未来的。未来就像是概率的分汊河流。有些行动可以令那些概率生效,或者导致一件事的加速或放缓,或者为这条概率河流引入新的事物。
让我们分析一下他在说什么::
未来有无限的可能性(个人和人类的)。
这些未来各有不同的发生概率。
可以通过改变概率的流动来塑造未来。
这很有趣。对吧?
这是马斯克、巴菲特、达利欧和贝佐斯等人看到的,而几乎所有人都没有看到......。
02
长期主义是撬动成功与影响力的阿基米德杠杆
我相信,拥有长远的眼光比任何其他因素都更容易成为那颗“魔术子弹”。
在过去的几年里,我读了很多学术研究和书籍,关于如何获得更大的成功和变得更有影响力的方法,通过科学验证的方法,我发现很多因素与成功有关:
延迟满足
极大的热情和好奇心
刻意练习
韧性
高效的工作
丰富的人脉关系
虽然这些习惯都有助于提高一个人的影响力,但长期主义的思维方式是一切的基础。

如果你放眼长远,则:
延迟满足的好处就变得显而易见。你不是在为一个不确定的未来而牺牲短期,而是为了一个好得多的未来去牺牲一笔差得多的投资。以一天为单位,腾出一点“暂停”时间去反思、锻炼、学习、休息、建立关系,以及做做试验,这些属于分心之事。但如果用一生为周期进行衡量的话,那些是我们可以进行的最好投资。
做对你来说极其有意义的事情绝对是至关重要。无聊或者不能激励你的工作、婚姻、项目或公司短时间内你可以维持一阵子,但没法长期坚持。长期目标跟激情是紧密相连的。这个目标可以帮助你更加努力地工作,去学习更多(刻意练习),创造更多(高效产出),精神更加丰富,并乐于克服挑战(韧性)。
不仅你自己和你的业务会受到影响,你的人际关系也会受到影响。想想看你最“成功”的关系是什么样的。这样的关系很有可能是经过了很长一段时间的发展,而且是不断地给予而没有期望得到任何回报的那种。放眼长远几乎是在任何领域定义一个健康的、有用的关系的先决条件。
03
长期主义创造奇迹的三大原因

第一:长期主义思维让你有 "套利 "优势,因为大多数人鼠目寸光
如果你做的是3年就能完成的事情,那么你就在和很多人竞争。但如果你愿意考虑7年的投资,那么你只和一小部分竞争对手竞争,因为愿意这么做的公司很少。通过拉长时间跨度,你可以去追求一些看起来不可能做到的事情。
----Jeff Bezos
最大的创新机会一般需要很多年的时间才能得到回报,而且成功的机会非常低。传统的CEO们不会追求这些目标。这意味着贝佐斯、马斯克等人遇到的超高质量投资竞争较少。这种做法让亚马逊、特斯拉和SpaceX在多年内大幅领先于其他公司。
这里有几个原因:
在商业市场上,有短期玩家,也有长期玩家。
短期行为者只寻求在短期内得到回报的机会。长期行为者寻求短期和长期的最佳机会
因此,长期参与者有更多的选择机会。
长期的机会几乎都是最大的机会
在长期机会方面几乎没有竞争。

第二条:拥有长远的时间视野有助于你做出更好的决策。
长期的思考让你在创新过程中能够忍受失败,经历迭代,而这是发明需要的,这还解放了我们,让我们成为未开发领域的开拓先驱。。如果你追求的是即时的满足感,你会发现你前面已经有一堆人。
----Jeff Bezos
有史以来最受认可的心理学家之一,斯坦福大学教授菲利普· 津巴多(Philip Zimbardo)在他的《时间悖论》一书中有一个结论,他说:
我们对时间的态度对我们的生活有着深远的影响,但我们很少意识到这一点。时间对我们来说就像水对鱼一样,如此重要却又看不见,但是时间跟我们如何做出决定,以及我们如何取得成功却有着千丝万缕的联系。
津巴多用 "津巴多时间观清单 "((Zimbardo Time Perspective Inventory))调查了一万多人后,发现人们对时间的态度可以分为五类。教授通过研究发现,人们对时间的态度可以分为五类:
对过去持积极态度的人总是关注 "过去的美好时光"
对过去持消极态度的人,总是把注意力放在过去出错的事情上。
对当下的享乐主义者,活在当下,追求快乐同时避免痛苦。
对当下持有宿命论的人认为,所有的决定都是没有意义的,因为 "未来会发生的事情总会发生"。
展望未来的人总是在为未来做准备,并相信自己的决策会成功。
不同的态度自然生活在不同的世界里,应该很容易猜到哪种心态会产生最好的结果:
面向未来的人往往在职业和学业上更成功,他们确保自己吃得好,定期锻炼,并安排预防性体检。未来时间思维者的口头禅是:"为了满足明天的最后期限,你必须在今晚开始玩之前,把所有必要的工作都做完。" 未来时间者认为工作是一种特殊的乐趣。对明天损益的预期推动着今天的决策和行动。
当面对尽快解决迷宫难题的挑战时,面向现在的人与面向未来的人的反应截然不同。
面向现在的人会立即开始拿起铅笔,在迷宫中游走。面向未来的人一开始根本一点动静都没有,他们会寻找目标,然后回到起点,沿途检查死角。胜利者永远是未来的领导者。
最后,总结一下。我们的 "时间范围 "决定了我们的决定。我们的决定决定了我们的命运。
第三条:长期主义可以利用复利的力量
爱因斯坦有句名言:复利是世界第八大奇迹。巴菲特也曾说过,复利是他成功的三大因素之一。

如果我们长期以来始终如一在做正确的事情,那么我们想要的未来就会愈发变成必然,因为我们的行动会随着时间的推移产生复合影响。
就像滚雪球一样,一个小雪球从山上滚下来,每次旋转都会慢慢积雪,变成一个巨大的雪球。

同样,如果你给动量时间让它不断自我复合的话,小小的一块多米诺骨牌最终也能击倒一块巨大的多米诺骨牌。

有史以来最大规模多米诺骨牌倒塌世界纪录,2009年。
不管是滚雪球还是多米诺骨牌,结局都是不可避免的。
当你刚开始计算复利的时候,你并没有看到它的好处。一开始,你的成果与你的努力密切相关,但最后,复利效应产生的利息为你做了所有的工作。

复利的力量需要时间展现
我们大多数人在金融领域学习复利时,都了解到复利的神奇力量,但它适用于任何长期发生正反馈循环的领域,例如。
学习
人际关系
商业战略
健康方面
复利效应最好的例子之一就是这张图,它显示了亚马逊自1997年上市以来的市值走势。

Amazon的市值变化
在过去的几年里,亚马逊的市值增长了一倍多。换句话说,在过去的几年里,亚马逊的市值增长超过了过去20年的总和。
综上所述,长期主义策略能给你带来三个核心好处:
给你带来 "套利 "优势
帮助您做出更好的决策
可以利用复利的力量
综上所述,这三个好处表明,长期主义思维可能是创造成功、健康、实现自我抱负和影响人生的重要阿基米德杠杆。没有它,你想要得到其中任何一项的可能性就会降低。
但要想充分理解长期思维的力量,了解短期思维的危险性至关重要。
04
短期思维的危害
我们人类有一种天然的短期思维倾向。这可以在短期内帮助我们,但从长远来看,它可能会摧毁我们。
已故的哈佛大学著名教授克莱顿·克里斯滕森(Clayton Christensen)在TED演讲中,与观众分享了一个故事,完美地捕捉到了这种情况。

当他从哈佛商学院毕业的时候,所有的同学都有雄心勃勃的计划,希望能够有所作为,取得成功。在他们早期的同学聚会上,一切似乎都如大家所愿。每个人都分享了他们所取得的成功。
然而,随着时间的推移,他发现了一些令人惊讶的事情,几乎每个人的生活在许多方面都变得更糟:
他们离婚了
他们与孩子们疏远了
有的甚至因为欺诈而惹上麻烦
他们的健康状况很差
克里斯滕森解释了原因:
在座的每个同学都渴望获得成就。当你有多余的精力或时间时,你会本能地、不自觉地把它分配给生活中能给你带来最直接满足感的活动。
换句话说,他的同学们陷入了短期思维。
克里斯滕森的第二句话让他名扬天下,他解释了那些银行里有巨额资金、雇佣了世界上最聪明的大脑的最成功的公司是如何经常被初创公司颠覆的--因为从理论上讲,这种事情是永远都不会发生的:
成功的企业之所以失败,是因为他们投资到为成就提供最直接、最切实的证据的事物上。他们之所以会犯这种短期思维,是因为他们是由你我这样的人(专注于成就上面的人)管理的。
我曾经《有雄心的人对工作生活平衡无比坦诚》这本书中分享过自己因为短期思维而跌入谷底的经历。
在某一个年龄段,我把所有的精力都集中在取得成功上。结果,我牺牲了自己的健康,牺牲了自己的活力,甚至连婚姻都差点失去。在经历了这些苦难之后,我接受了一种新的人生哲学,它更注重那些可以长期累积的小收获,而不是频繁的冲刺和精力消耗。
当我们以短期的方式思考时间维度时,我们所做的活动会得到如下的回报:

乍一看,取舍很明显
比方说,饮食上的短视可能发生在以下情况:

一时的甜头会后悔终身
而当我们从长期思考的维度去思考时,它是这样的。
足够放眼长远,回报将远远超越成本
一开始会有一点痛苦,但后来因为复利效应,回报会增加很多。
短线思维的影响可以通过数学中的 "贪婪算法 "直观地体现出来,它通过利用眼前的最佳短线机会进行优化,它擅长实现所谓的 "局部最大值",但不擅长 算法擅长实现所谓的 "局部最大值",但不擅长实现全局最大值。它能帮你实现小赢,但不能帮你实现大胜。

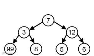
下面这个动画来自Brilliant,图中可见贪婪算法试图找到总和最大的路径。思路是每一步都选择最大的可用号码。所以,一开始当3和12摆在它面前时,它选择了12。毕竟,12 是3的4倍。
但是,贪婪算法没法找到最大的和,因为它每走一步都是基于手上的信息而没有考虑整体情况来做出决定的。在这种情况下,最优方法是先走到3,因为下一步就能得到99。而选择12会导致下一步只能选择5或6。

贪婪算法无法实现全局最优
这对生活又有什么影响呢?
为了在长期的未来获得最大的影响,我们必须在短期内放慢脚步。与直觉相反,很多时候,退一步往往就会海阔天空,比如:
避免争论比对抗更好。
直接投身于一项技能,感觉比集中精力打好基础,通过刻意练习慢慢进步更好。
把注意力集中在最后期限上比放慢脚步,充分学习的感觉更好。
在没有体会到真正的后果之前,没有必要把问题消灭在萌芽状态。
增加咖啡的摄入量,短期内少睡一会,会感觉更有效率。
在这些情况下,如果你跟着感觉走,最终都会陷入困境。我们必须找到一种总是反直觉的方法。
05
用5小时法则打长线游戏
意识到长期主义思维的力量是成功的一半,另一半是把它变成一种习惯。
在这方面,我建议遵循著名的5小时法则(每周至少学习5小时)。工作日的时候每天至少花一个小时用来学习,不能有例外。有一条“不找借口”原则至关重要,因为你总可以遇到令人信服的理由说自己太忙了无法继续。不要听他们的话。
把时间投入到学习活动中,比如:
阅读高质量的书籍和学习心理模型
反思自己的经验教训
尝试新公司、新习惯、新想法
随着时间的推移,这个习惯的价值将成倍增加,并改变你的生活。

像沃伦·巴菲特、杰夫·贝索斯、埃隆· 马斯克还有比尔·盖茨这样的人之所以与众不同,并不是因为他们在成功后才开始学习。而是他们在成名之前很多年就开始不带功利之心去学习。
归根结底,"要想一夜成名,需要十年之功 "这句话是真的。我们现在要愿意在黑暗中摸索,这样才能在以后的日子里在光明下闪耀。
《领导者管理笔记》读者群开放,如你致力于提升领导力
请加(微信:Tapmadou)进群
@THE END

文章来源 :Medium,原标题:Bezos, Musk, & Buffett See The World Differently, Because They See Time Differently。转载请公众号回复“转载”
版权说明 :编译:张三丰(MBA,15年中高层管理经验,人性化管理实战与理论结合第一人,“人人都是领导者“理念推动者,500强跨国公司经验使得他在管理实践方面兼顾西方管理与中国人文,目前为多家公司管理咨询顾问。)

点击下方“在看”
你也越好看!
☟☟☟

